阿摩線上測驗
登入
首頁
>
技檢◆油壓-丙級
> 114年 - 07900 油壓 丙級 工作項目 01:識圖 51-95(2025/12/02 更新)#134082
114年 - 07900 油壓 丙級 工作項目 01:識圖 51-95(2025/12/02 更新)#134082
科目:
技檢◆油壓-丙級 |
年份:
114年 |
選擇題數:
45 |
申論題數:
0
試卷資訊
所屬科目:
技檢◆油壓-丙級
選擇題 (45)
51. 如下圖符號之意義係表示
(A)固定電阻器 (B)感壓線圈 (C)可變電阻器 (D)可變感應線圈 。
52. 下列何者為流量計之符號 (A)
(B)
(C)
(D)
。
53. 下列何者為四口二位換向閥 (A)
(B)
(C)
(D)
。
54. 如下圖在控制電路中,為下列何種元件電磁線圈之符號?
(A)壓力開關 (B)繼電器 (C)定時器 (D)電磁接觸器 。
55. 如下圖所示之符號為
(A)O 型襯墊 (B)V 型襯墊 (C)U 型襯墊 (D)X 型襯墊 。
56. 如下圖符號表示為
(A)液壓泵 (B)過濾器 (C)蓄壓器 (D)液壓缸 。
57. 如下圖符號表示
(A)固定節流閥 (B)卸載溢流閥 (C)分流閥 (D)內部排泄引導操作止回閥 。
58. 如下圖符號表示為
(A)電磁開關 (B)按鈕開關 (C)蜂鳴器 (D)電動機 。
59. 下圖符號表示為
(A)溢流閥(Relief valve)(內部導引、外部排泄) (B)溢流閥(外部導引、內部排泄) (C)溢流閥(內部導引、內部排泄) (D)溢流閥(外部導引、外部排泄) 。
60. 如下圖符號表示為
(A)指示計 (B)稽納二極體 (C)PNP 電晶體 (D)矽控整流器 。
61. 如下圖之配衡閥符號表示
(A)內部導引、內部排洩 (B)外部導引、外部排洩(C)外部導引、內部排洩 (D)內部導引、外部排洩 。
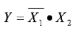
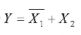
62. 如下圖所示邏輯方程式為
(A)
(B)
(C)
(D)
。
63. 一般工程圖最常用第幾角法? (A)一、四 (B)二、三 (C)一、三 (D)二、四 。
64.
左圖符號表示為 (A)溫度計 (B)冷卻器 (C)潤滑器 (D)排水器 。
65.
左圖符號表示為 (A)加熱器 (B)流量計 (C)潤滑器 (D)排水器 。
66.
左圖符號表示為 (A)蓄壓器 (B)液壓油箱 (C)電動機 (D)調整器 。
67.
左圖電子元件符號為 (A)光電晶體 (B)電感 (C)OP 放大器 (D)電解式電容 。
68. 下圖符號為
(A)互斥反或閘 (B)互斥或閘 (C)反或閘 (D)反及閘 。
69.
左圖符號表示為 (A)a (B)b (C)c (D)d 接點。
70.
左圖符號為 (A)閉止閥 (B)分流閥 (C)節流閥 (D)止回閥 。
71.
左圖符號表示為 (A)溫度器 (B)油面計 (C)溫度調節 (D)壓力計 。
72. 下圖符號表示為
(A)排水器 (B)油面計 (C)壓力計 (D)冷卻器 。
73.
左圖符號表示為 (A)排水器 (B)油面計 (C)溫度調節 (D)流量計 。
74.
左圖符號表示為 (A)過濾器 (B)油面計 (C)溫度調節 (D)冷卻計 。
75. 如下圖所示之符號為
(A)雙動雙桿型液壓缸 (B)附彈簧回行之單動液壓缸 (C)單動雙桿型無彈簧液壓缸 (D)雙緩衝型液壓缸 。
76.
左圖符號表示為 (A)液壓源 (B)蓄壓器 (C)過濾器 (D)排水器 。
77.
左圖符號表示為 (A)管路交叉 (B)快速接頭拆除狀態 (C)迴轉接頭 (D)撓性管 。
78.
左圖符號表示為 (A)差動型液壓缸 (B)複動型液壓缸 (C)蓄壓器 (D)雙緩衝型液壓缸 。
79.
左圖符號表示為 (A)管路在油中 (B)管路端部在油面之上 (C)導引管路(D)預壓油箱 。
80.
如下圖符號表示為 (A)液動式順序閥 (B)液動式溢壓閥 (C)直動式減壓閥 (D)引導式卸載閥 。
81.
如下圖符號表示為 (A)液動式順序閥 (B)直動式減壓閥 (C)液動式卸壓閥 (D)液動式減壓閥 。
82.
如下圖符號表示為 (A)快速接頭 (B)梭動閥 (C)順序閥 (D)逆止閥 。
83. 如下圖所示之符號為
(A)逆止閥 (B)導壓開通引導式逆止閥 (C)導壓關閉引導外洩式逆止閥 (D)梭動閥 。
84. 如下圖符號表示為
(A)增壓器 (B)手動泵浦 (C)逆止閥 (D)引導式逆止閥 。
85. 如下圖有一組油壓系統油泵,A 元件是
(A)高壓泵 (B)低壓泵 (C)溢流閥 (D)卸載閥 。
86. 如下圖有一組油壓系統油泵,B 元件是
(A)高壓泵 (B)低壓泵 (C)溢流閥 (D)卸載閥 。
87. 如下圖有一組油壓系統油泵,C 元件是
(A)高壓泵 (B)低壓泵 (C)溢流閥 (D)卸載閥 。
88. 如下圖有一組油壓系統油泵,D 元件是
(A)高壓泵 (B)低壓泵 (C)溢流閥 (D)卸載閥 。
89. 如下圖有一組油壓系統油泵,當 A 出口壓力小於卸載閥設定壓力時,A 出口流量是
(A)Q1 (B)Q2 (C)Q1+Q2 (D)趨近 0 。
90. 如下圖有一組油壓系統油泵,當 A 出口壓力大於卸載閥設定壓力且小於溢流閥設定壓力時,A 出口流量是
(A)Q1 (B)Q2 (C)Q1+Q2 (D)趨近 0 。
91. 如下圖有一組油壓系統油泵,當 A 出口壓力大於溢流閥設定壓力時,A 出口流量是
(A)Q1 (B)Q2 (C)Q1+Q2 (D)趨近 0 。
92. 下列何者為繼電器符號 (A)
(B)
(C)
(D)
。
93. 下列何者為電磁閥符號 (A)
(B)
(C)
(D)
。
94. 下列何者為通電延時型(ONdelay Timer)接點符號 (A)
(B)
(C)
(D)
。
95. 如下圖真值表係表示下列哪一種邏輯閘?
(A)
(B)
(C)
(D)
。
申論題 (0)
相關試卷
114年 - 07900 油壓 丙級 工作項目 06:操作與維護 51-107(2025/12/02 更新)#134093
114年 · #134093
114年 - 07900 油壓 丙級 工作項目 06:操作與維護 1-50(2025/12/02 更新)#134092
114年 · #134092
114年 - 07900 油壓 丙級 工作項目 05:運轉與調整 51-96(2025/12/02 更新)#134091
114年 · #134091
114年 - 07900 油壓 丙級 工作項目 05:運轉與調整 1-50(2025/12/02 更新)#134090
114年 · #134090
114年 - 07900 油壓 丙級 工作項目 04:裝配 51-80(2025/12/02 更新)#134089
114年 · #134089
114年 - 07900 油壓 丙級 工作項目 04:裝配 1-50(2025/12/02 更新)#134088
114年 · #134088
114年 - 07900 油壓 丙級 工作項目 03:儀表及工具使用 51-96(2025/12/02 更新)#134087
114年 · #134087
114年 - 07900 油壓 丙級 工作項目 03:儀表及工具使用 1-50(2025/12/02 更新)#134086
114年 · #134086
114年 - 07900 油壓 丙級 工作項目 02:元件的認識 101-160(2025/12/02 更新)#134085
114年 · #134085
114年 - 07900 油壓 丙級 工作項目 02:元件的認識 51-100(2025/12/02 更新)#134084
114年 · #134084