阿摩線上測驗
登入
首頁
>
技檢◆升降機裝修-乙級
> 114年 - 06400 升降機裝修 乙級 工作項目 02:電機部份 151-200(2025/11/03 更新)#132961
114年 - 06400 升降機裝修 乙級 工作項目 02:電機部份 151-200(2025/11/03 更新)#132961
科目:
技檢◆升降機裝修-乙級 |
年份:
114年 |
選擇題數:
50 |
申論題數:
0
試卷資訊
所屬科目:
技檢◆升降機裝修-乙級
選擇題 (50)
151. 普通萬用表的交流檔,測量機構反映的為 (A)有效值,定度也按有效值(B)平均值,定度是按正弦波的有效值 (C)平均值,定度也按平均值 (D)峰值,定度也按峰值 。
152. 經濟型數控系統常用的有後備電池法和採用非易失性記憶體,如晶片內帶鋰電池的隨機記憶體為 (A)EEPROM (B)NVRAM (C)FLASHROM (D)EPROM 。
複選題
153. 無齒輪牽引升降機採用永磁同步牽引機作為升降機的驅動系統,比傳統牽引升降機有更多的優點是 (A)體積小、重量輕 (B)能耗低 (C)噪音小 (D)載重量較大 。
複選題
154. 升降機消防緊急召回基準階開關動作後,下列那些正確? (A)已開啟車廂門的升降機、將車廂門關閉後,即返回基準階 (B)返回基準階後開門(C)正在運行的升降機,減速停止後,不開門即返回基準階 (D)下行過程中,將車廂內要下行的人員接到基準階 。
複選題
155. 下列那些原因是造成升降機電動機欠相的主要原因? (A)主回路接觸器接觸不良 (B)主回路接線端子接觸不良 (C)電動機繞組引出端子接觸不良(D)供電電源欠相 。
複選題
156. 交流雙速升降機起動過程中在定子電路中串入電抗器是為 (A)改善運行效率 (B)限制起動電流 (C)改善舒適感 (D)減少起動時間 。
複選題
157. 110kV 及以下供配電系統的設計,為減小電壓偏差可採取下列那些措施? (A)正確選擇變壓變比和電壓分接頭 (B)降低配電系統阻抗 (C)補償無功功率 (D)增大變壓器容量 。
複選題
158. 在 110kV 及以下供配電系統無功補償設計中,考慮並聯電容器分組時,應滿足下列那些要求? (A)分組電容器投切時,不應產生諧振 (B)增加分組組數和減少分組容量 (C)配套設備的技術參數相適應 (D)足電壓偏差的運行範圍 。
複選題
159. 電測儀錶誤差分為 (A)絕對誤差 (B)相對誤差 (C)單位誤差 (D)引用誤差 。
複選題
160. 下列那些是電氣裝置的接地裝置規定? (A)接地裝置應該互相連通,形成接地網。相鄰建築物不超過 30m 也應該連通 (B)引入配電裝置室的每條架空線路安裝的閥式避雷器的接地線,應與配電裝置室的接地裝置連接,不需要敷設集中接地裝置 (C)配電變壓器等電氣裝置,安裝在由其供電的建築物內的配電裝置室時,其接地裝置應與建築物基礎鋼筋等相連 (D)戶外柱上配電變壓器等電氣裝置的接地裝置,宜敷設成圍繞變壓器的閉合環形 。
複選題
161. 升降機機房、車廂和升降路中電氣裝置的間接接觸保護,應符合的規定有下列那些? (A)機房和車廂的電氣設備、升降路內的金屬件與建築物的用電設備,採用同一接地型式保護,可不另設接地裝置 (B)整個升降機裝置的金屬件,應採取等電位連接措施 (C)車廂接地線如利用電纜芯線時不得少於兩根,採用銅芯導體時,每根芯線截面不得小於 2.0mm2(D)在車廂頂、機房、滑輪間及底坑,應裝有 2P+PE 型的電源插座 。
複選題
162. 交流 AC220V 接觸器在釋放的瞬間會產生一個高脈衝干擾,該高脈衝干擾如在繼電器控制升降機中不含有多大的影響,但在 PC 板控制升降機中將會對 PC 板產生干擾,可以使用下列那些元件串接後並接在接觸器線圈的兩端來抑制高脈衝干擾? (A)400V、0.47mF 電容 (B)100W、0.5W 電阻 (C)二極體 (D)電感 。
複選題
163. 有關升降機常使用的變壓器,下列敘述那些正確? (A)隔離式變壓器就是次級任一根線與地之間沒有電位差,就是說人摸上去不會有電流經過人體流入大地 (B)自耦式變壓器成本低、輸入/輸出和零線共用 (C)自耦式變壓器是安全的電源 (D)自耦式變壓器就是在一次線圈上做抽頭作為二次線圈,也就是說其實只有一個線圈 。
複選題
164. 有關變頻器,下列敘述那些正確? (A)PWM 是英文Pulse Width Modulation(脈衝幅寬調變)縮寫,按一定規律改變脈衝列的脈衝幅寬,以調節輸出量和波形的一種調值方式 (B)變頻器的主電路大體上可分為電壓型與電流型兩類,電壓型是將電壓源的直流變換為交流的變頻器 (C)當變頻器實際轉速對於給定速度有偏差時,為了使負載變動也要求在近於給定速度下運轉的場合,可採用具有 PG 回饋功能的變頻器 (D)變頻器是利用電力半導體器件的通斷作用將工頻電源變換為另一頻率的電能控制裝置 。
複選題
165. 在機房清洗主鋼索及槽輪時,下列敘述那些錯誤? (A)在活動部位作業時要確認升降機停止才可作業 (B)在旋轉部位作業時可以戴手套作業,以防割傷 (C)需要兩人作業,一名開慢速,一名喊停後,開始清洗作業(D)可慢速下使用毛刷清潔鋼索,若毛刷夾住可立刻放手 。
複選題
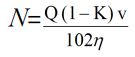
166. 下列計算公式那些正確? (A)牽引鋼索在拉力作用下的伸長量:可由下式計算:
(B)牽引電動機容量:可由下式計算:
(C)牽引機輸出扭矩:可由下式計算:
(D)牽引系統懸掛繩安全係數實際值
。
複選題
167. 液壓升降機液壓系統流量控制方式主要有下列那些? (A)容積調速 (B)節流調速 (C)有級調速 (D)複合調速 。
複選題
168. 有關直接式液壓升降機,下列敘述那些正確? (A)直接式液壓升降機井道上端的頂部間距可以比相同速度的間接式液壓升降機小 (B)直接式液壓升降機柱塞極限可以用車廂來觸及 (C)直接式液壓升降機可以不設置安全鉗 (D)直接式液壓升降機車廂下方可以不設置緩衝器 。
複選題
169. 有關升降機編碼器,下列敘述那些錯誤? (A)每圈解析度:13 位 8192線;16 位 65536 線;17 位 131072 線;25 位 33554432 線 (B)目前可以提供的解析度+圈數最高可以到 25 位 (C)絕對式編碼器對絕對位置有記錄能力,而增量式編碼器只能給出相對位置,其本身卻無法記錄 (D)絕對式編碼器輸出信號為:SSI+方波 A/B;RS485;Canopen,過去 SSI較多,現在永磁同步控制多使用 Hipeface 。
複選題
170. 有關升降機用比流器 CT,下列敘述那些正確? (A)比流器又稱變流器(B)比流器就是把較大電流變成較小電流 (C)比流器與電流互感器兩種是不同的東西 (D)比流器就是三線式交流電流感測轉換器 。
複選題
171. 屬於常用的短路保護裝置有下列那些? (A)熔斷器 (B)電磁式電流繼電器(C)交流接觸器 (D)脫扣器 。
複選題
172. 提高電力系統靜態穩定的措施有下列那些? (A)減少系統各元件的感抗(B)採用自動調節電壓裝置 (C)採用按頻率減負荷裝置 (D)增大電力系統的有功功率和無功功率的備用容量 。
複選題
173. 阻波器有什麼作用? (A)阻波器是載波通信及高頻保護不可缺少的高頻通信元件 (B)阻止高頻電流向其他分支洩漏 (C)減少高頻能量損耗的作用(D)變頻器都有裝阻波器 。
複選題
174. 鉛酸蓄電池在運行中極板硫化有下列那些特徵? (A)電壓不穩定 (B)充電時冒氣泡過早或一開始充電即冒氣泡 (C)充電時電壓過高,放電時電壓降低于正常值 (D)正極板呈現褐色帶有白點 。
複選題
175. 下列那些原因會使變壓器發出異常音響? (A)過負荷 (B)內部接觸不良,放電打火 (C)系統中有接地或短路 (D)大電動機起動使負荷變化較大 。
複選題
176. 下列敘述那些正確? (A)直流電的大小和方向均不隨時間變化 (B)脈動直流電的大小隨時間變化,方向不隨時間變化 (C)交流電的大小和方向均隨時間變化 (D)正弦交流電的大小和方向隨時間按正弦不規律變化 。
複選題
177. 觸電時通過人體的電流強度取決於 (A)對地電壓 (B)人體電阻 (C)對地電阻(D)觸電電壓 。
複選題
178. 三相四線制中,三相不對稱負載供電特點有 (A)各相負載所承受的電壓為對稱的電源相電壓,與負載是否對稱無關 (B)各線電流等於相應的各負載的相電流 (C)中線電流等於三個負載電流的相量和 (D)中性線的作用:使三相電路能夠成為互不影響的獨立電路,無論各相負載如何變動都不影響各相電壓 。
複選題
179. 互感電動勢的方向與下列那些有關? (A)互感磁通的變化趨勢 (B)磁場的強弱 (C)線圈的匝數 (D)線圈的繞向 。
複選題
180. 若要測量非正弦週期電壓或電流的有效值,應選用 (A)磁電系儀錶 (B)整流系儀錶 (C)電磁系儀錶 (D)電動系儀錶 。
複選題
181. 三相負載對稱指的是 (A)各相阻抗值相等 (B)各相阻抗值差 1Ω (C)各相阻抗複角相差 120° (D)各相阻抗值複角相等 。
複選題
182. 減少鐵芯中磁滯損耗的辦法有 (A)選用硬磁材料作鐵芯 (B)選用磁導率高的軟磁材料作鐵芯 (C)鐵芯鋼片中加入適量的矽 (D)提高電源電壓的頻率 。
複選題
183. 交流電磁鐵吸合過程中,下列敘述那些正確? (A)磁阻由大到小 (B)吸力大小基本不變 (C)線圈的電感量由小到大 (D)線圈電流由大到小 。
複選題
184. 磁路歐姆定律可由下列那些證明正確? (A)描述磁場性質的磁通連續性原理 (B)安培環路定律 (C)愣次定律 (D)磁路歐姆定律 。
複選題
185. 直流激磁電流的大小取決於 (A)線圈本身的電阻 (B)構成磁路的材料 (C)磁路的氣隙大小 (D)所加直流電壓的大小 。
複選題
186. 下列那些電路不屬於時序邏輯電路? (A)計數器 (B)全加器 (C)寄存器 (D)資料選擇器 。
複選題
187. 帶平衡電抗器三相雙反星形可控整流電路中,平衡電抗器的作用是使兩組三相半波可控整流電路? (A)相串聯 (B)相並聯 (C)單獨輸出 (D)以 180度相位差相並聯 。
複選題
188. 要調節異步電動機的轉速,可從下列那些入手? (A)變極調速 (B)變頻調速 (C)轉差率調速 (D)電流調速 。
複選題
189. 下列那些振盪器穩定度較好? (A)石英晶體 (B)音叉 (C)音片 (D)LC 。
複選題
190. 由運算放大器所組成的 RC 相移振盪器,下列敘述那些正確? (A)迴路增益βA 最小為 l (B)有一負回授網路 (C)回授網路總共相移 180° (D)能將直流電能轉換成交流電能 。
複選題
191. 有關振盪器,下列敘述那些正確? (A)石英晶體振盪器的頻率最為穩定(B)石英晶體是一種壓電材料 (C)石英晶片愈薄振動頻率愈低 (D)低頻振盪器一般採用 RC 電路為主 。
複選題
192. 下列那些振盪器輸出信號不是為方波? (A)單穩態多諧振盪器 (B)韋恩電橋振盪器 (C)石英晶體振盪器 (D)無穩態多諧振盪器 。
複選題
193. 有關場效應電晶體的特性,下列敘述那些錯誤? (A)易受到輻射影響 (B)一般可作為雙向類比開關 (C)有抵補電壓(Offset Voltage) (D)不適合應用在積體電路中 。
複選題
194. 有關場效應電晶體,下列敘述那些正確? (A)場效應電晶體(Field-EffectTransistor)簡稱 FET (B)利用外加的順向電壓來改變 PN 接面空乏區寬度的大小,以改變通道的寬窄,進而控制流過通道的電流大小 (C)通道中電流是由單一多數載子(電子或電洞)所組成 (D)場效應電晶體又稱為單極性電晶體(Unipolar Transistor) 。
複選題
195. 有關於 JFET 特性,下列敘述那些正確? (A)VGS0 時 IDIDSS (B)N 通道的夾止(pinch-off)電壓 VP 是負值 (C)在歐姆區操作時, (D)閘極電流趨近於零 。
複選題
196. 有關 RC 相移振盪器,下列敘述那些正確? (A)至少需三節 RC 電路來產生 180°相移 (B)啟動振盪條件為 略大於一 (C)R 或 C 值愈大,振盪頻率愈大 (D)輸出為正弦波 。
複選題
197. 有關場效應電晶體(FET),下列敘述那些錯誤? (A)輸入阻抗相當高,所以閘極與源極間可以視為開路 (B)FET 是屬於電流控制元件 (C)閘極與源極間需外加順向電壓,才能控制 ID 電流大小 (D)輸出阻抗相當高 。
複選題
198. 有關 JFET 放大電路,下列敘述那些正確? (A)依其共同接地端的不同可分為共源極(CS)放大電路、共汲極(CD)放大電路與共閘極(CG)放大電路三種 (B)CS 放大電路輸入信號是由場效應電晶體的閘極與汲極兩端輸入,再由場效應電晶體的汲極與源極兩端獲得輸出信號 (C)CD 放大電路輸入信號由場效應電晶體的閘極與汲極兩端輸入,再由場效應電晶體的源極與汲極兩端獲得輸出信號 (D)CG 放大電路輸入信號由場效應電晶體的源極與閘極兩端輸入,再由場效應電晶體的汲極與閘極兩端獲得輸出信號 。
複選題
199. 有關場效應電晶體的交流小信號等效電路模型,下列敘述那些正確?(A)閘極與源極間相當於開路 (B)汲極與源極間的交流等效電阻 rd 很大,一般來說,我們會將其視為開路 (C)id 電流源可以表示成順向互導 gm與閘–源極間的電壓 vgs 的乘積 (D)場效應電晶體閘–源極間接順向偏壓,使得閘極電流很大 。
複選題
200. 有關緩衝放大器,下列敘述那些正確? (A)必須有很高的輸入阻抗 (B)輸出阻抗必須很小 (C)常被用於測量儀器的輸入級 (D)FET 電路中,最常被用為緩衝放大器的是共閘極組態 。
申論題 (0)
相關試卷
114年 - 06400 升降機裝修 乙級 工作項目 04:檢查法規及安衛 151-173(2025/11/03 更新)#132970
114年 · #132970
114年 - 06400 升降機裝修 乙級 工作項目 04:檢查法規及安衛 101-150(2025/11/03 更新)#132969
114年 · #132969
114年 - 06400 升降機裝修 乙級 工作項目 04:檢查法規及安衛 51-100(2025/11/03 更新)#132968
114年 · #132968
114年 - 06400 升降機裝修 乙級 工作項目 04:檢查法規及安衛 1-50(2025/11/03 更新)#132967
114年 · #132967
114年 - 06400 升降機裝修 乙級 工作項目 03:各部機構組裝 151-192(2025/11/03 更新)#132966
114年 · #132966
114年 - 06400 升降機裝修 乙級 工作項目 03:各部機構組裝 101-150(2025/11/03 更新)#132965
114年 · #132965
114年 - 06400 升降機裝修 乙級 工作項目 03:各部機構組裝 51-100(2025/11/03 更新)#132964
114年 · #132964
114年 - 06400 升降機裝修 乙級 工作項目 03:各部機構組裝 1-50(2025/11/03 更新)#132963
114年 · #132963
114年 - 06400 升降機裝修 乙級 工作項目 02:電機部份 201-228(2025/11/03 更新)#132962
114年 · #132962
114年 - 06400 升降機裝修 乙級 工作項目 02:電機部份 101-150(2025/11/03 更新)#132960
114年 · #132960