所屬科目:交通工程
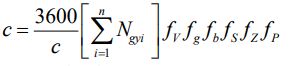
一、號誌化路口車道容量受許多因素影響,根據「2022年臺灣公路容量手冊」, 一般號誌化路口車道之容量可以用下式估計: 上式中 C 為號誌週期長度(秒),Ngyi 為特定狀況下,在第 i 個可用時相 之綠燈時段及燈號轉換時段中能疏解之平均停等車輛數(輛),i 為可時相之代號,而 n 為可用之時相數。請分別說明等調整因素代表之意義,並請說明這些調整因素對號誌化路口車道容量之影響及推估相關考量。(25 分)