阿摩線上測驗
登入
首頁
>
技檢◆測量-工程測量-乙級
> 114年 - 04202 測量─工程測量 乙級 工作項目 05:應用測量 1-50(2025/10/28 更新)#132664
114年 - 04202 測量─工程測量 乙級 工作項目 05:應用測量 1-50(2025/10/28 更新)#132664
科目:
技檢◆測量-工程測量-乙級 |
年份:
114年 |
選擇題數:
50 |
申論題數:
0
試卷資訊
所屬科目:
技檢◆測量-工程測量-乙級
選擇題 (50)
1. 使用二次縱轉法取平均以延長直線,其目的在消除 (A)視準軸不垂直於橫軸 (B)垂直軸不水平 (C)水準管軸不水平 (D)度盤傾斜誤差 。
2. 設隧道兩端 A、B 之坐標為(
=123.11,
=246.32),(
=112.11,
=257.32),E 表橫坐標,N 表縱坐標,則 AB 之方位角為 (A)45° (B)135° (C)225° (D)315° 。
3. 設隧道兩端 A、B 之坐標為(
=123.11,
=246.32),(
=112.11,
=257.32),E 表橫坐標,N 表縱坐標,其標高分別為 82.45m 及78.35m,則此隧道之實際長度為 (A)16.09m (B)15.03m (C)15.56m (D)15.96m 。
4. 某三角形三邊長分別為 15m、20m、25m,則面積為 (A)150m
2
(B)160m
2
(C)170m
2
(D)180m
2
。
5. 某一橋樑工程,橋面之高程大約為 1564m,為了施工放樣所做之控制測量,所有測距工作之長度均應化算至 (A)平均海水面 (B)平均海水面及投影面 (C)投影面 (D)高程為 1564m 之水準面 。
6. 安裝機器之控制測量,距離通常在 30m 以內,測距精度要求較高,應採用下列何者為宜? (A)精密鋼卷尺量距 (B)電子測距儀測距 (C)皮卷尺量距 (D)視距法測距 。
7. 於一縱軸上等距離(d=5m)測定曲線各支距分為 h1=3.2,h2=10.4,h3=12.8,h4=11.2,h5=4.4(單位均為 m),試問以辛浦生法(Simpson'srule)求得縱軸與曲線所圍面積為 (A)199m
2
(B)239m
2
(C)269m
2
(D)299m
2
。
8. 於地面上設置點位,測量相鄰二點間之距離,並測量相鄰二邊間之角度,以定點位的方法為 (A)導線測量 (B)三角測量 (C)三邊測量 (D)路線測量 。
9. 一單曲線之交角(外偏角)為 20°36'00",半徑為 500m,則該曲線上弧長20m 之偏角為 (A)2°51'53" (B)2°17'30".6 (C)1°08'45".3 (D)0°04'22".7 。
10. 一單曲線之交角(外偏角)為 20°36'00",於曲線起點(B.C.)以偏角法測設曲線中點(M.C.),曲線中點(M.C.)之總偏角應為 (A)20°36'00" (B)10°18'00" (C)5°09'00" (D)2°34'30" 。
11. +0.7%上坡與-0.5%下坡之對稱豎曲線相交於 2k+000 樁號,該豎曲線之坡度變率為 0.1%;則其曲線長為 (A)240m (B)400m (C)120m (D)200m 。
12. 下列所舉出各項水平板樁之用途,何者錯誤? (A)標示房屋柱腳之位置(B)作為決定房屋角隅點之依據 (C)作為高程之基準 (D)作為施工時之安全措施 。
13. 單曲線之交角(外偏角)I=90°,半徑 R=100m,則切線長 T 為 (A)50m (B)57.74m (C)75m (D)100m 。
14. 已知單曲線之半徑為 50m,當外偏角為 60°時,曲線起點至終點之弦長為 (A)50m (B)86.6m (C)100m (D)75m 。
15. 單曲線之起點為 A,終點為 B,切線交點為 V,設 AV 之方位角為 30°,半徑為 100m,A 點之坐標為(E=100,N=500),則此單曲線圓心之(E,N)坐標為 (A)(186.6,450.0) (B)(86.6,-50.0) (C)(150.0,413.4) (D)(50.0,586.6) 。
16. 半徑為 300m 之單曲線,切線交角(外偏角)為 60°,若交點(IP)之樁號為5k+633.4 時,則曲線起點之樁號為 (A)5k+460.2 (B)5k+806.6 (C)5k+483.4(D)5k+783.4 。
17. 半徑為 300m 之單曲線,切線交角(外偏角)為 60°,則曲線全長為 (A)157.08m (B)314.16m (C)628.32m (D)1256.64m 。
18. 一般建築測量多用下列何種測距法? (A)視距法 (B)卷尺測距法 (C)精密基線測距法 (D)雙高法 。
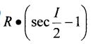
19. 單曲線之交角(外偏角)為 I,外距 E 之計算公式為 (A)
(B)
(C)
(D)
。
20. 已知一單曲線之 IP 樁號為 2k+860.395;切線長 T=114.529m;曲線長L=225.174m,則該曲線終點之樁號為 (A)2k+745.866 (B)2k+858.453 (C)2k+971.040 (D)2k+974.924 。
21. 一單曲線之半徑 R=100m,則該曲線 20m 弧長與其所對弦長之差為 (A)0.033m (B)0.048m (C)0.054m (D)0.062m 。
22. 複曲線之曲率半徑最少有 (A)一個 (B)二個 (C)三個 (D)四個 。
23. 測定建物平面位置時,不必使用之儀器為 (A)平板儀 (B)經緯儀 (C)鋼卷尺(D)水準儀 。
24. 設 V=行車速度,R=曲線半徑;g=重力加速度,G=路寬,若不考慮路面摩擦係數時,則道路外超高為 (A)
(B)
(C)
(D)
。
25. 在下列何種情況下,採用平均斷面積法計算土方之精度最高? (A)兩斷面間之距離大 (B)兩斷面間之距離小 (C)兩斷面之面積相差甚大 (D)兩斷面之面積大致相等 。
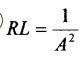
26. 設克羅梭曲線上任一點之曲率半徑 R,其至曲線起點之弧長 L,克羅梭曲線參數以 A 表之,則 R、L、A 三者有下列何種? (A)RL=A (B)RL=1/A (C)RL=A2 (D)
。
27. 測設水平標樁需用下列何種儀器? (A)水準儀 (B)平板儀 (C)光波測距儀(D)羅盤儀 。
28. 測設河中之橋墩位置,一般應用之儀器為 (A)水準儀 (B)經緯儀 (C)平板儀(D)六分儀 。
29. 依照指定建築線測定房屋位置時,所用之儀器是 (A)羅盤儀 (B)水準儀 (C)經緯儀 (D)六分儀 。
30. 為了考量有檢核條件,於應用交會法釘定橋墩位置時,至少應採用多少條方向線交會之? (A)2 (B)3 (C)4 (D)5 。
31. 一單曲線之交角(外偏角)為 15°30'30",半徑為 600m,則該單曲線之切線長為 (A)81.70m (B)81.20m (C)162.40m (D)163.40m 。
32. 一單曲線之 BC 樁號為 1K+125.66,曲度為 2°00'00",則樁號 1K+180之總偏角為 (A)1°00'00" (B)1°43'03" (C)2°43'01" (D)3°23'06" 。
33. 水平標樁釘定之位置,一般距離角隅樁 (A)0.5m 以內 (B)0.5 至 2m (C)2m以上 (D)與角隅樁重合 。
34. 用以標定中心線位置最方便又準確之儀器為 (A)經緯儀 (B)平板儀 (C)水準儀 (D)直角稜鏡 。
35. 緩和曲線與直線相接處,其半徑應是 (A)與後接單曲線之半徑相同 (B)無限大 (C)隨緩和曲線長度而定 (D)隨緩和曲線之線形而定 。
36. 在何種情況下,採用平均斷面積法計算土方之精度最差? (A)兩斷面間之距離大 (B)兩斷面間之距離小 (C)兩斷面之面積相差甚大 (D)兩斷面之面積大致相等 。
37. 一待挖水溝兩端 AB 之高程分別為 100.48m 及 98.28m,C 為 AB 直線上之中點,C 高程為 99.68m,今欲以 AB 二點高程為基準,挖築一等坡之排水溝,則 C 點應填挖之高度為 (A)挖 0.3m (B)填 0.3m (C)挖 2.2m (D)填 2.2m 。
38. 若 G1=0.5%之上坡與 G2=-0.7%之下坡相交,需設置豎曲線,設容許最大坡度變率為 r=0.1%,豎曲線之長度以樁數計是 (A)6 (B)12 (C)18 (D)24 。
39. 設一豎曲線之起點位於整樁位上,其坡度為 G1,曲線之坡度變率為 r,則距起點第一整樁號處之坡度為 (A)G1+r/2 (B)G1+r (C)G1-r/2 (D)G1-r 。
40. 若一豎曲線之坡度 G1=+2.2%,G2=-4.2%,乃一凸形豎曲線,長為80m,若兩坡度線交點之高程為 120m,則此曲線中點之高程 (A)119.64m (B)119.36m (C)120.36m (D)120.64m 。
41. 隧道工程測量時,水準標點常設置在隧道頂部,今若在隧道內設置水準儀,後視倒尺於 A 點,A 點之高程為 126.640m,其讀數為-1.200m,再前視立於 B 點之水準標尺,得讀數為 1.000m,則 B 點之高程為 (A)124.840m (B)124.740m (C)124.540m (D)124.440m 。
42. 一隧道入口處,A 點之高程為 120.00m,隧道內 A 點至 B 點之水平距離為 600m,若此隧道之坡度為+0.2%,則 B 點之高程為 (A)120.20m (B)120.60m (C)121.20m (D)132.00m 。
43. 一單曲線之半徑為 500m,交角(外偏角)為 20°36'00",又若曲線中點(M.C.)之樁號為 0K+312.47,則曲線起點(B.C.)之樁號為 (A)0K+222.585(B)0K+492.239 (C)0K+402.354 (D)0K+132.701 。
44. 一單曲線之交角(外偏角)為 20°36'00",半徑為 500m,則其外距為 (A)7.932m (B)8.189m (C)8.463m (D)9.189m 。
45. 一單曲線之交角(外偏角)為 20°36'00",如其切線長為 80.16m,則其半徑為 (A)432.29m (B)437.80m (C)441.09m (D)462.40m 。
46. 一單曲線之曲度為 D,半徑為 R,曲線起點(B.C.)恰為整樁。如用切線支距法測設,則距曲線起點(B.C.)第一整樁點之支距為 (A)
(B)
(C)
(D)
。
47. 路面 A 點之設計高程為 110.00m,水準點之高程為 112.00m,用一水準儀測得立於水準點之標尺讀數為 0.60m,A 點上之標尺讀數為 1.52m,則 A 點之填挖數為 (A)挖 2.08m (B)填 2.08m (C)挖 1.08m (D)填 1.08m 。
48. 單曲線 EC 樁號計算公式為 (A)BC 樁號+弦長 (B)BC 樁號+曲線長 (C)IP樁號+切線長 (D)MC 樁號+切線長 。
49. 一溝渠中心線縱斷面測量結果如下:已知溝渠設計坡度為-4%,樁號 0+000 之設計高程為 44.25m,則樁號 0+100 應填(-)或應挖(+)之深度為
(A)+2.53m (B)-2.53m (C)+2.28m (D)-2.28m 。
50. 緩和曲線與直線之連接點,其曲率應為 (A)零 (B)無限大 (C)隨緩和曲線長度而定 (D)隨緩和曲線之線形而定 。
申論題 (0)
相關試卷
114年 - 04202 測量─工程測量 乙級 工作項目 06:儀器檢校 1-57(2025/10/28 更新)#132667
114年 · #132667
114年 - 04202 測量─工程測量 乙級 工作項目 05:應用測量 101-143(2025/10/28 更新)#132666
114年 · #132666
114年 - 04202 測量─工程測量 乙級 工作項目 05:應用測量 51-100(2025/10/28 更新)#132665
114年 · #132665
114年 - 04202 測量─工程測量 乙級 工作項目 04:地形測量 51-101(2025/10/28 更新)#132663
114年 · #132663
114年 - 04202 測量─工程測量 乙級 工作項目 04:地形測量 1-50(2025/10/28 更新)#132662
114年 · #132662
114年 - 04202 測量─工程測量 乙級 工作項目 03:控制測量 151-202(2025/10/28 更新)#132661
114年 · #132661
114年 - 04202 測量─工程測量 乙級 工作項目 03:控制測量 101-150(2025/10/28 更新)#132660
114年 · #132660
114年 - 04202 測量─工程測量 乙級 工作項目 03:控制測量 51-100(2025/10/28 更新)#132659
114年 · #132659
114年 - 04202 測量─工程測量 乙級 工作項目 03:控制測量 1-50(2025/10/28 更新)#132658
114年 · #132658
114年 - 04202 測量─工程測量 乙級 工作項目 02:基本測量方法 101-146(2025/10/28 更新)#132657
114年 · #132657