阿摩線上測驗
登入
首頁
>
技檢◆測量-地籍測量-乙級
> 114年 - 04203 測量─地籍測量 乙級 工作項目 05:計算面積 1-51(2025/10/28 更新)#132693
114年 - 04203 測量─地籍測量 乙級 工作項目 05:計算面積 1-51(2025/10/28 更新)#132693
科目:
技檢◆測量-地籍測量-乙級 |
年份:
114年 |
選擇題數:
51 |
申論題數:
0
試卷資訊
所屬科目:
技檢◆測量-地籍測量-乙級
選擇題 (51)
1. 下列何者是同尺制間之單位換算? (A)平方公尺化算為「公畝」 (B)平方公尺化算為「坪」 (C)平方公尺化為「甲」 (D)平方公尺化算「市畝」 。
2. 1 坪等於多少平方公尺? (A)
(B)
(C)
(D)
。
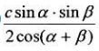
3. 已知三角形的兩個角∠α,∠β及其夾邊 c,求其面積 A,A 的公式為A= (A)
(B)
(C)
(D)
。
4. 將面積等分為偶數長條,則總面積為始終兩縱距與偶數縱距之四倍及其餘奇數縱距兩倍之總和乘以各縱距間橫距之三分之一,此法稱為 (A)平均縱距計算面積法 (B)辛普森求積法 (C)倍經距法 (D)倍緯距法 。
5. 某宗地經測量後,得其界址點橫縱坐標
,
,
,
,則其面積為多少平方公尺? (A)4.52 (B)45.2 (C)452 (D)4520 。
6. 建物面積應以實量邊長距離計算之,其單位為 (A)公畝 (B)公頃 (C)坪 (D)平方公尺 。
7. 在五百分一地籍圖上量測一塊土地面積,得其圖上面積為 1 平方公分,則其實地面積應為多少平方公尺? (A)0.25 (B)2.5 (C)25 (D)250 。
8. 一幅一千分之一地籍原圖所涵蓋面積,等於多少幅五百分之一地籍原圖所涵蓋面積? (A)2 (B)3 (C)4 (D)5 。
9. 於舊地籍圖上量測一塊土地,得其面積為 2.9550 公頃,惟因圖紙受潮,橫向縮短 1%,縱向縮短 0.5%,則其正確面積應為多少公頃? (A)2.98(B)2.99 (C)3 (D)3.1 。
10. 數值法地籍測量計算面積,係採用 (A)圖上量距法 (B)界址點坐標法 (C)求積儀法 (D)實量邊長法 。
11. ABC 三角形土地自 A 頂點做 BC 邊之垂距長 20 公尺,P 為 BC 邊上之分割點,設分割出△ABP 之面積為 100 平方公尺,則 BP 之長應為 (A)10 公尺 (B)15 公尺 (C)20 公尺 (D)25 公尺 。
12. 應用梯形公式,計算一彎曲之地界與一直線間之面積,已知相隔 5 公尺之諸支距各為 h
1
=3.2 公尺,h
2
=10.4 公尺,h
3
=12.8 公尺,h
4
=11.2 公尺,h
5
=4.4 公尺,則所求之面積為多少平方公尺? (A)191 (B)193 (C)182(D)195 。
13. 設兩街道中線之交角為 90 度,截角底邊長為 4 公尺,則計算街廓面積時,該街角扣除(截角)面積應為 (A)2 平方公尺 (B)4 平方公尺 (C)6 平方公尺 (D)8 平方公尺 。
14. 一宗土地分割為數宗土地,則分割後各宗土地面積之總和與原面積之差數,須在
值內者,始可依比例配賦,此一公式適用於何類地籍圖?(F 為面積,以平方公尺為單位) (A)1/500 (B)1/1000 (C)1/600 (D)1/1200 。
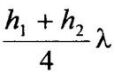
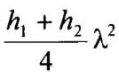
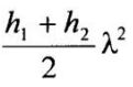
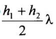
15. 已知不平行四邊形之一對角線λ,及對角線所分成之兩三角形高線 h
1
,h
2
,求其面積 A,A 等於 (A)
(B)
(C)
(D)
。
16. 宗地之面積,以下列何者為單位? (A)平方公尺 (B)公頃 (C)畝 (D)公畝 。
17. 土地分割後,以坐標讀取儀計算面積時,其面積差不得大於(M 為圖比例尺之分母,F 為以平方公尺為單位所計算之面積) (A)0.3M√F (B)0.03M √F(C)0.003M √F(D)0.0003M √F。
18. 下列何項不是電子求積儀主要構成部分? (A)滾軸 (B)操作鍵盤 (C)極臂 (D)描繪把手 。
19. 以三斜法計算面積時,在圖上量距應量至 (A)0.1 ㎜ (B)0.2 ㎜ (C)0.01 ㎜ (D)0.02 ㎜ 。
20. 重測公告期間,土地所有權人因面積增減提出異議時,應依土地法第幾條規定辦理? (A)第 46 條 (B)第 46 條之一 (C)第 46 條之二 (D)第 46 條之三 。
21. 下列何項不屬於從圖上用比例尺量讀所產生的誤差? (A)照準誤差 (B)視覺誤差 (C)圖紙伸縮誤差 (D)尺刻劃誤差 。
22. 用測尺丈量距離,若有千分之一以下的誤差,則其面積不免有多少誤差? (A)三千分之一 (B)二千分之一 (C)一千分之一 (D)五百分之一 。
23. 一宗土地,以其周邊及對角分成諸三角形,量其三邊以求面積者,稱為(A)三斜法 (B)三線法 (C)光線法 (D)支距法 。
24. 已知 FA=6.929m、FB=13.371m、FC=15.760m、FD=17.003m、FE=11.325m,∠AFB=34°35'22"、∠BFC=34°52'31"、∠CFD= 24°40'56"、∠DFE=25°21'53",則多邊形 ABCDEF 面積等於多少平方公尺?(A)183.74 (B)204.86 (C)104.97 (D)85.65 。
25. 長 100m,寬 40m 的面積,約等於 (A)1210 坪 (B)2420 坪 (C)12100 坪 (D)24200 坪 。
26. 房屋建築面積一般多以坪為計價單位,試問一坪等於多少? (A)18 平方呎(B)3.6 平方台尺 (C)3.305 平方公尺 (D)3.344 平方公尺 。
27. 都市地區地價較高之土地,每一號地之面積得計算到 (A)平方公尺 (B)平方公尺以下一位 (C)平方公尺下以兩位 (D)平方公尺以下三位 。
28. 於就地籍圖上量算一塊地,得其面積為 408.0 公頃,為因圖紙受潮橫向伸長 1.5%,縱向伸長 0.5%,則其正確面積應為多少公頃? (A)398 (B)400 (C)403 (D)404 。
29. 一筆土地登記面積為 0.1600 公頃,分割為二筆後實測面積各為 0.1300及 0.0295 公頃,則較大一筆經改正後之面積應為 (A)0.1305 公頃 (B)0.1304 公頃 (C)0.1303 公頃 (D)0.1302 公頃 。
30. 都市地區之宗地面積以何為單位? (A)公畝 (B)平方公尺 (C)坪 (D)公頃 。
31. 四邊形 ABCD,各點坐標以公尺為單位,其值為 A(2.0,4.0)、B(5.0,7.0)、C(9.0,1.0) 、D(1.0,1.0),則四邊形 ABCD 面積為 (A)23.5 平方公尺 (B)25.4 平方公尺 (C)27.0 平方公尺 (D)29.3 平方公尺 。
32. 三角形 ABC,各點坐標以公尺為單位,其值為 A(100,100)、B(168,200)、C(134,72),則三角形 ABC 面積為 (A)663 平方公尺 (B)1326平方公尺 (C)2652 平方公尺 (D)5304 平方公尺 。
33. 三角形土地三邊各為 10.2 公尺、8.6 公尺、7.4 公尺,則該宗地之面積為何? (A)30.2 平方公尺 (B)31.2 平方公尺 (C)32.2 平方公尺 (D)33.2 平方公尺 。
34. 下列測量哪些須顧及地球曲率者為 (A)平面測量 (B)大地測量 (C)戶地測量(D)道路中心樁測量 。
複選題
35. 下列哪些屬於坐標計算面積方法? (A)縱橫坐標法 (B)倍經距法 (C)求積儀法 (D)倍緯距法 。
複選題
36. 下列哪些超過平面測量測區範圍大小? (A)96km
2
(B)196km
2
(C)296km
2
(D)396km
2
。
複選題
37. 長 100 公尺,寬 80 公尺的面積約為若干? (A)8000 平方公尺 (B)2450 坪(C)0.08 公頃 (D)2420 坪 。
複選題
38. 室內面積 100 平方公尺相當於多少? (A)3.02 坪 (B)0.01 公頃 (C)30.25 坪 (D)0.10 公頃 。
複選題
39. 下列土地面積之換算哪些為正確? (A)一公頃等於 10000 平方公尺 (B)一公畝等於 100 平方公尺 (C)一公頃等於 2934 坪 (D)一甲等於 0.9699 公頃 。
複選題
40. 1 公頃等於多少? (A)30.25 坪 (B)3025 坪 (C)10000 平方公尺 (D)1000 平方公尺 。
複選題
41. 在 1/500 比例尺地圖上兩點長度為 10 公分,則相應實地距離為 (A)0.05公里 (B)0.5 公里 (C)50 公尺 (D)500 公尺 。
複選題
42. 三角三邊測量是測量三角形的 (A)三個內角 (B)三邊之方位角 (C)三邊之邊長 (D)三邊之天頂距 。
複選題
43. 圖根測量採用之電子測距(EDM),下列哪些可符合其測距精度要求? (A)2mm+5ppm (B)5mm+2ppm (C)3mm+5ppm (D)5mm+5ppm 。
複選題
44. 圖解法戶地測量可使用下列哪些方法施測? (A)光線法 (B)交會法 (C)半導線法 (D)支距法 。
複選題
45. 今有矩形面積之土地,其長邊及中誤差為 210.85±0.15 公尺,另一短邊及中誤差為 140.00±0.10 公尺,下列哪些非該面積之中誤差? (A)±29.519平方公尺 (B)±27.58 平方公尺 (C)±29.76 平方公尺 (D)±30.25 平方公尺 。
複選題
46. 一千二百分之一地籍圖上,P、Q 二點圖上長為 4.04 公分,實量長度為48 公尺,辦理分割時量得 PA 之長為 12 公尺,應畫於圖上之長為 (A)1.21 公分 (B)1.01 公分 (C)10.1 公厘 (D)12.1 公厘 。
複選題
47. 實量邊長 20 公尺時,於比例尺 1/500 地籍圖上之邊長為 (A)40 公分 (B)4公分 (C)0.4 公尺 (D)0.04 公尺 。
複選題
48. 有關獨立建物之平面圖邊界認定,下列敘述哪些錯誤? (A)以牆之中心為界 (B)以牆之內緣為界 (C)以牆之外緣為界 (D)由測量人員認定 。
複選題
49. 已知五萬分之一地圖上兩點的距離為 12 公分,求實地距離為若干? (A)6公里 (B)6000 公尺 (C)60000 公分 (D)6000 公分 。
複選題
50. 已知實地距離為 8 公里,求在五萬分之一地圖上距離為多少? (A)16 公分(B)0.16 公尺 (C)160 公厘 (D)0.16 公里 。
複選題
51. 圖根測量之平差計算,縱橫坐標不應計算至何單位為止? (A)公尺 (B)公寸 (C)公分 (D)公釐 。
申論題 (0)
相關試卷
114年 - 04203 測量─地籍測量 乙級 工作項目 07:土地複丈與建物測量 101-145(2025/10/28 更新)#132697
114年 · #132697
114年 - 04203 測量─地籍測量 乙級 工作項目 07:土地複丈與建物測量 51-100(2025/10/28 更新)#132696
114年 · #132696
114年 - 04203 測量─地籍測量 乙級 工作項目 07:土地複丈與建物測量 1-50(2025/10/28 更新)#132695
114年 · #132695
114年 - 04203 測量─地籍測量 乙級 工作項目 06:製圖 1-51(2025/10/28 更新)#132694
114年 · #132694
114年 - 04203 測量─地籍測量 乙級 工作項目 04:戶地測量 151-198(2025/10/28 更新)#132692
114年 · #132692
114年 - 04203 測量─地籍測量 乙級 工作項目 04:戶地測量 101-150(2025/10/28 更新)#132691
114年 · #132691
114年 - 04203 測量─地籍測量 乙級 工作項目 04:戶地測量 51-100(2025/10/28 更新)#132690
114年 · #132690
114年 - 04203 測量─地籍測量 乙級 工作項目 04:戶地測量 1-50(2025/10/28 更新)#132689
114年 · #132689
114年 - 04203 測量─地籍測量 乙級 工作項目 03:圖根測量 51-87(2025/10/28 更新)#132688
114年 · #132688
114年 - 04203 測量─地籍測量 乙級 工作項目 03:圖根測量 1-50(2025/10/28 更新)#132687
114年 · #132687