所屬科目:技檢◆測量-丙級
1. 下列何者不是存放儀器的需求? (A)防曬 (B)避免溫差變化太大 (C)防潮且避免淹水 (D)儀器櫃應密不通風。
2. 經緯儀定平用之踵定螺旋共有 (A)7 個 (B)5 個 (C)3 個 (D)1 個。
3. 攜帶水準尺行進或測量扶尺時,應該保護尺面,且須注意何種動作? (A)隨意 (B)不可觸摸刻劃 (C)不 可觸摸刻劃及註記之數字 (D)不可觸摸註記之數字。
4. 依據內政部頒訂數值法地籍圖重測手冊規定,辦理加密控制測量時,點位網形須重複觀測,請問不 同時段最少基線重複觀測率為多少? (A)10% (B)20% (C)15% (D)5%。
5. 下列關於營業秘密的敘述,何者不正確? (A)受雇人於非職務上研究或開發之營業秘密,仍歸雇用人 所有 (B)營業秘密不得為質權及強制執行之標的 (C)營業秘密所有人得授權他人使用其營業秘密 (D)營 業秘密得全部或部分讓與他人或與他人共有。
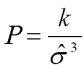
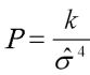
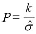
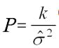
6. 下列何者為「幾何誤差改正」之計算公式? (A) (B) (C) (D) 。
7. 在內政部一千分之一地形圖圖式規格表中, 為下列何者之圖式尺寸? (A)衛星控制點 (B)三 角點 (C)一等水準點 (D)水準點。
8. 在平坦地區用經緯儀作視距測量,望遠鏡視線水平讀得標尺夾距為 1.12 公尺,則儀器與標尺間之距 離為 (A)112 公尺 (B)110 公尺 (C)11 公尺 (D)11.2 公尺。
9. 水準點刻號寫於 (A)北面 (B)東面 (C)南面 (D)西面。
10. 以微傾水準儀後視讀數後,再瞄準前視水準尺時,發現管狀水準器之水準氣泡未居中,此時應旋轉 (A)微動螺旋 (B)腳螺旋 (C)制動螺旋 (D)傾斜螺旋。
11. 大雄擔任公司部門主管,代表公司向公務機關投標,為使公司順利取得標案,可以向公務機關的採 購人員為以下何種行為? (A)為了解招標文件內容,提出招標文件疑義並請說明 (B)為避免報價錯 誤,要求提供底價作為參考 (C)為與公務機關間有良好互動,招待至有女陪侍場所飲宴 (D)為社交禮 俗需要,贈送價值昂貴的名牌手錶作為見面禮。
12. 通常經緯儀之主軸有 (A)二 (B)三 (C)四 (D)一 個。
13. 控制點經選定後,應釘設標誌,並繪製 (A)位置略圖 (B)地勢圖 (C)主題圖 (D)綜橫斷面圖。
14. 橫麥卡托投影之圓柱軸與地軸應互相 (A)斜交 (B)一致 (C)無關 (D)正交。
15. 下列何者不合理? (A)以經緯儀為例,儀器校正項目較多,如果校正量較大時,通常需重複循環校正 (B)依照使用手冊之指示校正儀器 (C)不論儀器誤差種類及大小,一律須送儀器廠校正 (D)儀器誤差較 小,且能以適當方法予以消除時,可以不要校正。
16. 經緯儀之下盤不能隨照準架旋轉者為 (A)游標經緯儀 (B)方向經緯儀 (C)複測經緯儀 (D)羅盤經緯儀。
17. 設 D 為電子測距儀所測得之距離,則下列有關電子測距儀之自然誤差,何者為誤? (A)濕度對電子 測距儀影響小 (B)測量時氣溫每升高 10°C 時,相應改變量約為+10ppm•D (C)測量時大氣壓力每升 高 25 ㎜ Hg 時,相應改變量約為-10ppm•D (D)測距精度受太陽黑子影響大。
18. 水準器水平之符合讀法,是氣泡兩端之半像 (A)右像略高 (B)兩像分開 (C)互相吻合 (D)左像略高。
19. 內政部一千分之一地形圖圖式規格表中, 為下列何者之圖式尺寸? (A)獨立墓 (B)塔 (C)導線 點 (D)水準點。
20. 有關著作權的下列敘述何者錯誤? (A)將補習班老師的上課內容錄音檔,放到網路上拍賣,會構成侵 害著作權 (B)在網路的部落格看到一篇文章很棒,只要註明出處,就可以把文章複製在自己的部落格 (C)在網路散布盜版光碟,不管有沒有營利,會構成侵害著作權 (D)撰寫碩博士論文時,在合理範圍內 引用他人的著作,只要註明出處,不會構成侵害著作權。
21. 電子測距儀上所測得之距離,在未化算前為兩點間之 (A)傾斜距離 (B)垂直距離 (C)水平距離 (D)海水面 距離。
22. 高程測量之方法以何者精度最高? (A)衛星定位測量 (B)三角高程測量 (C)直接水準測量 (D)氣壓計測 量。
23. 水準測量讀標尺讀數時,在具有三絲之望遠鏡中,應取用那個讀數? (A)右絲 (B)中絲 (C)下絲 (D)上 絲。
24. 內政部國土測繪中心 eGNSS 即時動態定位系統可提供高精度定位服務,請問以下非系統所能提供 服務? (A)提供即時性大氣預估資訊 (B)即時性衛星動態定位服務 (C)衛星觀測資料後處理動態定位服 務 (D)衛星觀測資料電子檔供應服務。
25. 一圓弧長度等於此圓半徑長度時,此圓弧所對應的圓心角稱為一個半徑角,以 ρ"表示之,其值為 (A)202665" (B)206065" (C)206265" (D)206625"。
26. 利用豬隻的排泄物當燃料發電,是屬於下列那一種能源? (A)核能 (B)生質能 (C)地熱能 (D)太陽能。
27. 組合許多位置接近的點、線或面特徵物,使其成為單一特徵物的縮編程序稱為 (A)移位 (B)合併 (C)增 顯 (D)併消。
28. 依據地籍測量實施規則之規定,圖根點之水平角觀測應施測二測回,其二測回之差,不得超過 (A)六 秒 (B)三秒 (C)十二秒 (D)九秒。
29. 在噪音防治之對策中,從下列哪一方面著手最為有效? (A)噪音源 (B)個人防護具 (C)傳播途徑 (D)偵測 儀器。
30. 視角測量測距之誤差與距離 (A)平方根成反比 (B)平方成正比 (C)平方根成正比 (D)平方成反比。
31. 設度盤最小格為 20',游標共刻有 40 格,則其最小讀數為 (A)30" (B)40" (C)60" (D)20"。
32. 經緯儀測水平角時,選擇測站周圍之任一測點作為參考方向,此參考方向稱為 (A)原方向 (B)反方向 (C)逆方向 (D)零方向。
33. 下列的能源效率分級標示,哪一項較省電? (A)3 (B)2 (C)4 (D)1。
34. 有一塊基地長 130 公尺,寬 80 公尺,其面積為多少公頃? (A)1.04 (B)10.4 (C)1040 (D)104。
35. 根據性別平等工作法規範職場性騷擾範疇,下列何者為「非」? (A)對僱用、求職或執行職務關係受 自己指揮、監督之人,利用權勢或機會為性騷擾 (B)上班執行職務時,任何人以性要求、具有性意味 或性別歧視之言詞或行為,造成敵意性、脅迫性或冒犯性之工作環境 (C)雇主對受僱者或求職者為明 示或暗示之性要求、具有性意味或性別歧視之言詞或行為 (D)下班回家時被陌生人以盯梢、守候、尾 隨跟蹤。
36. GPS 衛星定位測量中,L1 觀測量調制了下列何種電碼 (A)P 碼 (B)C/A 碼 (C)C/A 碼及 P 碼 (D)M 碼。
37. 旋轉望遠鏡之目鏡調焦螺旋,其作用係使十字絲平面上的物像 (A)正立 (B)縮小 (C)倒立 (D)清晰。
38. 職業安全衛生法所稱有母性健康危害之虞之工作,係指對於具生育能力之女性勞工從事工作,可能 會導致的一些影響。下列何者除外? (A)經期紊亂 (B)妊娠期間之母體健康 (C)哺乳期間之幼兒健康 (D) 胚胎發育。
39. 水準儀之所以能向任意水平方向照準,因其望遠鏡能依______ 任意旋轉。(A)直立軸 (B)視準軸 (C)水準軸 (D)水平軸
40. 玉山主峰三角點,內政部採水準測量施測結果公布高程為 3,951.798 公尺,此為 (A)正常高 (B)橢球高 (C)正高 (D)力高。
41. 經緯儀望遠鏡之縱轉就是望遠鏡繞 (A)直立軸 (B)視準軸 (C)水準軸 (D)水平軸(或稱橫軸) 之迴轉。
42. 某角度分別由技術相當之甲、乙、丙三人觀測,甲觀測一次為 47°37'40",乙觀測九次其平均值為47°37'30",丙觀測四次其平均值為 47°37'22",則此角度最或是值為 (A)47°37'30" (B)47°37'28" (C)47°37'00" (D)47°37'20"。
43. 假設某一電子測距儀(EDM)之精度為±(5 ㎜+5ppm),以該儀器量測一段 800 公尺距離,請問其期望 精度為 (A)9 ㎜ (B)6 ㎜ (C)12 ㎜ (D)3 ㎜。
44. 依水污染防治法,事業排放廢(污)水於地面水體者,應符合下列哪一標準之規定? (A)放流水標準 (B) 土壤處理標準 (C)水體分類水質標準 (D)下水水質標準。
45. 受風力影響,若扶標尺有輕微搖動,則水準測量測讀標尺時,應讀其 (A)最大數值 (B)最小數值 (C)平 均值 (D)最中間數值。
46. 台灣地區目前所採用的橫麥卡托地圖投影,中央經線位於何處? (A)東經 119 度 (B)東經 120 度 (C)東 經 121 度 (D)東經 123 度。
47. 以數值法辦理地籍測量之地區,幹導線線簡易平差計算水平角閉合差,不得超過之限制為(N為含 起迄二已知點之導線點總數) (A)40”√N (B)20” √N(C)30”√N (D)10” √N。
48. 下列有關省水標章的敘述中正確的是? (A)獲得省水標章的產品並無嚴格測試,所以對消費者並無一 定的保障 (B)省水標章能激勵廠商重視省水產品的研發與製造,進而達到推廣節水良性循環之目的 (C)省水標章是環境部為推動使用節水器材,特別研定以作為消費者辨識省水產品的一種標誌 (D)省水 標章除有用水設備外,亦可使用於冷氣或冰箱上。
49. 望遠鏡之目鏡調焦螺旋的主要作用為 (A)使十字絲清晰 (B)使目標之成像清晰 (C)使橫十字絲水平 (D)使 視準軸水平。
50. 利用望遠鏡正倒鏡觀測水平角度可消除儀器 (A)水準軸誤差 (B)度盤刻劃不均勻誤差 (C)直立軸誤差 (D) 視準軸偏心誤差。
51. 利用電子測距儀觀測兩測站間之水平距離,不需要觀測 (A)溫度 (B)儀器高 (C)氣壓 (D)垂直角。
52. 方格北與真北之夾角稱為 (A)偏角 (B)半徑角 (C)磁偏角 (D)製圖角。
53. 攜帶標桿行進時,應該使尖端保持何種動作? (A)朝後 (B)朝後且朝下 (C)朝前且朝上 (D)朝前。
54. 假設以 P 來表示一觀測量的權,而該觀測量的標準誤差為 ,則權與標準誤差的關係為? (A) (B) (C) (D) 。
55. 在 A 點測得 AB 之磁方位角等於 40°30'20",在 C 點測得 CB 之磁方位角等於 290°10'40",則 ∠ABC= (A)249°40'20" (B)69°40'20" (C)109°39'40" (D)110°19'40"。
56. 作視準軸校正時,如正鏡後視 A,縱轉望遠鏡前視得 B;倒鏡重新後視 A,再縱轉望遠鏡前視得 C。如 BC 為 1.6 ㎝,則校正視準軸應對 (A)與 B 相距 0.4 ㎝之點 (B)與 C 相距 0.4 ㎝之點 (C)與 C 相距0.2 ㎝之點 (D)B、C 中點。
57. 經緯儀誤差來源中下列何者非自然誤差? (A)大氣折光差 (B)大氣熱輻射 (C)照準誤差 (D)觀測環境。
58. 水準測量時,所生地球曲率差之數值與儀器至水準尺之水平距離 (A)平方成正比 (B)平方成反比 (C)成 正比 (D)成反比。
59. 計算平日加班費須按平日每小時工資額加給計算,下列敘述何者有誤? (A)未經雇主同意給加班費 者,一律補休 (B)前 2 小時至少加給 1/3 倍 (C)超過 2 小時部分至少加給 2/3 倍 (D)經勞資協商同意 後,一律加給 0.5 倍。
60. 誤差的來源有 (A)儀器誤差、人為誤差、自然誤差 (B)儀器誤差、自然誤差 (C)儀器誤差、人為誤差 (D) 人為誤差、自然誤差。
61. 公眾聚集量大且滯留時間長之場所,經公告應設置自動監測設施,其應量測之室內空氣污染物項目 為何? (A)二氧化碳 (B)一氧化碳 (C)甲醛 (D)臭氧。
62. 水準測量如過河流,不能平衡前後照準距離時,可採用 (A)氣壓高程測量 (B)直接高程測量 (C)對向水 準測量 (D)間接高程測量。
63. 為防止勞工感電,下列何者為非? (A)使用防水插頭 (B)電線架高或加以防護 (C)設備有金屬外殼保護 即可免裝漏電斷路器 (D)避免不當延長接線。
64. 水準測量高程差等於______之平均值。(A)後視加前視 (B)後視乘前視 (C)後視減前視 (D)後視與前視
65. 以鋼卷尺量距時,有六項改正,須視所要求之精度採用。包含尺長改正、溫度改正、拉力改正、垂 曲(懸垂)改正、傾斜改正、海平面歸化改正。通常哪兩項影響量最大,在一般距離量測均須改正? (A)尺長改正、海平面歸化改正 (B)尺長改正、拉力改正 (C)尺長改正、傾斜改正 (D)傾斜改正、海平面 歸化改正。
66. 茲觀測得到三段高程差結果為:=15.752m ± 0.005m、=7.305m ± 0.003m 及 =9.532m ± 0.004m,試問A到D間的高程差之標準誤差為多少? (A)±3.5 ㎜ (B)±7.1 ㎜ (C)±4.0 ㎜ (D)±7.7 ㎜。
67. 下列何種熱水器所需能源費用最少? (A)電熱水器 (B)熱泵熱水器 (C)天然瓦斯熱水器 (D)柴油鍋爐熱水 器。
68. 下列何種經緯儀儀器誤差,不能藉正倒鏡觀測取消? (A)直立軸誤差 (B)指標差 (C)十字絲偏斜誤差 (D) 視準軸偏心。
69. 依環境教育法,環境教育之戶外學習應選擇何地點辦理? (A)海洋世界 (B)遊樂園 (C)環境教育設施或 場所 (D)森林遊樂區。
70. 我國現時土地測量所採用之長度單位為 (A)市尺 (B)公尺 (C)台尺 (D)英尺。
71. 兩河流匯合處上游之等高線常成何種形狀? (A)M 形 (B)S 形 (C)Z 形 (D)V 形。
72. 水準標尺前傾 5°時之標尺讀數為 3.779m,其相對於標尺垂直豎立時之讀數為 (A)3.765m (B)3.756m (C)3.775m (D)3.791m。
73. 量距之目的在求得兩點間之 (A)等距 (B)斜距 (C)垂距 (D)平距。
74. 視距測量水平距離精度之最佳值為 (A)1/300 (B)1/100 (C)1/3000 (D)1/1000。
75. 經緯儀之水準軸與直立軸是否垂直之檢校方法,稱為 (A)半半校正法 (B)一次反轉法 (C)木樁校正法 (D) 二次反轉法。
76. 測量員可調整望遠鏡之目鏡調焦螺旋,以使下列何者清晰? (A)準星 (B)度盤刻劃 (C)測微鼓 (D)十字 絲。
77. 水準測量中,已先讀後視,在尚未讀出前視之前,儀器腳架下陷,若此時水準氣泡仍然居中,則 (A) 前視讀數變大,高程差變小 (B)前視讀數不變,高程差不變 (C)前視讀數變小,高程差變小 (D)前視讀 數變小,高程差變大。
78. 假設水準環線最大閉合差為 ,F 為水準環線長度之公里數。若某水準環線包含 A、B、C、 D 等四點,其中 A 點至 B 點、B 點至 C 點、C 點至 D 點、D 點至 A 點之水準路線長度分別為1km、4km、2km、3km,則此水準環線最大閉合差為 (A)32 ㎜ (B)36 ㎜ (C)25 ㎜ (D)63 ㎜。
79. 水準測量之轉點位置應選擇於 (A)人孔蓋 (B)堅實凸出地點 (C)平坦鬆軟地點 (D)水溝蓋。
80. 關於綠色採購的敘述,下列何者錯誤? (A)選購對環境傷害較少、污染程度較低的產品 (B)採購由回 收材料所製造之物品 (C)以精美包裝為主要首選 (D)採購的產品對環境及人類健康有最小的傷害性。