所屬科目:技檢◆測量-丙級
1.我國現時土地測量所採用之長度單位為(A)台尺(B)公尺(C)英尺(D)市尺。
2.「聖嬰現象」是指哪一區域的溫度異常升高?(A)東印度洋表層海水(B)西印度洋表層海水(C)西太平洋表層海水(D)東太平洋表層海水。
3.經緯儀定平用之踵定螺旋共有(A)3個(B)7個(C)5個(D)1個。
4.電源插座堆積灰塵可能引起電氣意外火災,維護保養時的正確做法是?(A)直接用吹風機吹開灰塵就可以了(B)應先關閉電源總開關箱內控制該插座的分路開關,然後再清理灰塵(C)可以用金屬接點清潔劑噴在插座中去除銹蝕(D)可以先用刷子刷去積塵。
5.一般自動水準儀之精度依據下列何者來區分?(A)望遠鏡的長短(B)望遠鏡的放大倍率(C)望遠鏡的十字絲(D)望遠鏡的目鏡大小。
6.一支20公尺測尺量測距離,結果為200.50公尺,實際檢核此測尺尺長為19.99公尺,試求修正後距離為?(A)200.40公尺(B)200.55公尺(C)200.45公尺(D)200.60公尺。
7.重要工程之控制測量不可採用(A)三角測量(B)三邊測量(C)經緯儀導線測量(D)視距導線測量。
8.測線與磁子午線所夾的銳角稱為(A)真方向角(B)真方位角(C)磁方向角(D)磁方位角。
9.請問下列何者非為個人資料保護法第3條所規範之當事人權利?(A)請求刪除他人之資料(B)請求停止蒐集、處理或利用(C)查詢或請求閱覽(D)請求補充或更正。
10.一甲土地等於多少公頃?(A)0.7686(B)1.0310(C)1.3010(D)0.9699。
11.依據一等水測量測量作業規範規定,精密水準儀須定期適時辦理儀器檢查保養,A:三腳架每周保養檢查、B:每日辦理視準軸校準檢查(定樁法)、C:每周辦理補償效果檢查、D:每日圓盒氣泡檢查、E:每周溫度計電池檢查。下何者為正確?(A)ABCE(B)BCE(C)BCD(D)ABCD。
12.經以電子測距儀測得一距離1,500m,而該距離觀測量中誤差為±0.030m,則其相對精度為(A)1/150000(B)1/50000(C)1/500000(D)1/1500。
13.精度較高之量距尺為(A)銦鋼尺(B)布卷尺(C)塑膠卷尺(D)測繩。
14.使用鋼卷尺量距時,彈簧秤之作用為(A)消除鋼卷尺彎曲(B)使用適度張力(C)減少鋼卷尺偏斜(D)避免鋼卷尺伸縮。
15.假設水準環線最大閉合差為,20mm√F為水準環線長度之公里數。若某水準環線包含A、B、C、D等四點,其中A點至B點、B點至C點、C點至D點、D點至A點之水準路線長度分別為1km、4km、2km、3km,則此水準環線最大閉合差為(A)63㎜(B)36㎜(C)32㎜(D)25㎜。
16.短程光波(光電)測距儀測量範圍約為(A)10至20公里(B)7公里以內(C)2公里以內(D)100至500公里。
17.水準儀使用之前先行校正,使(A)水準軸平行於直立軸(B)視準軸平行於水準軸(C)水準軸垂直視準軸(D)視準軸平行於直立軸。
18.內政部一千分之一地形圖圖式規格表中,為何者之圖式?(A)村里界(B)省、直轄市等界(C)鄉、鎮、縣轄市、省轄市區等界(D)縣、省轄市、直轄市區等界。
19.冰箱在廢棄回收時應特別注意哪一項物質,以避免逸散至大氣中造成臭氧層的破壞?(A)汞(B)冷媒(C)苯(D)甲醛。
20.基本測量實施規則中規定,坐標系統採用地球原子的長半徑為若干?(A)6,378,130m(B)6,378,137m(C)6,378,157m(D)6,378,160m。
21.一般而言,下列哪一個防治策略是屬經濟誘因策略?(A)許可證制度(B)環境品質標準(C)放流水標準(D)可轉換排放許可交易。
22.一組觀測成果經計算得其標準誤差為±0.85,則其平均誤差為若干?(A)±0.57(B)±1.26(C)±1.07(D)±0.68。
23.零度在天頂方向之全圓周式垂直度盤,正鏡時所讀之角度為(A)270°-天頂距(B)天頂距(C)垂直角(D)360°-天頂距。
24.1/500地圖上矩形土地之長為10公分,寬為5公分,其實地面積相當於幾坪?(A)75.625(B)378.50(C)375.125(D)378.125。
25.水準點石樁頂之中心一般為(A)凸形半球體(B)凹形半球體(C)漆繪一"十"字(D)鑴刻一"十"字。
26.光波電子測距儀之測距精度,易受氣象因素影響,故須記錄(A)風向與溼度(B)氣溫與氣壓(C)風向與風速(D)溼度與氣壓。
27.自動水準儀望遠鏡之視準軸傾斜時(A)在平行玻璃板的作用範圍內可自動恢復水平(B)任何傾斜量均可自動恢復水平(C)在補償器的作用範圍內可自動恢復水平(D)在傾斜螺旋的作用範圍內可自動恢復水平。
28.A受僱於公司擔任會計,因自己的財務陷入危機,多次將公司帳款轉入妻兒戶頭,是觸犯了刑法上之何種罪刑?(A)詐欺罪(B)侵占罪(C)偽造文書罪(D)洩漏工商秘密罪。
29.在導線點觀測水平角時,測讀一測線之延長線與次一測線之夾角稱為(A)外角(B)內角(C)偏角(D)方位角。
30.如果觀測四測回,則每一測回開始時,水平角度盤應分別對(A)0°、45°、90°、135°(B)0°、120°、240°、360°(C)0°、90°、180°、270°(D)0°、60°、120°、180°。
31.以下各項水準測量精度最高者為(A)支線水準測量(B)二等水準測量(C)一等水準測量(D)三等水準測量。
32.視準軸誤差為視準軸與橫軸不垂直,所引起之水平角觀測誤差,下列描述何者正確?(A)望遠鏡照準目標愈遠,觀測誤差愈大(B)同一儀器為固定值,不隨高度角或照準距離改變(C)望遠鏡照準時之兩方向高度角相差愈小,觀測誤差愈大(D)望遠鏡照準時之兩方向高度角相差愈大,觀測誤差愈大。
33.若以衛星控制點作為基本控制點,點位採用不銹鋼材質時,其十字刻劃、刻字、埋設區分、規則及埋設方式等應依規定設置。下列有關規定,何者正確?(A)西:測設機關、中:點號、東:等級及點別(B)北:測設機關、中:點號、南:等級及點別(C)南:測設機關、中:點號、北:等級及點別(D)東:測設機關、中:點號、西:等級及點別。
34.設直線AB之磁方向角讀數為N30°E,當時之磁偏角是2°E,若數年後該地區之磁偏角是1°E,則直線AB之磁方向角讀數為(A)N27°E(B)N31°E(C)N33°E(D)N29°E。
35.下列哪種措施不能用來降低空氣污染?(A)汽機車加裝消音器(B)禁止露天燃燒稻草(C)汰換老舊柴油車(D)汽機車強制定期排氣檢測。
36.依職業安全衛生設施規則規定,噪音超過多少分貝之工作場所,應標示並公告噪音危害之預防事項,使勞工周知?(A)90分貝(B)80分貝(C)85分貝(D)75分貝。
37.工程水準儀之水準器靈敏度約為(A)20"/2㎜~30"/2㎜(B)5"/2㎜~10"/2㎜(C)0.1"/2㎜~1"/2㎜(D)1"/2㎜~5"/2㎜。
38.七邊形閉合導線,其外角和應為(A)1260°(B)1620°(C)900°(D)1800°。
39.經緯儀之水準軸與直立軸是否垂直之檢校方法,稱為(A)一次反轉法(B)半半校正法(C)木樁校正法(D)二次反轉法。
40.水準儀觀測讀數之方向與水準路線之前進方向相反時,該水準尺之讀數稱為(A)後數(B)前數(C)後視(D)前視。
41.水準測量之標尺墊,其功用為使標尺能(A)不左右偏移(B)易變換位置(C)不前後傾斜(D)位置及高度固定。
42.電子測距儀中,電子系統顯示器乃屬於(A)控制器(B)附屬配件(C)反射器(D)接收器。
43.下列各種水準器,何者精度最低?(A)符合水準器(B)圓盒水準器(C)望遠鏡水準管(D)盤面水準管。
44.下列何者為選用防塵口罩時,最不重要之考量因素?(A)視野愈小愈好(B)捕集效率愈高愈好(C)吸氣阻抗愈低愈好(D)重量愈輕愈好。
45.用天頂距式度盤之經緯儀觀測一垂直角,正鏡時讀數為86°04'39",倒鏡時讀數為273°55'17",則該垂直角(俯仰角)為(A)3°55'19"(B)-3°50'39"(C)-3°55'19"(D)3°50'39"。
46.照明控制可以達到節能與省電費的好處,下列何種方法最適合一般住宅社區兼顧節能、經濟性與實際照明需求?(A)全面調低照明需求(B)走廊與地下停車場選用紅外線感應控制電燈(C)晚上關閉所有公共區域的照明(D)加裝DALI全自動控制系統。
47.若地形圖首曲線的等高距為1m,則下列何者高程為間曲線?(A)10.5m(B)15m(C)10.25m(D)12.0m。
48.用經緯儀觀測角度,導致直立軸不正直之原因為(A)自動現象誤差(B)觀測誤差(C)定平不實誤差(D)儀器構造誤差。
49.經緯儀使用完畢,在裝箱之前,先將腳螺旋轉至何種位置?(A)居中(B)完全升高(C)完全降低(D)隨意。
50.測量儀器在搬運途中,首應注意何種事項?(A)防震(B)防銹(C)防潮(D)防曬。
51.下列何者不是發生電氣火災的主要原因?(A)電器接點短路(B)電氣火花(C)漏電(D)電纜線置於地上。
52.蓮蓬頭出水量過大時,下列對策何者「無法」達到省水?(A)淋浴時水量開大,無需改變使用方法(B)調整熱水器水量到適中位置(C)洗澡時間盡量縮短,塗抹肥皂時要把蓮蓬頭關起來(D)換裝有省水標章的低流量(5~10L/min)蓮蓬頭。
53.廠商某甲承攬公共工程,工程進行期間,甲與其工程人員經常招待該公共工程委辦機關之監工及驗收之公務員喝花酒或招待出國旅遊,下列敘述何者正確?(A)公務員若沒有收現金,就沒有罪(B)因為不是送錢,所以都沒有犯罪(C)某甲與相關公務員均已涉嫌觸犯貪污治罪條例(D)只要工程沒有問題,某甲與監工及驗收等相關公務員就沒有犯罪。
54.下表為測站B對測點A、C做水平角之紀錄,則∠ABC為
(A)125°10'10"(B)125°10'25"(C)125°10'15"(D)125°10'20"。
55.利用光線暗影之深淡色調表示地貌之起伏狀態,此種地形圖地貌表示法稱為(A)立體模型法(B)暈渲法(C)暈潝法(D)浮雕法。
56.三角點標石之頂端刻有下列何種記號?(A)十(B)(C)▲(D)一。
57.長125m寬35m之長方形土地一塊,面積為若干公頃?(A)44(B)0.4375(C)4.375(D)43.75。
58.電子測距儀所用以測定參考訊號與測距訊號相位差之電子機件,量距時通常會產生周期性誤差,其波長為何?(A)調變訊號波長之四分之一(B)與調變訊號波長無關(C)與調變訊號波長相同(D)調變訊號波長之半。
59.經緯儀觀測垂直角時,須使望遠鏡十字絲之(A)下橫絲(B)上橫絲(C)中橫絲(D)縱絲與目標相切合。
60.水準測量記錄表如下,單位為公尺,則高程差為
(A)-1.085m(B)-1.058m(C)-1.065m(D)-1.056m。
61.依大地測量之觀點,地表兩點間之最短距離為何?(A)直截線(B)直線(C)圓弧(D)大地線。
62.採用半半改正法校正水準儀之目的在使(A)視準軸與水準軸平行(B)視準軸與水平軸垂直(C)視準軸與水準軸垂直(D)水準軸與直立軸垂直。
63.設傾斜距為S,斜角為A,求其水平距D等於(A)S×sinA(B)S×cosA(C)S×cscA(D)S×secA。
64.普通水準儀之水準器靈敏度在(A)20"~30"(B)10"~20"(C)30"~40"(D)5"~10"。
65.水準測量中,因記簿錯誤而導致之誤差,屬於(A)系統誤差(B)偶然誤差(C)錯誤(D)相消誤差。
66.下列何種熱水器所需能源費用最少?(A)天然瓦斯熱水器(B)電熱水器(C)熱泵熱水器(D)柴油鍋爐熱水器。
67.以主尺(N-1)格之長在游標上等分為N格,稱為(A)複游標(B)順讀游標(C)單游標(D)逆讀游標。
68.使用相同儀器架設兩次,第一次之儀器高為1.60m,第二次為1.40m,而且定平不確定度相同。若僅就儀器高影響考量,何者對點(定心)誤差(以㎜為單位)較大?(A)第一次(B)對點誤差與儀器高無關(C)第二次(D)兩者相同。
69.下列何者為經緯儀所具有的基本功能:a.測定水平角;b.測定垂直角;c.視距測量;d.測定真方位角;e.測定延長線;f.測定高程值(A)bcd(B)adf(C)ace(D)abe。
70.經以電子測距儀測得一距離1,500m,而該距離觀測量相對精度為1/18750,則其中誤差為(A)±0.008m(B)±0.028m(C)±0.280m(D)±0.080m。
71.若比例尺縮小1/3,則面積之縮小率為(A)1/12(B)1/6(C)1/9(D)1/3。
72.A、B、C、D為同一直線上之順序四點,以電子測距儀設站於A量測AB為31.108m、AD距離為90.390m,再設站於C量測BC距離為29.105m、CD距離為30.201m,稜鏡加常數應為(A)-0.024m(B)-0.008m(C)-0.012m(D)-0.015m。
73.若地形圖首曲線的等高距為1m,則間曲線的等高距為(A)0.25m(B)2.0m(C)5m(D)0.5m。
74.攜帶標桿行進時,應該使尖端保持何種動作?(A)朝前且朝上(B)朝後(C)朝前(D)朝後且朝下。
75.下列敘述何者錯誤?(A)自己或他人捏造、扭曲、竄改或虛構的訊息,只要一小部分能證明是真的,就不會構成假訊息(B)對新聞媒體報導有意見,向國家通訊傳播委員會申訴(C)在網路或Line社群網站收到假訊息,可以敘明案情並附加截圖檔,向法務部調查局檢舉(D)憲法保障言論自由,但散布假新聞、假消息仍須面對法律責任。
76.台灣之高程基準係依據基隆港的潮位站何種水準面為起算標準?(A)平均海水面(B)低潮位線(C)最高潮位線(D)最低潮位線。
77.中線水準測量為沿路線中心測定全線地形起伏狀態者,亦稱(A)支線水準測量(B)縱斷面水準測量(C)本線水準測量(D)橫斷面水準測量。
78.將一部自動水平水準儀整置水平後觀測一標尺,再稍微旋轉腳螺旋,使圓盒水準器之氣泡稍微不居中,此時發現標尺讀數與未旋轉腳螺旋前不同,則應該是下列何者異常?(A)圓盒水準器(B)腳螺旋(C)自動水平補償器(D)十字絲。
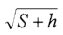
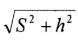
79.測得A、B兩點之高程差為h,兩點之傾斜距離為S,則兩點間之水平距離為(A)(B)(C)(D)。
80.對於墜落危險之預防設施,下列敘述何者較為妥適?(A)高度2m以上之開口處應設護欄或安全網(B)高度2m以上之邊緣開口部分處應圍起警示帶(C)在外牆施工架等高處作業應盡量使用繫腰式安全帶(D)安全帶應確實配掛在低於足下之堅固點