所屬科目:計算機概論、大意(資訊科學概論,電腦常識,電子計算機概論)
1 有關電腦系統的輸出入周邊設備,下列何者錯誤?(A)鍵盤(Keyboard) (B)滑鼠(Mouse) (C)程式計數器(Program Counter) (D)印表機(Printer)
2 當 CPU 遇到「條件式跳躍(Conditional Jump)指令」且條件成立時,下列何者會發生?(A) CPU 停止執行任何指令 (B) CPU 會將特定的數值放入算術邏輯單元(Arithmetic Logic Unit)中 (C) CPU 將條件跳躍指令中的位址放入程式計數器(Program Counter)中 (D) CPU 會重複執行剛剛執行的指令
3 儲存數字-19 到一個 8 位元的記憶體空間中,若指定表示法是符號與大小表示法(sign-and- magnitude),有關轉換後的表示法,下列何者正確? (A) 11101101 (B) 00010011 (C) 01101100 (D) 10010011
4 在二補數的加法運算中,當兩個負數相加時,下列那一種情況表示發生溢位(overflow)?(A)結果是負數 (B)結果的最左邊符號位元變成 1 (C)結果是零 (D)結果是正數
5 假設 X 和 Y 為布林變數,符號「*」、「+」和「~」分別代表 AND、OR 和 NOT 三種運算子。考慮以下布林函數 F(X, Y) = X*(~Y)+Y,則函數 F 與下列何者等價? (A) X*Y (B)(~X)*(~Y) (C)~(X*Y) (D)~((~X)*(~Y))
6 能自我複製的惡意軟體稱為:(A)病毒(Virus) (B)木馬(Trojan horse) (C)蠕蟲(Worm) (D)間諜軟體(Spyware)
7 在交通繁忙時間的時候,常常會出現所有車輛都無法移動的狀況,下列何種方法最能防止這種情況的發生?(提示:在作業系統中有一個概念和車輛無法移動的情況很類似) (A)所有車輛進入交叉口後不得後退 (B)讓每一條道路上能前進的車輛數變多 (C)車輛只能在有明確通行權時進入交叉口 (D)允許車輛長時間等待
8 電腦中何種記憶體,在關機後資料會遺失?(A) PROM (B) ROM (C) RAM (D) EPROM
9 圖形處理器(Graphics Processing Unit, GPU)最初是為加速圖形處理而設計,許多圖形相關運算需要進行大量的運算。下列何者圖形處理任務最依賴 GPU 的加速能力,因為它需要大量運算與平行處理? (A)即時渲染一個具有光影效果的 3D 動畫場景 (B)編輯圖片的顏色與亮度 (C)將一張高彩度的靜態圖片顯示在螢幕上 (D)壓縮圖片以節省儲存空間
10 多媒體(Multimedia)是多種資訊傳輸媒介或多個不同型態的資訊,常見的影像副檔名有 jpg、gif、png、tif 等,各具有不同的影像儲存方法、表達及壓縮能力,下列何種影像儲存格式為破壞性壓縮? (A) gif (B) jpg (C) png (D) tif
11 根據以下三個表格,以及以下的 SQL,給出查詢結果: (A) 229 247 (B) 229 221 (C) 155 247 (D)空集合
12 關於關聯式資料庫的概念,下列敘述何者正確?(A)外鍵(Foreign keys)可以是空值(null) (B)在同一個資料表格中,兩筆資料可以有同一個主鍵(primary key) (C)在同一個資料表格中,屬性可以根據情況對應多個不同的定義域(domains) (D)外鍵(Foreign keys)不能指到自己
13 假設整數陣列 int CAT[80],且每個整數占用 4 bytes。若元素 CAT[0]在記憶體中的位址為 1000,則元素 CAT[30]的位址,下列何者正確? (A) 1320 (B) 1120 (C) 1000 (D) 1030
14 若數學式 AB*CDE-^*是以後置式(Postfix)表示法呈現,則其中置式(Infix)表示法,下列何者正確? (A) A**B-C^(D-E) (B) A*B-(C^D)*E (C) A*B-C^(D*E) (D)(A*B)*(C^(D-E))
15 下列 Python 程式碼的執行成果為:(A)[2,3,4] (B)[1,3,4] (C)[1] (D)[4]
16 有關二元樹(Binary tree)的敘述,下列何者正確?(A)每個節點(Node)最多有 2 個子節點(Child node) (B)每個節點都恰有 1 個父節點(Parent node) (C)每棵二元樹都有 1 個根節點(Root node) (D)每棵二元樹都最少有 1 個節點
17 為能夠在資料儲存或傳輸有更好的效率,使用壓縮技術。一個有名的技術稱為霍夫曼樹編碼(Huffman Tree Coding)。假設在一篇文章裡,出現 A 的次數是 45 次,B 是 20 次,C 是 25 次,D 是 6 次,E 是 33 次,而 T 是 28 次,以此數據建構一棵霍夫曼樹。有關編碼 ACAT 需要多少位元? (A)7 (B)8 (C)9 (D) 10
18 建立如下無向圖(Undirected Graph)之最小生成樹(Minimum Spanning Tree),其各邊權重總和為多少? (A) 45 (B) 48 (C) 52 (D) 53
19 關於圖形資料結構(Graph)的基本特性敘述,下列何者正確?(A)所有圖形的邊都有方向性 (B)一個圖形一定是一個連通的結構 (C)圖形中可能存在節點沒有與其他節點相連 (D)圖形結構中不可能存在環狀的連結
20 對於排序(Sorting)的敘述,下列何者正確?(A)快速排序(Quick Sort)速度快,無論在何種資料情況下都能有 O(n logn)的效能 (B)插入排序(Insertion Sort)最差的情況下,所花時間是 O(n2),但平均情況的效能會是 O(n logn) (C)合併排序(Merge Sort)平均情況的效能是 O(n logn),且為穩定排序(Stable Sort) (D)堆積排序(Heap Sort)平均情況的效能是 O(n logn),且為穩定排序(Stable Sort)
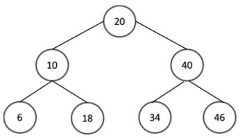
21 依下圖的二元搜尋樹(binary search tree),採後序走訪(postorder traverse)的數值順序為:(A) 6 18 10 34 46 40 20 (B) 6 10 18 20 34 40 46 (C) 20 10 6 18 40 34 46 (D) 6 18 34 46 10 40 20
22 採用循序搜尋法尋找資料,所需搜尋時間的平均情況(average case)會在何時發生?(A)要尋找的目標資料是陣列的中間元素 (B)要尋找的目標資料不存在於陣列 (C)要尋找的目標資料是陣列的最後元素 (D)要尋找的目標資料是陣列的最後元素或不存在於陣列
23 在 C/C++語言中,以#開頭的指令,編譯器會在下列那一個階段處理?(A)當成註解,不處理 (B)前置處理時 (C)連結(Link)時 (D)偵錯時
24 給定下列變數宣告:int a[10], value = 100, *p; 則下列指令何者語法錯誤? (A) p = &value; (B) p = a; (C) a = p; (D)*a = *p;
25 關於程式語言語法(Syntax)與語意(Semantics)的敘述,下列何者錯誤?(A)設計程式時,程式碼即使有語意錯誤,但是只要程式的語法正確也能執行 (B)編譯器或解譯器無法發現程式碼中的語意錯誤 (C)當程式碼違反程式語言的規則時,例如拼字錯誤,則程式一定無法執行 (D)當程式執行結果不符合預期時,可知程式碼存在語法錯誤
26 考慮以下 C 語言程式片段,執行後 data[]的內容,下列何者正確?(A)10,20,30,40,50 (B) 50,40,30,20,10 (C) 50,30,10,20,40 (D) 30,20,10,40,50
27 根據下列 C 語言程式,那個執行結果正確? (A) f(7),f(10)的傳回值分別是 10,12 (B) f(8),f(9)的傳回值分別是 9,10 (C) f(9),f(10)的傳回值分別是 10,12 (D) f(10),f(11)的傳回值分別是 11,12
28 下列那段 C++程式碼是輸出數字 1 到 10,使用 for 迴圈最適合寫法?(A) for (int i = 1; i <= 10; i++) cout << i; (B) for (int i = 10; i >= 1; i--) cout << i; (C) for (int i = 1; i < 10; i++) cout << i; (D) for (int i = 0; i <= 10; i++) cout << i;
29 假設 a、b 皆為正整數,則以下函數的回傳值,應為下列何者? (A) a*b (B) a!*b! (C) a*(b-1) (D)(a+1)*b
30 呼叫下列 C 語言的函數 sum(),會回傳值為何?
(A)當呼叫 sum(0,5)時,回傳值為 38 (B)當呼叫 sum(0,6)時,回傳值為 69 (C)當呼叫 sum(0,7)時,回傳值為 111 (D)當呼叫 sum(0,8)時,回傳值為 168
31 在開發一個學生管理系統時,需要儲存 100 位學生的成績,且要求能夠快速透過座號(索引)查詢成績。若只使用「陣列」這種結構,則在「陣列」已滿的情況下,要再新增第 101 位學生成績時,通常該如何處理? (A)直接在記憶體最後方再配置空間,無須更動既有陣列 (B)只能將前 50 位學生成績刪除,釋放出空間 (C)宣告一個更大的陣列並把資料複製過去 (D)利用彈性插入功能直接擴增陣列大小
32 有關物件導向式(Object-oriented)程式語言敘述,下列何者錯誤?(A)C (B) Java (C) Python (D) JavaScript
33 下列何項網路服務,可協助應用程式將 www.moe.gov.tw 轉換成 140.111.14.50?(A) SMTP (B) DNS (C) FTP (D) ARP
34 通訊傳輸媒介中,有關引導式媒介(Guided media),下列何者錯誤?(A)雙絞線 (B)紅外線 (C)光纖 (D)同軸電纜
35 DNS 查詢過程中,若本地 DNS 伺服器沒有快取結果,下一步會向下列何種伺服器發出請求?(A)轉發伺服器(Forwarding Server) (B) Web 伺服器 (C) TLD 伺服器(Top-Level Domain Server) (D)根名稱伺服器(Root Name Server)
36 邊界閘道協定(Border Gateway Protocol, BGP)是用於網際網路中,自治系統(Autonomous System, AS)之間交換路由資訊的標準協定。有關 BGP 中的 AS_PATH 屬性,可以用來達成下列何種功能? (A)防止路由迴圈 (B)實現負載均衡 (C)確定管理距離 (D)提供 QoS 保證
37 在實現 Web 應用的離線功能時,下列何種技術組合最為完整?(A) LocalStorage + AJAX (B) Service Worker + Cache API + IndexedDB (C) WebSocket + SessionStorage (D) Web Workers + Cookies
38 某系統使用 RSA 進行加密,發現每個使用者需要一對密鑰(公鑰和私鑰)。這種加密方式屬於下列何種類型? (A)對稱式加密(Symmetric Encryption) (B)非對稱式加密(Asymmetric Encryption) (C)哈希加密(Hash Encryption) (D)開放式加密(Open Encryption)
39 在伺服器受到 DoS 攻擊時,最有可能會出現下列何種問題?(A)資料外洩 (B)檔案損毀 (C)網頁遭到竄改 (D)網路服務中斷
40 社交工程(Social engineering)為一種收集資訊的手法,通常由下列何種來源收集?(A)翻找垃圾桶 (B)利用搜尋引擎搜尋不小心外洩的資料 (C)用工具掃描內部網路 (D)利用人性弱點欺騙他人,以獲取機敏資料