阿摩線上測驗
登入
首頁
>
技檢◆測量-地籍測量-乙級
> 114年 - 04203 測量─地籍測量 乙級 工作項目 07:土地複丈與建物測量 101-145(2025/10/28 更新)#132697
114年 - 04203 測量─地籍測量 乙級 工作項目 07:土地複丈與建物測量 101-145(2025/10/28 更新)#132697
科目:
技檢◆測量-地籍測量-乙級 |
年份:
114年 |
選擇題數:
45 |
申論題數:
0
試卷資訊
所屬科目:
技檢◆測量-地籍測量-乙級
選擇題 (45)
101. 下列何項資料不是建物測量成果圖所包含之內容? (A)建物位置圖 (B)建物面積計算式 (C)竣工圖編號 (D)建物門牌號碼 。
102. 地政事務所法定保存建物竣工平面圖之年限為多少年? (A)5 年 (B)10 年(C)15 年 (D)永久保存 。
103. 現行申請建物平面圖或建物測量成果圖影印本時,每張收費標準為新台幣多少元? (A)10 (B)15 (C)20 (D)40 。
104. 現行建物平面圖轉繪費時,每建號之收費標準為新台幣多少元? (A)100(B)200 (C)400 (D)800 。
105. 未登記建物,因納稅需要申請勘測時,每單位位置測量費收費標準為新台幣多少元? (A)2000 (B)4000 (C)8000 (D)不得申請 。
106. 圖解法地籍圖數值化成果辦理土地複丈時,其作業方式及精度,依何種規定辦理? (A)圖解法之規定為之 (B)數值法之規定為之 (C)國土測繪法規定為之 (D)地籍重測作業規定為之 。
107. 以圖解法地籍圖數值化成果辦理土地複丈檢測界址點時,圖根點至界址點之圖上位置誤差,不得超過多少公厘? (A)0.2 (B)0.3 (C)0.4 (D)0.5 。
108. 以圖解法地籍圖數值化成果辦理土地複丈檢測界址點時,圖上邊長與實量邊長之差,在農地不得超過多少?(S 係邊長,以公尺為單位,M 係地籍圖比例尺之分母) (A)4 公分+1 公分
+0.02 公分 M (B)8 公分+2 公分
+0.02 公分 M (C)13 公分+4 公分
+0.02 公分 M (D)20 公分+6 公分
+0.02 公分 M 。
複選題
109. 下列哪些土地複丈須辦理地籍調查? (A)土地分割 (B)界址鑑定 (C)自然增加 (D)土地浮覆 。
複選題
110. 地政事務所受理複丈案件,經審查後,下列哪些屬駁回之範疇? (A)不屬受理地政事務所管轄者 (B)依法不受理者 (C)逾期未補正者 (D)未依規定繳納土地複丈費者 。
複選題
111. 土地有下列哪些情形,得申請土地複丈? (A)因主張時效完成,申請時效取得農育權或不動產役權者 (B)宗地之部分需設定典權者 (C)因土地需鑑界者 (D)依建築法第 43 條或第 44 條第 1 項規定調整地形 。
複選題
112. 下列哪些人得申請土地複丈? (A)因宗地之部分擬設定地上權、農育權、不動產役權或典權者,由土地所有權人或管理人申請 (B)地上權之分割者,由地上權人會同土地所有權人或管理人申請 (C)因建造行為需要鑑界者,得由建造執照起造人會同土地所有權人或管理人申請 (D)依法令規定得由地政機關逕為測量者 。
複選題
113. 登記機關需包含準備下列哪些文件,據以辦理複丈? (A)土地複丈地籍調查表 (B)土地面積計算表 (C)土地複丈圖 (D)他項權利位置圖 。
複選題
114. 未依規定繳納土地複丈費者,申請人於接到通知書之日起多久期限內均可補正? (A)10 日 (B)15 日 (C)20 日 (D)30 日 。
複選題
115. 土地複丈時,有下列哪些情形者應辦理地籍調查? (A)因自然增加者 (B)因浮覆、坍沒者 (C)因申請農育權者 (D)因主張時效取得所有權而複丈者 。
複選題
116. 土地複丈調查表若申請人未於當場簽名或蓋章時,應如何處理? (A)案件作廢 (B)得請申請人於三日內至登記機關補簽名或蓋章 (C)逾期未簽名或蓋章者,應載明事由,不發給之土地複丈成果圖並加註僅供參考,其所附土地登記申請書件予以退還 (D)逾期未簽名或蓋章者,應載明事由,發給之土地複丈成果圖並加註僅供參考,其所附土地登記申請書件予以退還 。
複選題
117. 下列哪些類型之土地複丈,免納土地複丈費? (A)調整地形者 (B)合併土地者 (C)各級法院行使國家刑罰權囑託辦理者 (D)檢察機關行使國家刑罰權囑託辦理者 。
複選題
118. 辦理土地鑑界作業,下列敘述哪些正確? (A)複丈人員實地測定所需鑑定之界址點位置後,應自行埋設界標 (B)申請人對於鑑界結果有異議者,應向司法機關訴請再鑑界 (C)鑑界、再鑑界測定之界址點應由申請人及到場之關係人當場認定,並在土地複丈圖上簽名或蓋章 (D)申請人對於鑑界結果有異議時,得再填具土地複丈申請書敘明理由,向登記機關繳納土地複丈費申請再鑑界 。
複選題
119. 土地因合併申請複丈時,土地之所有權人不同或設定有抵押權、典權、耕作權等他項權利者,應依下列何規定檢附相關文件? (A)所有權人不同時,應檢附全體 2/3 所有權人之協議書 (B)設定有抵押權時,應檢附土地所有權人與抵押權人之協議書 (C)設定有典權或耕作權時,應檢附該他項權利人之同意書 (D)所有權人不同時,應檢附全體所有權人之協議書 。
複選題
120. 地上權、農育權、不動產役權或典權之平面位置測繪,應如何辦理?(A)同一他項權利人在數宗土地之一部分設定同一性質之他項權利者,應儘量測繪在同一幅土地複丈圖內 (B)一宗土地同時申請設定二以上同一性質之他項權利者,應在同一幅土地複丈圖內分別測繪他項權利位置(C)因地上權分割申請複丈者,應於登記完畢後,在原土地複丈圖上註明地上權範圍變更登記日期及權利登記先後次序 (D)他項權利位置圖,用黑色實線繪製他項權利位置界線,並用紅色實線繪明土地經界線 。
複選題
121. 土地複丈後之地號,應如何編定? (A)原地號分割時,除將其中一宗維持原地號外,其他各宗以分號順序編列之 (B)原地號之數宗分號土地合併時,應保留面積較大土地之分號 (C)數宗原地號土地合併為一宗時,應保留面積最大之原地號 (D)原地號土地與他原地號之分號土地合併時,應保留原地號 。
複選題
122. 登記機關對土地複丈圖、地籍圖之核對,下列敘述哪些錯誤? (A)應每年與土地登記簿按地號核對一次 (B)應每二年與土地登記簿按地號核對一次 (C)應每三年與土地登記簿按地號核對一次 (D)應每五年與土地登記簿按地號核對一次 。
複選題
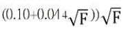
123. 採圖解法複丈者,分割土地面積總和如有差數,經將圖紙伸縮成數除去後,其增減在下列公式計算值以下者,應按各地號土地面積比例配賦應如何辦理?(F 為土地面積,以平方公尺為單位) (A)1/500 比例尺地籍圖:
(B)1/600 比例尺地籍圖:
(C)1/1,200 比例尺地籍圖:
(D)1/3,000 比例尺地籍圖:
。
複選題
124. 採圖解法複丈者,土地複丈圖應如何整理? (A)變更後之經界線用黑色標示之,並將其原經界線用紅色 x 線劃銷之 (B)變更後地號用黑色標示之,原地號用紅色雙線劃銷之 (C)合併後再分割者,其分割之經界線與前因合併而劃銷之經界線一致時,應於原經界線上紅色 x 線處加繪紅色=,以示將 x 線劃銷之 (D)變更後之經界線用紅色標示之,並將其原經界線用紅色 x 線劃銷之 。
複選題
125. 採圖解法複丈者,分割複丈後應如何訂正地籍圖? (A)應依土地複丈圖將地號以紅色雙線劃銷之 (B)以紅色移繪其新經界線 (C)以黑色註記其新地號 (D)不需要之部分經界線以紅色 X 線劃銷之 。
複選題
126. 採圖解法複丈者,分割複丈後一宗土地跨二幅以上地籍圖時,應如何訂正地籍圖? (A)面積較大部分之地號以紅色註記之 (B)面積較大部分之地號以黑色註記之 (C)面積較小部分之地號以紅色註記之 (D)面積較小部分之地號以黑色註記之 。
複選題
127. 複丈應以圖根點或界址點作為依據,並應先檢測圖根點及界址點,所測得點位間之距離與由坐標反算之距離,其差不得超過下列限制? (A)市地:0.005
+0.04 公尺 (B)市地:0.005
+0.05 公尺 (C)農地:0.010
+0.05 公尺 (D)農地:0.010
+0.08 公尺 。
複選題
128. 辦理數值法土地複丈時,界址點之水平角如何觀測? (A)用精於(含)二十秒讀經緯儀施測之 (B)其採方向觀測法者,應正倒鏡各觀測二次 (C)採複測法者應觀測二倍角 (D)水平角觀測手簿記至秒止 。
複選題
129. 依「地籍測量實施規則」之規定,辦理數值法土地複丈時,得採用下列哪些方法施測? (A)支距法 (B)交會法 (C)GPS 虛擬動態法 (D)GPS 即時動態法 。
【已刪除】
複選題
130. (本題刪題)辦理數值法複丈時,其面積如何計算? (A)宗地之面積,以公頃為單位,算至平方公尺為止,平方公尺以下四捨五入 (B)宗地之面積,以平方公尺為單位,平方公尺以下四捨五入 (C)於都市地區或其他地價較高之土地,得算至平方公尺以下二位,二位以下四捨五入 (D)於都市地區或其他地價較高之土地,以平方毫米為單位得算至以下二位,二位以下四捨五入 。
複選題
131. 土地複丈後,一宗土地分割為數宗土地,該分割後數宗土地面積之總和,應與原宗土地之面積相符,面積計算如有差數,應符合下列哪些規定? (A)採數值法土地複丈,應就原測量及計算作必要之檢核,經檢核無誤後,依分割面積之大小比例配賦之 (B)採圖解法土地複丈,1/500 比例尺地籍圖其增減在
,應按各地號土地面積比例配賦 (C)採圖解法土地複丈,經將圖紙伸縮成數除去後,1/1000 比例尺地籍圖其增減在
,應按各地號土地面積比例配賦 (D)採圖解法土地複丈,1/500 比例尺地籍圖其增減在
,應按各地號土地面積比例配賦 。
複選題
132. 數值法土地複丈之成果依法登記後,登記機關應修正下列哪些資料檔?(A)界址坐標檔 (B)控制點檔 (C)地號界址檔 (D)宗地資料檔 。
複選題
133. 下列哪些符合申請建物測量之條件? (A)依法令應請領使用執照之建物,無使用執照者 (B)實施建築管理前建造完成無使用執照之建物,具有門牌號碼 (C)具有繳交水電費證明者 (D)具有建物使用執照者 。
複選題
134. 登記機關受理建物測量申請案件且經審查准予測量,並排定測量日期,交付通知書予申請人後,下列何項為正確? (A)申請人於測量時,應到場會同辦理;屆時不到場者,視為放棄測量之申請,已繳建物測量費退還 (B)原定測量日期,因風雨或其他事故,致不能實施測量時,登記機關應另定測量日期通知申請人 (C)申請人可於測量前以書面向登記機關提出撤回建物測量之申請 (D)依排定時間到場,發現有障礙物致無法實施測量時,可由測量人員逕行排除後施測 。
複選題
135. 建物測量成果圖包含下列哪些項目資料? (A)建物位置圖 (B)建物平面圖(C)面積計算式 (D)使用執照號碼 。
複選題
136. 下列哪些項目符合「地籍測量實施規則」建物測量作業之規定? (A)建物位置圖,以地籍圖同一比例尺謄繪 (B)建物測量成果圖以段為單位,按建號順序每五十號或一百號裝訂一冊,並編列冊數 (C)竣工平面圖載有陽台、屋簷,以其外緣為界,並以主建物辦理測量 (D)測繪建物平面圖註明邊長,以公尺為單位,量至公分為止 。
複選題
137. 建物第一次測量可採用下列哪些作業方式完成? (A)依建築平面圖轉繪(B)實地測量 (C)依建物套繪圖轉繪 (D)依使用執照竣工平面圖轉繪 。
複選題
138. 區分所有建物之共有部分,應如何處理? (A)除法規另有規定外,按其設置目的之約定情形,分別合併,另編建號予以勘測 (B)按其使用性質之約定情形,分別獨立編定建號予以勘測 (C)建物共有部分之建物測量成果圖應註明共有部分各項目內容 (D)區分所有建物之地下層或屋頂突出物等,依主管建築機關備查之圖說標示為專有部分,並已由戶政機關編列門牌或核發其所在地址證明者,得單獨編列建號,予以測量 。
複選題
139. 在同一建築基地範圍內,下列哪些為特別建物? (A)學校 (B)名勝史蹟之建物 (C)公有公用之建物 (D)祠、廟、寺院或教堂 。
複選題
140. 建築改良物之建號如何編定? (A)一棟建物跨越二個以上登記機關轄區者,由該建物坐落較廣地段編其建號 (B)一棟建物跨越二個以上登記機關轄區者,由該建物門牌所在地之登記機關受理測量,編列建號 (C)在同一登記機關轄區內之一棟建物,位於二個以上地段者,任意選擇其一地段編其建號 (D)在同一登記機關轄區內之一棟建物,位於二個以上地段者,以其坐落較廣地段編其建號 。
複選題
141. 一三角形坵塊,坐標為 A(100,100)、B(150,100)、C(130,150),欲進行土地等分垂直分割,分割線 DE 垂直於 AB 邊,下列敘述哪些正確? (A)分割後土地面積為 1250 平方公尺 (B)分割垂足點 D 坐標為(127.64,100)(C)分割線高度為 55.9 公尺 (D)分割點邊長之長度比為 0.45 。
複選題
142. 一梯形土地上底長度 20 公尺,下底長度 40 公尺,高 20 公尺,若欲將此筆土地二等分,且分割線平行於底邊,下列敘述哪些正確? (A)分割後土地面積為 600 平方公尺 (B)分割線長度為 31.62 公尺 (C)分割線長度為 33.25 公尺 (D)分割點邊長之長度比為 0.42 。
複選題
143. 土地複丈費如何收取? (A)土地分割複丈費按分割後筆數計算,每單位以新臺幣 800 元計收 (B)土地界址鑑定費每單位以新臺幣 2000 元計收(C)調整地形複丈費每單位以新臺幣 800 元計收 (D)土地合併複丈費每單位以新臺幣 800 元計收 。
複選題
144. 土地複丈費如何收取? (A)土地他項權利位置之測量費每單位以新臺幣4000 元計收 (B)未登記土地測量費每單位以新臺幣 4000 元計收 (C)土地地目變更勘查費每單位以新臺幣 400 元計收 (D)地籍圖謄本採電腦列印以每張新臺幣 40 元計收 。
複選題
145. 土地與建物複丈時,所指之單位下列敘述哪些正確? (A)土地複丈以每筆每公頃為計收單位,不足一公頃者,以一公頃計 (B)土地複丈超過一公頃者,每增加半公頃增收半數,增加不足半公頃者,以半公頃計 (C)建物平面圖測量費以每建號每 100 平方公尺為計收單位,不足 100 平方公尺者,以 100 平方公尺計 (D)建物位置圖測量費以整棟建築改良物為一計費單位 。
申論題 (0)
相關試卷
114年 - 04203 測量─地籍測量 乙級 工作項目 07:土地複丈與建物測量 51-100(2025/10/28 更新)#132696
114年 · #132696
114年 - 04203 測量─地籍測量 乙級 工作項目 07:土地複丈與建物測量 1-50(2025/10/28 更新)#132695
114年 · #132695
114年 - 04203 測量─地籍測量 乙級 工作項目 06:製圖 1-51(2025/10/28 更新)#132694
114年 · #132694
114年 - 04203 測量─地籍測量 乙級 工作項目 05:計算面積 1-51(2025/10/28 更新)#132693
114年 · #132693
114年 - 04203 測量─地籍測量 乙級 工作項目 04:戶地測量 151-198(2025/10/28 更新)#132692
114年 · #132692
114年 - 04203 測量─地籍測量 乙級 工作項目 04:戶地測量 101-150(2025/10/28 更新)#132691
114年 · #132691
114年 - 04203 測量─地籍測量 乙級 工作項目 04:戶地測量 51-100(2025/10/28 更新)#132690
114年 · #132690
114年 - 04203 測量─地籍測量 乙級 工作項目 04:戶地測量 1-50(2025/10/28 更新)#132689
114年 · #132689
114年 - 04203 測量─地籍測量 乙級 工作項目 03:圖根測量 51-87(2025/10/28 更新)#132688
114年 · #132688
114年 - 04203 測量─地籍測量 乙級 工作項目 03:圖根測量 1-50(2025/10/28 更新)#132687
114年 · #132687