阿摩線上測驗
登入
首頁
>
技檢◆氣壓-乙級
> 114年 - 08000 氣壓 乙級 工作項目 03:儀表及工具使用 1-50(2025/12/03 更新)#134164
114年 - 08000 氣壓 乙級 工作項目 03:儀表及工具使用 1-50(2025/12/03 更新)#134164
科目:
技檢◆氣壓-乙級 |
年份:
114年 |
選擇題數:
50 |
申論題數:
0
試卷資訊
所屬科目:
技檢◆氣壓-乙級
選擇題 (50)
1. 電流計使用時,應與電路 (A)串聯 (B)並聯 (C)先串聯後並聯 (D)視電路而定 。
2. 測試給油器的最低滴油量的裝置如下圖,請問待測之給油器應置於何處?
(A)A (B)B (C)C (D)D 。
3. 1.5 伏特電池所能供給之最大電流為 1.2A,四只電池串聯使用後,能供給電流多少? (A)4.8A (B)2.4A (C)1.2A (D)0.3A 。
4. 製作砂輪時,100 號的砂,係表示由何種大小的篩子所篩出之砂? (A)每 25.4 平方公厘中有 100 個篩孔 (B)每一平方公分中有 100 個篩孔 (C)每25.4 公厘中有 100 個篩孔 (D)每孔大小為百萬分之 100 公尺 。
5. 一般鋸切碳鋼其推鋸每分鐘最好的次數是 (A)15~20 次 (B)30~40 次 (C)50~60 次 (D)100~120 次 。
6. 公制分厘卡 0~25 公厘的可量 (A)0.01 至 25 公厘 (B)0.001 至 2.5 公厘 (C)0.1 至 25 公厘 (D)1 至 25 公厘 。
7. 公制鑽頭尺寸是 10mm 以下每隔多少 mm 有一支? (A)0.1 (B)0.5 (C)1 (D)2mm。
8. 突波吸收器用於電源變壓器之輸入端,為 (A)防止脈衝高壓 (B)穩壓作用(C)防止雜訊干擾 (D)整流作用 。
9. 欲使三用電錶指針歸零,則須調整 (A)電阻零位調整 (B)歐姆調整 (C)機械上之零位調整 (D)電壓調整 。
10. 極限開關之常開接點(N.O)符號為 (A)
(B)
(C)
(D)
。
11. 線路短路,最簡單之保護設備為 (A)過載電驛 (B)無熔絲開關 (C)保險絲(D)熱動過載電驛 。
12.
如左圖電磁電驛電路如下圖轉換成邏輯電路符號為 (A)
(B)
(C)
(D)
。
13. 1MΩ是表示 (A)10
3
Ω (B)10
4
Ω (C)10
6
Ω (D)10
12
Ω 。
14. 使用三用電錶測量未知電壓時,其電壓選擇轉鈕要切換在 (A)最高位置(B)最低位置 (C)中間位置 (D)任何位置 。
15. 整流器(矽二極體)的順向壓降 (A)0.7V (B)1V (C)2V (D)3V 。
16. 下圖為何種晶體之結構?
(A)PNP (B)PNN (C)NPN (D)NPP 。
17. 下圖為何種晶體之結構?
(A)PNP (B)NPN (C)PNN (D)NPP 。
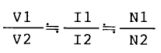
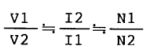
18. 變壓器一、二次電壓(V1,V2)及匝數(N1,N2)的關係為(A)
(B)
(C)
(D)
。
19. 直流電流和電壓之測定,通常皆使用 (A)可動線圈型 (B)感應型 (C)靜電型(D)可動鐵井型 儀錶。
20. 電壓錶測量方法與被測電路 (A)串聯 (B)並聯 (C)串並聯 (D)加裝-電阻 。
21. 欲擴大安培計的測定範圍,在直流時係用 (A)比流器 (B)比壓器 (C)倍增器(D)分流器 。
22. 倍增器是 (A)串聯於安培計 (B)並聯於安培計 (C)串聯於交流伏特計 (D)串聯於直流伏特計 。
23. 一機件長度 100mm 要求公差±0.1mm,以使用何種量具最適合? (A)普通直尺 (B)游標尺 (C)分厘卡 (D)捲尺 。
24. 測一 21.52mm 管外徑,分厘點讀值為 21.5,套筒的讀值為 (A)2 (B)12 (C)42 (D)52 。
25. 游標尺,本尺最小刻度 1.0mm,游標刻度將 19mm 作 20 等分,此游標尺的最小讀數 (A)0.01 (B)0.02 (C)0.04 (D)0.05 mm。
26. 一般而言,下列量具何者精度第二高? (A)普通直尺 (B)游標尺 (C)分厘卡(D)工具顯微鏡 。
27. %RH 是代表何種物理量? (A)黏性係數 (B)動黏性係數 (C)比熱 (D)相對濕度 。
28. 1 泊(Poise)等於 (A)1dyne-sec/cm
2
(B)1Pa.s (C)1 cm
2
/sec (D)1kg-cm 。
29. 噪音以 db 值大小表示,其計算公式為 (A)logX (B)20 logX (C)lnX (D)20lnX 。
30. 扭力扳手之大小稱呼以 (A)扳手口徑 (B)扭力範圍 (C)扭力最小值 (D)扭力最大值 。
31. 高速鋼鑽頭在軟鋼上鑽孔,設鑽削速度 25m/min,鑽頭直徑 11,則鑽頭每分鐘之迴轉數為多少轉? (A)500 (B)700 (C)1000 (D)1300 。
32. 乾濕球溫度計除測溫度外,主要目的是測量 (A)水溫 (B)空氣的黏度 (C)空氣的相對濕度 (D)空氣的密度 。
33. 測量數位電路信號之動作,最簡便的儀器為 (A)三用電錶 (B)數位電錶 (C)邏輯分析儀 (D)邏輯測試棒 。
34. 螺帽、螺栓的鎖緊程度有限制時,宜採用 (A)扳手 (B)扭力扳手 (C)梅花扳手 (D)管鉗 。
35. 標稱 AC110V,係指其電壓之 (A)最大值 (B)最小值 (C)平均值 (D)有效值 。
36. 110V 交流電壓,其電壓的峰值為多少 V? (A)110 (B)
(C)
(D)220 。
37. 下列何者有施力方向的限制? (A)六角扳手 (B)梅花扳手 (C)活動扳手 (D)套筒扳手 。
38. 欲看信號的波形使用最簡便儀器為 (A)三用電錶 (B)示波器 (C)邏輯分析儀(D)信號儀 。
39. 1atm 等於 (A)1kgf/cm2 (B)1bar (C)14.7psi (D)273torr 。
40. 清除銼刀齒上的鐵屑,應用 (A)水 (B)鋼刷 (C)碎紙 (D)毛刷 。
41. 使用螺絲起子,要鎖緊或拆卸螺絲時,必須與螺釘面成 (A)30° (B)45° (C)60° (D)90° 。
42. 示波器可以用來 (A)測量電壓波形、頻率和幅度 (B)只能測量電壓的波形(C)能夠測量電壓和電阻的大小 (D)測量電壓、電流、電阻的大小 。
43. 示波器測量電壓,其測量值為 (A)有效值 (B)平均值 (C)均方根值 (D)峰對峰值 。
44. 示波器一般在測量下列何種波形? (A)正弦波 (B)方波 (C)鋸齒波 (D)任何波形 。
45. 電流錶指針偏轉角度與電流大小成 (A)反比 (B)正比 (C)平方正比 (D)平方反比 。
46. 三用電錶如缺少電池,則 (A)不能測電壓 (B)不能測電流 (C)可測電阻 (D)可測電壓及電流 。
47. 使用鐵鎚時,手應儘量握在靠近手柄的_________的位置。 (A)前端 (B)中間 (C)尾端 (D)最舒適
48. 壓力單位 1bar 相當於 (A)10
6
dyne(達因)/cm
2
(B)10
5
dyne(達因)/cm
2
(C)10
4
dyne(達因)/cm
2
(D)10
3
dyne(達因)/cm
2
。
49. 壓力 1.02kgf/cm
2
相當於________dyne(達因)/cm
2
。 (A)10
7
(B)10
6
(C)10
5
(D)10
4
50. 壓力 1MPa 相當於_________dyne(達因)/cm
2
。 (A)10
7
(B)10
6
(C)10
5
(D)10
4
申論題 (0)
相關試卷
114年 - 08000 氣壓 乙級 工作項目 06:維修 51-78(2025/12/03 更新)#134175
114年 · #134175
114年 - 08000 氣壓 乙級 工作項目 06:維修 1-50(2025/12/03 更新)#134174
114年 · #134174
114年 - 08000 氣壓 乙級 工作項目 05:裝配、運轉與調整 51-99(2025/12/03 更新)#134173
114年 · #134173
114年 - 08000 氣壓 乙級 工作項目 05:裝配、運轉與調整 1-50(2025/12/03 更新)#134172
114年 · #134172
114年 - 08000 氣壓 乙級 工作項目 04:設計 201-259(2025/12/03 更新)#134171
114年 · #134171
114年 - 08000 氣壓 乙級 工作項目 04:設計 151-200(2025/12/03 更新)#134170
114年 · #134170
114年 - 08000 氣壓 乙級 工作項目 04:設計 101-150(2025/12/03 更新)#134169
114年 · #134169
114年 - 08000 氣壓 乙級 工作項目 04:設計 51-100(2025/12/03 更新)#134168
114年 · #134168
114年 - 08000 氣壓 乙級 工作項目 04:設計 1-50(2025/12/03 更新)#134167
114年 · #134167
114年 - 08000 氣壓 乙級 工作項目 03:儀表及工具使用 101-162(2025/12/03 更新)#134166
114年 · #134166