所屬科目:技檢◆通信技術(電信線路)-甲級
1. 某一交換局現有引進電纜 5 條,預估 5 年內擴充 11 條電纜,則該交換局充氣機容量為 (A)960 (B)720 (C)1920 (D)640 SCFD。
2. 用電設備的線路保護用電力熔絲(保險絲)經常燒斷,造成停電的不便,下列「不正確」的作法是? (A)重新設計線路,改較粗的導線或用兩迴路並聯 (B)換大一級或大兩級規格的保險絲或斷路 器就不會燒斷了 (C)提高用電設備的功率因數 (D)減少線路連接的電氣設備,降低用電量。
3. 2400 對 FS-STP 市內電纜其心線第一層的簇數為 (A)8 (B)6 (C)10 (D)12。
4. 依 CLE-EL-3600-9 規範,以下圖例標示是表示
(A)電信切換開關 (B)資訊網路插座 (C)網路訊號顯 示開關 (D)電話資訊雙插座。
5. 下列何種設備標準不具備 Bonding 功能?(以多對銅線或多個通道提升接取頻寬) (A)DSL ITU-T G.998.3 (B)DSL ITU-T G.998.2 (C)DOCSIS 2.0 (D)DOCSIS 3.0。
6. 為防止勞工感電,下列何者為非? (A)電線架高或加以防護 (B)避免不當延長接線 (C)使用防水插 頭 (D)設備有金屬外殼保護即可免裝漏電斷路器。
7. 以下何者是消除職業病發生率之源頭管理對策? (A)健康檢查 (B)多運動 (C)使用個人防護具 (D)改 善作業環境。
8. 都市中常產生的「熱島效應」會造成何種影響? (A)增加降雨 (B)空氣污染物不易擴散 (C)溫度降 低 (D)空氣污染物易擴散。
9. 職場內部常見之身體或精神不法侵害不包含下列何者? (A)過度介入勞工私人事宜 (B)強求勞工執 行業務上明顯不必要或不可能之工作 (C)使勞工執行與能力、經驗相符的工作 (D)脅迫、名譽損 毀、侮辱、嚴重辱罵勞工。
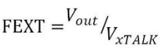
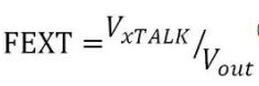
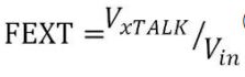
10. 下列算式,何者為遠端串音(Far End Crosstalk,FEXT)? 係指竄流到被感應線對的電壓, 為輸入端電壓, 為輸出端電壓 (A)(B) (C)(D) 。
11. 架空光纜之設計,光纜之佈設角度發生急劇變化時,其仰角(俯角)需在 x 度以下 (A)x=30 (B)x=15 (C)x=20 (D)x=10。
12. STM-16 SDH 電路速率為 (A)2.5G (B)51M (C)622M (D)155M bps。
13. 冷氣外洩會造成能源之浪費,下列的入門設施與管理何者最耗能? (A)全開式無氣簾 (B)自動門有 氣簾 (C)全開式有氣簾 (D)自動門無氣簾。
14. 功率 0dBm,相當於 (A)100mW (B)0mW (C)10mW (D)1mW。
15. 下列各種數位調變技術何者頻寬使用率最高 (A)QPSK (B)256QAM (C)16QAM (D)64QAM。
16. 與公務機關有業務往來構成職務利害關係者,下列敘述何者「正確」? (A)將餽贈之財物請公務 員父母代轉,該公務員亦已違反規定 (B)高級茶葉低價售予有利害關係之承辦公務員,有價購行 為就不算違反法規 (C)與公務機關承辦人飲宴應酬為增進基本關係的必要方法 (D)機關公務員藉子 女婚宴廣邀業務往來廠商之行為,並無不妥。
17. 二端 FS-JF-LAP 電纜以 UY 接續子作為心線接續,則外被接續收容則採用 (A)DJ 箱 (B)電纜帽套 (C)熱縮管 (D)RA 箱。
18. 圖例:O表示電桿,▃表示橫木。下列電桿與橫木之裝設何者正確? (A)(B)(C)(D) 。
19. 下圖為 TDR 掃瞄某條電纜內之一對心線呈現之圖形,請問圖中虛線間之軌跡要如何解讀?
(A)地 氣 (B)心線受潮 (C)電纜嚴重進水 (D)心線複接。
20. 下列何者行為非屬個人資料保護法所稱之國際傳輸? (A)將個人資料傳送給法國的人事部門 (B)將 個人資料傳送給日本的委託公司 (C)將個人資料傳送給經濟部 (D)將個人資料傳送給美國的分公 司。
21. 下圖為一人孔之水平斷面圖,內部收容電纜數量及接頭擺設位置如圖中所示,請問依「人孔設 計規範」此人孔內部寬度應為
(A)1.2 公尺 (B)1.1 公尺 (C)1.4 公尺 (D)1 公尺。
22. 抑壓線圈可降低何種感應電壓? (A)感應雜音電壓 (B)靜電感應電壓 (C)常態感應縱電壓 (D)靜電感 應電流。
23. 參鉺光纖放大器(EDFA)工作波長為 (A)1310nm (B)830nm (C)1550nm (D)1620nm。
24. 某公司希望能進行節能減碳,為地球盡點心力,以下何種作為並不恰當? (A)將採購規定列入以 下文字:「汰換設備時首先考慮能源效率 1 級或具有節能標章之產品」 (B)盤查所有能源使用設 備 (C)為考慮經營成本,汰換設備時採買最便宜的機種 (D)實行能源管理。
25. 受僱人於職務上所完成之著作,如果沒有特別以契約約定,其著作人為下列何者? (A)雇用人 (B) 受僱人 (C)雇用公司或機關法人代表 (D)由雇用人指定之自然人或法人。
26. 標準電功率是指 0.775 伏特電壓消耗在 (A)600Ω (B)500Ω (C)50Ω (D)60Ω 之電阻上。
27. 在電信網路中,每一個 DS1 電路,可收容 (A)24 (B)32 (C)6 (D)12 個 DS0 電路。
28. 依尼奎士(Nyquist)取樣準則,取樣頻率至少應等於頻寬之 (A)2 倍 (B)3 倍 (C)10 倍 (D)20 倍。
29. 行為人以竊取等不正當方法取得營業秘密,下列敘述何者正確? (A)已構成犯罪 (B)只要後續沒有 造成所有人之損害便不構成犯罪 (C)只要後續沒有出現使用之行為便不構成犯罪 (D)只要後續沒有 洩漏便不構成犯罪。
30. 估計成端光纜段長時,光纖引線接續所需長度預留 x 公尺,如於人孔成端,曳引端預留長度約 留 y 公尺 (A)x=1,y=3 (B)x=5,y=2 (C)x=3,y=1 (D)x=2,y=5。
31. 洗碗、洗菜用何種方式可以達到清洗又省水的效果? (A)將適量的水放在盆槽內洗濯,以減少用 水 (B)用熱水及冷水大量交叉沖洗達到最佳清洗效果 (C)對著水龍頭直接沖洗,且要盡量將水龍頭 開大才能確保洗的乾淨 (D)把碗盤、菜等浸在水盆裡,再開水龍頭拼命沖水。
32. 關於資訊插座之說明,下列何者有誤? (A)資訊插座可依需求與電話插座組合之多孔電話資訊插 座組 (B)設置於電纜出線匣之資訊插座,有埋入式及明線式兩種型式 (C)資訊插座為電纜終端的接 續裝置,主要作為對絞型數據電纜終端之用 (D)資訊插座(RJ-45)為 6 心容量之構造。
33. 1 歐蘭(Erlang)等於 (A)1 時呼 (B)60 秒呼 (C)60 時呼 (D)1 秒呼。
34. 用戶光纜查勘測量除路由測量、人孔調查、管道調查外,不含 (A)橋樑調查 (B)光(電)纜滑動調查 (C)用戶需求調查 (D)地下物調查 等查勘測量工作。
35. 有關架空光纜設計,下列敘述何者正確? (A)光纜吊線於一般區間使用鋼絞線,於沿海、溫泉、 工廠等地區則使用鍍鋁鋼絞線 (B)光纜吊線於一般區間使用銅絞線,於沿海、溫泉、工廠等地區 則使用鍍鋁銅絞線 (C)光纜吊線於一放區開使用鍍鋁銅絞線,於沿海、溫泉、工廠等地區則使用 銅絞線 (D)光纜吊線於一放區開使用鍍鋁鋼絞線,於沿海、溫泉、工廠等地區則使用鋼絞線。
36. 配線管道中手孔-小手孔中心間距離應在 (A)40M 以內 (B)60M 以內 (C)50M 以內 (D)30M 以內 為 原則。
37. 下列何者數位用戶線路需要二對線路傳輸? (A)IDSL (B)ADSL (C)SDSL (D)HDSL。
38. 電信管道之刷洗作業,如遇障礙物經掃除後,在佈放電纜之前,應使用約 (A)1.5 公尺 (B)1 公尺 (C)0.5 公尺 (D)2 公尺 之試驗用電纜拖入管路內試通檢查。
39. 下列何者電路常數不受頻率影響? (A)R (B)G (C)Z0 (D)L。
40. 對溫室氣體管制之「無悔政策」係指: (A)各類溫室氣體均有相同之減量邊際成本 (B)減輕溫室氣 體效應之同時,仍可獲致社會效益 (C)持續研究溫室氣體對全球氣候變遷之科學證據 (D)全世界各 國同時進行溫室氣體減量。
41. 下列哪一種飲食習慣能減碳抗暖化? (A)多選擇吃到飽的餐館 (B)多吃速食 (C)多吃牛肉 (D)多吃天 然蔬果。
42. 交換機之引進計畫管數低於 9 管時,局內光纜引進應以何種方式為宜? (A)管道引進 (B)架空引進 (C)吊線引進 (D)洞道引進。
43. 下圖之週期脈波,哪一頻率之成分最少?
(A)200Hz (B)300Hz (C)100Hz (D)400Hz。
44. 被動式光網路(XPON)系統,下行波長 Xnm;上行波長 Ynm (A)X 是 1490、Y 是 1310 (B)X 是1550、Y 是 1310 (C)X 是 1490、Y 是 1550 (D)X 是 1310、Y 是 1490。
45. 電纜配線設計,電纜簇數及心線之分配,原則上 (A)自電纜前端由外層至中心層 (B)自電纜末端由 外層至中心層 (C)自電纜末端由中心層至外層 (D)自電纜前端由中心層至外層 ,依序連續分配。
46. 下列何者非屬應對在職勞工施行之健康檢查? (A)特殊健康檢查 (B)體格檢查 (C)特定對象及特定 項目之檢查 (D)一般健康檢查。
47. 通信電纜線對心線皆互相扭絞,其用意為何? (A)僅用來維持電氣安全接地 (B)援消外來電波對通 信的干擾 (C)防止熱縮管施工時傷害心線 (D)增加電纜的機械強度。
48. 下圖為經濟角拉線,電桿高度(H)為 5.58 公尺。請問這支電桿長度為多少公尺?
(A)6.5 公尺 (B)7.0 公尺 (C)8.0 公尺 (D)7.5 公尺。
49. 在 DPSK 中,下列何者根據訊息不同而改變? (A)振幅 (B)相位 (C)瞬時功率 (D)頻率。
50. 依據用戶光纜設計規範,架空區間之測量,線路彎曲點,其曲率半徑應為光纜完成外徑之 (A)25 (B)20 (C)30 (D)10 倍以上。
51. 相鄰兩段管道長度在 x 公尺以下,中間人孔無引上心線簇,且兩端管口高低差不懸殊時,得考 慮電纜直通佈設,以減少接頭 (A)x=250 (B)x=150 (C)x=100 (D)x=200。
52. 設置專供該建築物使用之電信設備及空間,應按該建築物用戶之電信服務需求,由各市內網路/ 有線電視業務經營者依規定 (A)與所有權人協商 (B)與管委會協商 (C)無償 (D)依地方政府規定付費 連接及使用。
53. 某一段幹線電纜路由之管道採用 D100(4"),幹纜線徑為 0.4mm,15 年預測電纜 100 對簇數為120,請問該段幹線電纜之計畫條數為 (A)5 (B)4 (C)6 (D)3 條。
54. 電信市內用戶固定供線區依據 15 年預測用戶數每 (A)200~400 戶 (B)100~200 戶 (C)400~600 戶 (D)300~500 戶 規劃為一固定供線區。
55. 下列何者採用架空線路時需要較高之架空高度? (A)跨越公路 (B)市內區沿道路 (C)郊區沿道路 (D) 非電化鐵路。
56. 光纖的傳輸頻譜分 O、E、S、C、L、U 等 6 個頻帶,請問 O 與 L 頻帶之波長為 (A)1260nm~1360nm 及 1360nm~1460nm (B)1260nm~1360nm 及 1460nm~ 1530nm (C)1460nm~1530nm 及1530nm~1565nm (D)1260nm~1360nm 及 1565nm~1625nm。
57. 光纜幹配線介接點之接續預長應依接續測試作業方式估算之,如在人孔內進行接續時,每處接 續點之接續長約 x 公尺,若須於人孔外之車上進行時,每處接續點之接續長約為 y 公尺,則 (A)x=5,y=10 (B)x=5,y=15 (C)x=3,y=10 (D)x=3,y=15。
58. 有一光分配線路由從機房配出,經過一個 1:8 光分歧器(均分型)到用戶端,前後二段光纖損失 合計 3.2dB,1:8 的額外損失(Excess Loss)2.5dB,如不考慮其他損失值(熔接、彎曲、人為因 素),請問從機房到用戶端的鏈結損失為多少? (A)14.7dB (B)8.7dB (C)5.7dB (D)11.7dB。
59. 當光線從折射率 的材質進折射率 的材質,若發生全反射現象時,其折射角為 (A)90 度 (B)180 度 (C)45 度 (D)0 度。
60. 依環境影響評估法規定,對環境有重大影響之虞的開發行為應繼續進行第二階段環境影響評 估,下列何者不是上述對環境有重大影響之虞或應進行第二階段環境影響評估的決定方式? (A) 環評委員會審查認定 (B)有民眾或團體抗爭 (C)自願進行 (D)明訂開發行為及規模。
61. 選擇人孔位置時應考慮各項因素,下列敘述何者正確? (A)靠近橋樑或鐵路附近時,應距橋台或 鐵路邊坡 25 公尺以上 (B)市區汽車或長途客運汽車停靠站附近,得選擇適當位置建造人孔 (C)避 免建造於行人進出頻繁之處所 (D)避開交通繁忙之十字路口,至少應距路口 10 公尺以上,以曲線 管路連接相交之管路。
62. 有關拉線之角度設計,下列何者正確? (A)以 30°為原則 (B)不得少於 30° (C)以 45°為原則 (D)不得 少於 25°。
63. 依有線廣播電視系統工程查驗技術規範要求,電波洩漏測試,下列敘述何者正確? (A)查測電波 洩漏時系統經營者應保持原有分配線網路狀況,不得將訂戶線拆除 (B)IPTV 系統或分配線網路屬 FTTH 者,免測電波洩漏 (C)發生電波洩漏過量時,應即停播,再由系統經營者會同中央主管機 關查驗人員查明洩漏點位置,並予以改善 (D)因關係公共安全,電波洩漏測試器須採用監理單位 之設備。
64. 光纖的一次外被之敘述下列何者正確? (A)內含惰性物質,剝除時不會傷到光纖 (B)光纜成纜時可 保護光纖不受損傷 (C)保護光纖不會產生微彎(Micro-bending) (D)易於染色且終其壽年不會退色。
65. 關於電信保安接地之設計,下列何者有誤? (A)裝設總接地箱時,箱體下緣距離樓板面不得小於30 公分 (B)設置電信室之建築物,其接地電阻值應為 25 歐姆以下 (C)接地端子板設有電木支座者,須至少以 3.0 毫米∮銅製導線接至箱體 (D)總接地箱應設置於一樓總配線箱附近或最底層地 下室之適當位置,如為單戶透天式建築,接地端子板 E、P、C 三極及其接地設備,得裝設於總 配線箱兼宅內配線內兩側下緣部分。
66. 光功率測試過程中不會顯示下列何種光纖鏈路資訊? (A)光迴流損失 (B)彎曲損失 (C)連接損失 (D) 鏈路損失。
67. 地下管道工程幹線引上管(垂直部分),適用何種管佈管? (A)鍍鋅鋼管 (B)塑膠厚管 (C)PE 可撓管 (D)防蝕鋼管。
68. 為何雷射光源比 LED 光源更適用於單模態光纖鏈路? (A)雷射可以調出多種波長,LED 則不可 (B)雷射發出之光束不太會擴散 (C)雷射成本較低 (D)雷射發出之光功率高於 LED。
69. 下列哪些原則符合用戶光纜路由之規劃? (A)有既設管道可資利用 (B)不受都市計畫影響 (C)道路 可能會變遷 (D)距離最短。
70. 關於光通信頻譜如下圖,下列陳述何者正確?
(A)傳統光纖的水峰吸收發生在 E 帶 (B)C 帶適用於 DWDM (C)EDFA 的放大波段在 S 帶 (D)O 帶光波衰減大於 C 帶光波。
71. 有關引進及引出交接箱之管道,下列敘述何者正確? (A)由交接箱引出至手孔規定為 D-50 四管 (B)由大手孔引進交接箱規定為 D-80 三管 (C)由交接箱引出至人孔規定為 D-50 三管 (D)由人孔引進 交接箱規定為 D-80 四管。
72. 電信機房洞道內的電纜成端具有何種功能? (A)阻氣 (B)幹纜起點 (C)不同電纜界接 (D)交接線路。
73. 採用下列何種方法可解決網際網路服務 IP 位址不足? (A)IPv5 (B)網路位址轉換(NAT) (C)IPv4 (D)IPv6。
74. 光信號能量涵蓋的範圍即為模場,從模場邊緣經光纖軸心劃一直線到對面模場邊緣即為「模場 直徑」,是分析單模光纖特性的重要參數之一,它會影響到哪一種光纖特性? (A)回流損失 (B)光 源耦合 (C)彎曲損失 (D)接續損失。
75. 電信線路於幹線、支線管道段長設計應以 (A)240 (B)180 (C)200 (D)220 公尺為原則。
76. 一張 OTDR 軌跡圖裡可以顯示下列何種光纖鏈路資訊? (A)光迴流損失 (B)連接損失 (C)鏈路損失 (D)彎曲損失。
77. 有關交接箱引進管線設計,下列何者正確? (A)引進交接箱之幹管,原則上佈設 3〞PVC 厚管 4 管 (B)幹纜依擴充對數設計之 (C)引進交接箱之地下線路設計 FS-JF-LAP (D)配纜以長期需要對數一 次設計之。
78. 引進管設計,下列何者敘述正確? (A)依「建築物電信管線設計規範」規定,大型建築物(四層及 四層以上與每棟每層面積逾 265 平方公尺之三層以下建築)引進配管應延伸至建築線或邊溝外 50 公分以上,其深度應距地面 50 公分以上 (B)引進管之彎曲,其曲率半徑(R)應為管外徑之六倍 以上,彎曲角度不得大於 90° (C)引進管須穿越水溝時,如溝深未滿 30 公分,則應由溝底穿越, 溝深在 30 公分以上時,可由溝蓋下 10 公分範圍內穿越。D-80 引進管原則應由邊溝底穿越 (D)直 接引進建築物之引進管,每段彎曲點不得超過二處,各彎曲點彎曲度之和不得超過 125 度,且 不得呈〝U〞型。
79. 光纖二次外被之敘述下列何者正確? (A)使用微簇套管 (B)包覆緊束聚合物 (C)利用光纖帶(Ribbon) 結構 (D)將一次外被的光纖放置在鬆弛型套管裡。
80. 有線廣播電視系統接地電阻標準值為 (A)頭端<5Ω (B)頭端<15Ω (C)架空線纜<100Ω (D)訂戶引 進線<100Ω。