阿摩線上測驗
登入
首頁
>
技檢◆農業機械修護-乙級
> 114年 - 05200 農業機械修護 乙級 工作項目 01:農業機械之檢查、保養、調整 151-200(2025/10/29 更新)#132716
114年 - 05200 農業機械修護 乙級 工作項目 01:農業機械之檢查、保養、調整 151-200(2025/10/29 更新)#132716
科目:
技檢◆農業機械修護-乙級 |
年份:
114年 |
選擇題數:
50 |
申論題數:
0
試卷資訊
所屬科目:
技檢◆農業機械修護-乙級
選擇題 (50)
151. 水稻聯合收穫機之脫穀筒發生稻稈纏繞時,其可能原因之一為 (A)篩網阻塞 (B)切禾刀磨損 (C)脫穀筒轉速過慢 (D)脫穀筒轉速過快 。
152. 水稻聯合收穫機脫穀筒上的脫穀齒排列成 (A)直線型 (B)曲線型 (C)對稱型(D)螺旋型 。
153. 水稻聯合收穫機行走部採用履帶式的主要目的是 (A)防震 (B)防陷 (C)堅固(D)美觀 。
154. 水稻聯合收穫機排草鏈條常堵塞的原因為 (A)集草量過多 (B)集草量過少(C)鏈條轉速太快 (D)鏈條轉速太慢 。
155. 水稻聯合收穫機一號輸送螺旋與揚穀輸送螺旋,通常成 (A)90° (B)45° (C)180° (D)225° 。
156. 水稻聯合收穫機將乾淨穀粒輸送到出穀口的機構屬於 (A)箕斗式 (B)螺旋式 (C)帶式 (D)氣壓式 。
157. 水稻聯合收穫機脫穀筒之脫穀作業是藉何種作用來完成脫粒工作﹖ (A)碰撞 (B)滾輾 (C)夾拉 (D)打擊 。
158. 水稻聯合收穫機之乾淨穀粒是由哪一出口輸出的﹖ (A)1 號出口 (B)2 號出口 (C)3 號出口 (D)4 號出口 。
159. 水稻聯合收穫機割刀組,割刀比受刀 (A)多一片 (B)少一片 (C)多二片 (D)少二片 。
160. 水稻聯合收穫機轉向不良,應檢查 (A)脫穀部 (B)輸送部 (C)割取部 (D)行走部 。
161. 水稻聯合收穫機的轉向是靠 (A)方向盤 (B)差速器 (C)腳煞車 (D)轉向離合器兼煞車 。
162. 有關水稻聯合收穫機,下列何者應把排塵調節把手置於「少」之位置?(A)割取稻作乾燥時 (B)稻作潮濕時 (C)淨穀含有稻稈、草屑 (D)下雨天 。
163. 水稻聯合收穫機各齒輪箱所加之潤滑油為 (A)SAE10# (B)SAE30# (C)SAE90# (D)SAE140# 。
164. 大豆聯合收穫機是利用下列哪一種底盤設計的﹖ (A)搬運車 (B)汽車 (C)玉米收穫機 (D)水稻聯合收穫機 。
165. 離心式抽水機使用前不需注水的是 (A)渦旋泵 (B)軸流泵 (C)透平式泵 (D)自吸式泵 。
166. 離心式抽水機使用前需先做什麼動作? (A)加油 (B)注水 (C)放水 (D)放空氣 。
167. 離心式抽水機使用前先行注水的目的是 (A)補充水量 (B)充滿渦室 (C)排除空氣 (D)與空氣混合 。
168. 離心式抽水機運轉後抽不出水的原因是 (A)出水管太小 (B)動力機轉速太快 (C)吸水揚程太短 (D)吸水管或泵室內有空氣 。
169. 曳引機馬力用國際單位制(SI)表示,其代號為 (A)DIN (B)kW (C)SAE (D)hp 。
170. 曳引機犁地或拖動重負荷農具時,易導致重量轉移,其預防方法為 (A)車前增加配重 (B)增加農具重量 (C)加大輪胎直徑 (D)增加前進速度 。
171. 曳引機之油壓系統中,那一種閥可控制油壓油優先供應轉向系統? (A)分流閥 (B)逆止閥 (C)優先閥 (D)洩壓閥 。
172. 真空播種機播出種子缺株過多,其原因為 (A)真空度不足或播種圓盤片吸附種子的孔徑太小 (B)PTO 轉速過快致真空吸力太強 (C)種子箱種子過多 (D)風扇直徑過大致吸力過強 。
173. 噴霧機噴霧粒的粗細與下列哪一項有關? (A)水泵進水量及噴霧控制開關 (B)噴管內水壓及噴嘴型式 (C)噴霧軟管長度及直徑大小 (D)水箱濾網的精密度 。
174. 板犁犁地之入土能力是依 (A)板犁重量 (B)板犁犁尖之角度與寬度大小 (C)犁底之垂直間隙及犁側面之旁向間隙 (D)增加曳引機速度 。
175. 下列那一項可增加圓碟耙的入土深度? (A)增加碟片角、增加配重於農具或增加碟耙片直徑 (B)增加引擎馬力及耙地速度 (C)增加耙地速度及應用較小直徑之碟耙片 (D)降低行進速度,應用較小直徑之碟耙片 。
176. 行列作物中耕之目的在促進生長,其主要理由為 (A)噴殺草劑前之準備工作 (B)採收前之準備工作 (C)灌溉前之準備工作 (D)除草並使水分易於滲透 。
177. 曳引機前進後退換檔時不必踩離合器是因 (A)利用乾式離合器及油壓元件配合作動 (B)利用濕式離合器及油電元件配合作動 (C)利用乾式離合器及電磁閥配合作動 (D)利用離心力原理配合變速箱作動 。
178. 薯類挖掘機抖動鏈條之節距是依下列那一項決定? (A)薯塊重量 (B)土壤種類 (C)土壤種類及薯塊直徑大小 (D)鏈條之鏈桿直徑大小 。
179. 可依據引擎負荷大小,自動維持穩定轉速之機件為 (A)節溫器 (B)化油器(C)增壓器 (D)調速器 。
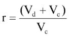
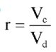
180. 若引擎壓縮比為 r,排氣量為
,燃燒室容積為
,則下列公式那一項是對的?(A)
(B)
(C)
(D)
。
181. 排氣量為 4000cc 的四行程引擎之轉速為 2000rpm,則每分鐘約吸入若干公升的空氣? (A)1000 (B)2000 (C)4000 (D)8000 。
182. 引擎進氣門在上死點前 15°即開啟而在下死點後 10°才關閉,排氣門在下死點前 8°即開啟而在上死點後 20°才關閉,則汽門重疊角度為 (A)18°(B)25° (C)28° (D)35° 。
183. 有關耕耘機 6.00-12 橡膠輪胎之標稱,下列那一項是對的? (A)6.00 表示輪胎內徑為 6 吋 (B)12 表示輪胎寬度為 12 公分 (C)12 表示輪胎外徑為12 吋 (D)6.00 表示輪胎寬度為 6 吋 。
184. 曳引機作業中,迴轉犁會自動舉升無法下降,其原因為 (A)耕深設定開關故障 (B)耕深自動調整感知器故障 (C)作業方式選擇錯誤 (D)油壓升降控制閥故障 。
185. 裝置有倍速轉向(QT)之曳引機,於迴轉時,下列哪一項是錯的? (A)迴轉時前輪呈高速迴轉 (B)比正常迴轉半徑小 (C)轉向時前輪內側轉速比外側快 (D)轉向時外側車輪轉速比內側快 。
186. 曳引機引擎有敲擊聲,其原因為 (A)柴油管路破損 (B)機油泵壓力過高 (C)柴油噴射泵正時不正確 (D)活塞環磨損 。
187. 曳引機的儀錶顯示水溫過高及未充電,其故障原因為 (A)水箱破裂 (B)水箱過髒 (C)引擎節流閥故障 (D)風扇皮帶斷掉 。
188. 引擎曲軸轉速很慢,無法起動引擎,電瓶電解液比重為 1.280,其原因為 (A)電解液比重過高 (B)發電機充電功能弱 (C)搭鐵線未接 (D)電瓶線接頭鬆動 。
189. 使用雙向板犁,其主要目的為 (A)犁起的土壤均向田區同一個方向翻犁,犁地後地面比較平整 (B)犁地後會增加背壟與死壟利於灌溉 (C)減少調頭次數,節省燃料 (D)犁起的土壤分向田區二個方向翻犁,犁後比較平整 。
190. 有關乘座式插秧機之動力轉向敘述,下列那一項是錯的? (A)方向盤轉到底後,不可再繼續轉動方向盤 (B)方向盤轉到底後,會出現異音,可能為正常現象 (C)不可長時間將方向盤轉到底 (D)方向盤之使用不會受引擎熄火影響 。
191. 落花生採收機其脫莢筒之設計裝置方式,下列那一項是對的? (A)平置式,前後高低一致 (B)傾斜式,前低後高 (C)傾斜式,前高後低 (D)浮動式,前後高低可調整 。
192. 落花生採收機採收後有過多花生莢殘留土中,其原因與下列那一項無關? (A)推土刀調整不良 (B)作物條件不良 (C)採收高度過高 (D)行走速度太慢 。
193. 有關引擎活塞,下列敘述那一項是對的? (A)活塞裙部的直徑略小於活塞頭部的直徑 (B)活塞裙部的直徑略大於活塞頭部的直徑 (C)活塞裙部的直徑等於活塞頭部的直徑 (D)活塞裙部的直徑可能略大於亦可能略小於活塞頭部的直徑,視該引擎為汽油引擎抑或柴油引擎 。
194. 下列敘述那一項是對的? (A)汽油引擎之爆震發生於燃燒初期 (B)汽油引擎之爆震發生於燃燒末期 (C)柴油引擎之爆震發生於燃燒末期 (D)汽油引擎與柴油引擎之爆震皆發生於燃燒初期 。
195. 汽門與汽門座之密合角度為 (A)5°或 10° (B)15°或 20° (C)30°或 45° (D)60° 。
196. 曳引機動力分導裝置(PTO)若由車後(即面向行車方向)觀看,其旋轉方向為 (A)順時針 (B)反時針 (C)當轉速 540rpm 時為順時針,轉速為1000rpm 時為反時針 (D)當轉速 540rpm 時為反時針,轉速為 1000rpm 時為順時針 。
197. 曳引機驅動輪之花紋若由車輛前方觀看,為 (A)正人字形 (B)倒人字形 (C)正人字形與倒人字形皆可 (D)若為四輪驅動式曳引機,其前輪為正人字形而後輪為倒人字形 。
198. 若一電瓶各分電池之極板總數為 21,下列那一項是對的? (A)正極板數目為 12 (B)正極板數目為 11 (C)負極板數目為 11 (D)負極板數目為 10 。
199. 若一電瓶各分電池之隔板數為 18,下列那一項是對的? (A)正極板數目為 10 (B)負極板數目為 10 (C)正負極板數目之和亦為 18 (D)正極板數目之和亦為 17 。
200. 有關免加水的電瓶敘述,下列那一項是對的? (A)電解液的水分不會減少 (B)電解液的水分仍會減少 (C)電解液的水分減少時會由大氣中自然補充 (D)電解液的水分會因充電作用而增加 。
申論題 (0)
相關試卷
114年 - 05200 農業機械修護 乙級 工作項目 06:修護場所管理 1-39(2025/10/29 更新)#132730
114年 · #132730
114年 - 05200 農業機械修護 乙級 工作項目 05:識圖與製圖 51-86(2025/10/29 更新)#132729
114年 · #132729
114年 - 05200 農業機械修護 乙級 工作項目 05:識圖與製圖 1-50(2025/10/29 更新)#132728
114年 · #132728
114年 - 05200 農業機械修護 乙級 工作項目 04:農機材料、油料及元件之識別 101-122(2025/10/29 更新)#132727
114年 · #132727
114年 - 05200 農業機械修護 乙級 工作項目 04:農機材料、油料及元件之識別 51-100(2025/10/29 更新)#132726
114年 · #132726
114年 - 05200 農業機械修護 乙級 工作項目 04:農機材料、油料及元件之識別 1-50(2025/10/29 更新)#132725
114年 · #132725
114年 - 05200 農業機械修護 乙級 工作項目 03:計量與測試 51-99(2025/10/29 更新)#132724
114年 · #132724
114年 - 05200 農業機械修護 乙級 工作項目 03:計量與測試 1-50(2025/10/29 更新)#132723
114年 · #132723
114年 - 05200 農業機械修護 乙級 工作項目 02:基本工作法 51-105(2025/10/29 更新)#132722
114年 · #132722
114年 - 05200 農業機械修護 乙級 工作項目 02:基本工作法 1-50(2025/10/29 更新)#132721
114年 · #132721