所屬科目:技檢◆室內配線(屋內線路裝修)-乙級
1. 下列何者是酸雨對環境的影響? (A)增加水生動物種類 (B)土壤肥沃 (C)增加森林生長速度 (D)湖泊水質酸化。
2. 下列對單相感應電動機之敘述何者正確? (A)雙值電容式電動機之永久電容器容量較起動電容器大 (B)蔽極電動機中蔽極部分之磁通較主磁通滯後 (C)蔽極電動機起動轉矩比電容起動式電動機大 (D)雙值電容式電動機常用於需變速低功因之場合。
3. 檢舉人向有偵查權機關或政風機構檢舉貪污瀆職,必須於何時為之始可能給與獎金? (A)犯罪未起訴前 (B)預備犯罪前 (C)犯罪未發覺前 (D)犯罪未遂前。
4. 有關省水馬桶的使用方式與觀念認知,下列何者是錯誤的? (A)選用衛浴設備時最好能採用省水標章馬桶 (B)省水馬桶因為水量較小,會有沖不乾淨的問題,所以應該多沖幾次 (C)因為馬桶是家裡用水的大宗,所以應該儘量採用省水馬桶來節約用水 (D)如果家裡的馬桶是傳統舊式,可以加裝二段式沖水配件。
5. 三相感應電動機之端電壓固定,將一次的定子線圈由△接改為 Y 接,則電動機最大轉矩變成多少倍? (A)(B)(C)3 (D) 。
6. 下列何者是造成聖嬰現象發生的主要原因? (A)霧霾 (B)溫室效應 (C)臭氧層破洞 (D)颱風。
7. 個人資料保護法規定為保護當事人權益,多少位以上的當事人提出告訴,就可以進行團體訴訟? (A)15 人 (B)20 人 (C)5 人 (D)10 人。
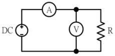
8. 下圖所示之接線是以伏特計與安培計測量負載直流電功率,為防止儀表之負載效應,減少誤差,下列敘述何者正確? (A)與負載電阻高低無關 (B)為量測高電阻負載之電功率時,所採用之接 線 (C)不論量測負載電阻大小之電功率時,均可採用之接線 (D)為量測低電阻負載之電功率時,所 採用之接線。
9. 屋內配線所使用之絞線至少由多少股實心線組成? (A)3 (B)7 (C)5 (D)19。
10. 一住宅樓板面積為 150 平方公尺,若其照明負載以每平方公尺 20 伏安計算,如以 110 伏 15 安的過電流保護開關配置,則照明負載需要多少個分路? (A)4 (B)3 (C)1 (D)2。
11. 下列何種三相變壓器之連接,會產生變壓器內部環流? (A)Y-Y (B)T-T (C)V-V (D)△-△。
12. 有流產病史之孕婦,宜避免相關作業,下列何者為非? (A)避免提舉 3 公斤重物的職務 (B)避免砷或鉛的暴露 (C)避免每班站立 7 小時以上之作業 (D)避免重體力勞動的職務。
13. 低壓電源系統經接地後,其對地電壓超過多少伏者,其電源系統不得接地? (A)300 (B)150 (C)110(D)208。
14. 純電容性之負載 (A)電流與電壓同相 (B)電壓超前電流相位 90° (C)電壓與電流相差 30° (D)電流超前電壓相位 90°。
15. 世紀之毒「戴奧辛」主要透過何者方式進入人體? (A)透過觸摸 (B)透過飲食 (C)透過呼吸 (D)透過雨水。
16. 某規範明定地政機關進用女性測量助理名額,不得超過該機關測量助理名額總數二分之一,根據消除對婦女一切形式歧視公約(CEDAW),下列何者正確? (A)土地測量經常在戶外工作,基於 保護女性所作的限制,不屬性別歧視 (B)限制女性測量助理人數比例,屬於直接歧視 (C)此限制是 為確保機關業務順暢推動,並未歧視女性 (D)此項二分之一規定是為促進男女比例平衡。
17. 有兩個電阻 R1 與 R2 並聯後,接於一電源,已知 R1 之消耗功率為 400W,R2 之消耗功率為200W,已知 R1=80Ω,則 R2 為多少 Ω? (A)160 (B)40 (C)60 (D)320。
18. 在噪音防治之對策中,從下列哪一方面著手最為有效? (A)噪音源 (B)個人防護具 (C)傳播途徑 (D)偵測儀器。
19. 某安培計滿刻度偏轉電流為 1 毫安,校正百分率為滿刻度電流之±5%,若該安培計讀數為0.35 毫安時,其真實電流範圍為多少毫安? (A)0~0.3675 (B)0.3325~0.3675 (C)0~0.40 (D)0.30~0.40。
20. 台灣是屬缺水地區,每人每年實際分配到可利用水量是世界平均值的約多少? (A)1/5 (B)1/6(C)1/2 (D)1/4。
21. 電阻電焊機應有之過電流保護器,其額定或標置不得大於該電焊機一次額定電流之多少倍? (A)3(B)6 (C)2.5 (D)2。
22. 高壓接戶線之架空長度以多少公尺為限且不可使用連接接戶線? (A)50 (B)10 (C)20 (D)30。
23. 石綿最可能引起下列何種疾病? (A)巴金森氏症 (B)白指症 (C)心臟病 (D)間皮細胞瘤。
24. 兩具相同額定之電容器串聯,其合成電容值為單具電容器的多少倍? (A) (B)4 (C)2 (D) 。
25. 低壓電動機其分路導線之安培容量不得低於電動機額定電流之多少倍? (A)1.35 (B)1.5 (C)1.25(D)1.15。
26. 屋內配線設計圖之符號為 (A)三相 V 非接地 (B)三相三線 Δ 接地 (C)三相 V 一線捲中性點接地(D)三相 V 共用點接地。
27. 屋外電燈線路,其相鄰二支持點間之距離在 30 公尺以內時,使用之導線線徑不得小於(A)5.5mm2 (B)2.0mm (C)1.6mm (D)3.5mm2。
28. 可程式控制器之高速計數輸入模組通常與下列何項輸入元件連接,以達到精密定位控制之要求? (A)編碼器 (B)熱電偶 (C)液面控制器接點 (D)按鈕開關。
29. 對於勞動部公告列入應實施型式驗證之機械、設備或器具,下列何種情形不得免驗證? (A)供國防軍事用途使用者 (B)輸入僅供科技研發之專用機 (C)輸入僅供收藏使用之限量品 (D)依其他法律規定實施驗證者。
30. PVC 管未使用粘劑時,其相互間及管與配件相接長度須為管之管徑多少倍以上? (A)0.8 (B)1.2(C)1.0 (D)1.5。
31. 可程式控制器與電腦利用 RS232C 作非同步傳輸連線時,下列何項非為設定參數之一? (A)通訊埠(COM Port) (B)緩衝器(Buffer) (C)資料位元(Data Bits) (D)結束位元(Stop Bits)。
32. 手提電鑽的規格一般表示為 (A)轉數 (B)能夾持鑽頭之大小 (C)電流 (D)重量。
33. 電度表容量在多少安以上者,其電源側非接地導線應加裝隔離開關,且須裝於封印之箱內?(A)70 (B)60 (C)80 (D)50。
34. 配電箱之分路額定值如為 30 安以下者,其主過電流保護器應不超過多少安? (A)100 (B)60 (C)200(D)30。
35. 下列何項法規的立法目的為預防及減輕開發行為對環境造成不良影響,藉以達成環境保護之目的? (A)環境基本法 (B)環境影響評估法 (C)公害糾紛處理法 (D)環境教育法。
36. 高速形漏電斷路器在額定感度電流之動作時間多少秒以內? (A)0.1 (B)0.5 (C)1 (D)2。
37. 過流電驛(CO)在設定時,若在同樣的負載電流下,要加速其跳脫時間,則以選擇下列何種方式較佳? (A)設定較低的始動電流,選用較大的時間標置 (B)設定較高的始動電流,選用較大的時間標置 (C)設定較低的始動電流,選用較小的時間標置 (D)設定較高的始動電流,選用較小的時間標置。
38. 電力工程,選擇分路導體線徑之大小,絞線截面積不得小於多少平方公厘? (A)2.0 (B)5.5 (C)8(D)3.5。
39. 有關小黑蚊敘述下列何者為非? (A)小黑蚊的幼蟲以腐植質、青苔和藻類為食 (B)無論雄性或雌性皆會吸食哺乳類動物血液 (C)活動時間以中午十二點到下午三點為活動高峰期 (D)多存在竹林、灌 木叢、雜草叢、果園等邊緣地帶等處。
40. 高阻計(Megger)可用來測量感應電動機的 (A)輸出功率 (B)運轉轉速 (C)滿載電流 (D)絕緣電阻。
41. 設計水平裝置之匯流排槽應每距 1.5 公尺處須加固定支持,如裝置法確屬牢固者,則該項最大距離得放寬至多少公尺? (A)1.5 (B)2 (C)2.5 (D)3。
42. 屋外電燈線路距地面應保持多少公尺以上? (A)2 (B)4 (C)5 (D)3。
43. 關於菸品對人體危害的敘述,下列何者「正確」? (A)只要開電風扇、或是抽風機就可以去除菸霧中的有害物質 (B)雖然自己不吸菸,同事在旁邊吸菸,就會增加自己得肺癌的機率 (C)只要不將菸吸入肺部,就不會對身體造成傷害 (D)指定菸品(如:加熱菸)只要通過健康風險評估,就不 會危害健康,因此工作時如果想吸菸,就可以在職場拿出來使用。
44. 有一電容器之容量為 50kVAR,其中英文字母 k 代表的數值是 (A)10 1 2 (B)10 9 (C)10 6 (D)10 3。
45. 屋內線路屬於被接地一線之再行接地者,稱為 (A)內線系統接地 (B)低壓電源系統接地 (C)設備接地 (D)設備與系統共用接地。
46. 低壓屋內配線所使用之金屬管,其管徑不得小於多少公厘? (A)13 (B)25 (C)31 (D)19。
47. 屋內配線設計圖中,電力總配電盤的符號為 (A)(B)(C)(D) 。
48. 非接地系統之高壓用電設備接地,其接地電阻應在多少 Ω 以下? (A)50 (B)10 (C)25 (D)100。
49. 避雷器截止放電時之電壓稱為避雷器臨界截止電壓,其值通常為線路正常電壓之多少倍? (A)1.2(B)2.5 (C)1.4 (D)2。
50. 依台灣電力公司營業規則之規定,三相低壓供電之用戶,如無特殊原因,其單相 220 伏電動機,每具最大容量不得超過多少馬力? (A)10 (B)3 (C)1 (D)5。
51. 特別低壓設施之變壓器,其一次側電壓應在多少伏特以下? (A)380 (B)250 (C)300 (D)440。
52. 在連接比流器(CT)時,必須注意 (A)二次側須與瓦特計電壓線圈串聯 (B)二次側不能接地 (C)應與電路並聯 (D)不可使二次側開路。
53. 為了取得良好的水資源,通常在河川的哪一段興建水庫? (A)上游 (B)下游出口 (C)中游 (D)下游。
54. 依台灣電力公司營業規則,廢止用電之用電場所申請重新用電,應辦理 (A)新設 (B)併戶 (C)增設(D)復電。
55. 供應用戶用電之電源,如對地電壓超過多少伏時,該用戶之電鈴應按特別低壓設施辦理? (A)150(B)30 (C)50 (D)300。
56. 下列何者無法利用變壓器之開路試驗求得? (A)激磁導納 (B)無載電流 (C)鐵損 (D)銅損。
57. 為改善變頻器因連接交流電動機所產生的金屬噪音,通常需要 (A)加煞車電阻器 (B)降低變頻器內部電力元件切換的速度 (C)在變頻器電源端加電磁接觸器 (D)外加交流電抗器。
58. 屋內配線設計圖之符號為 (A)三相 V 一線捲中性點接地 (B)三相三線 Δ 接地 (C)三相 V 共用點接地 (D)三相 V 非接地。
59. 屋外架空配電線路,11.4kV 高壓裸導線與房屋之水平間隔應保持在多少公尺以上? (A)2 (B)1.5(C)2.5 (D)3。
60. 蔽極式單相感應電動機的蔽極線圈之作用是 (A)提高效率 (B)減少起動電流 (C)幫助起動 (D)提高功率因數。
61. 用戶電力電容器最理想的裝置位置,下列敘述哪些錯誤? (A)各分路線上 (B)接近各用電設備處(C)主幹線匯流排上 (D)受電設備幹線上。
62. 下列哪些是變壓器作極性試驗的目的? (A)三相連接 (B)耐壓試驗 (C)試驗用變壓器串聯運用 (D)並聯運轉。
63. 花線得使用於下列哪些場所? (A)照明器具內之配線 (B)吊線盒配線 (C)永久性分路配線 (D)移動式電燈之配線。
64. 電動機有載運轉時,下列哪些是保險絲燒斷之可能原因? (A)欠相 (B)滿載使用過久 (C)電壓降低(D)短路。
65. 下列哪些為屋內配線設計圖之電燈、插座類設計圖符號? (A)(B)(C)(D) 。
66. 下列哪些項目是可程式控制器可以處理之信號控制資料型態? (A)AO:Analog Output (B)DI:Digital Input (C)AI:Analog Input (D)DO:Digital Output。
67. 用戶之電力系統中,下列哪些為故障電流之來源? (A)電熱器 (B)電動機 (C)發電機 (D)供電系統。
68. 下列哪些情事,地方主管機關可廢止承裝業之登記? (A)有竊電行為或與他人共同竊電,經法院判決有罪確定 (B)五年內受主管機關通知限期改善三次 (C)以登記執照借與他人使用 (D)未經核准擅自施工因而有發生危險之虞。
69. 下列哪些項目不宜使用在發散腐蝕性物質的場所? (A)吊線盒 (B)矮腳燈頭 (C)花線 (D)密封防腐蝕之燈頭。
70. PVC 管配線(導線絕緣物溫度 60℃)安培容量表之導線數選用,不包括下列哪些導線? (A)非接地導線 (B)控制線 (C)接地線 (D)訊號線。
71. 特別低壓設施在易受外物損傷之處設施線路時,應按下列哪些裝置法施工? (A)磁夾板 (B)磁珠(C)導線管 (D)木槽板。
72. 有關單相電動機,下列敘述哪些正確? (A)電容起動式之起動電流最小 (B)推斥式起動轉矩最大(C)分相式之起動電流最大 (D)蔽極式效率最佳。
73. 下列哪些項目,斷路器應有耐久而明顯之標示? (A)額定電壓 (B)廠家名稱或其代號 (C)額定啟斷電流 (D)額定電流。
74. 電阻為 330Ω 之電熱器,接於 110V 電源上,浸入 600g20℃之水中,盛水容器每秒散熱 0.8cal,需加熱多久才能使水之溫度上升至 100℃? (A)6000 秒 (B)3288 秒 (C)100 分 (D)54.8 分。
75. 在交流電路中負載平均功率及電壓相同下,當功率因數 P F ( c o s θ ) 愈高時,下列敘述哪些 正確? (A)降低線路損失 (B)減少電費支出 (C)增加線路壓降 (D)增加線路電流。
76. 個別被覆或絕緣之接地線,其外觀應為下列哪些顏色以資識別? (A)灰色 (B)綠色加一條以上之黃色條紋者 (C)白色 (D)綠色。
77. 有關 EMT 導線管裝設,下列敘述哪些正確? (A)屬於薄導線管 (B)不得配裝於超過 600 伏之配管 工程 (C)屬於厚導線管 (D)得配裝於超過 600 伏之配管工程。
78. 感應電動機負載增加時 (A)運轉電流增大 (B)轉矩減小 (C)轉差率增大 (D)轉速增加。
79. 下列哪些是引起過電壓的原因? (A)雷擊 (B)電流在其波形未達零點時的強制切斷 (C)短路故障 (D)接地故障時中性點的移位。
80. 在目前的節能設備中,變頻器(Inverter)為最直接之節能控制方法之一,下列哪些是其應用案例? (A)家電電熱器 (B)空調冷卻風扇 (C)抽排煙機 (D)家電洗衣機。