所屬科目:教甄◆數學
一、填充題1.某次考試有5題是非題,若全部亂猜,計算猜對題數的期望值。
2.用繩子纏繞一氣球上的大圓(亦即大圓所在的平面包含球心),當此氣球膨脹使得直徑增加2公分,經測量得知所需繩長增加6公分(以1位有效數字記錄)。若把地球視為半徑6,000公里的球體,想像有一條電纜繞纏地球上的大圓,若地球膨脹,使得地球半徑增加1公分,計算此電纜的長度增加量。
3.希克定律(Hick’sLaw)指出人們從各種選項中作決定時,所需思考時間隨著選項增加呈現對數模式成長。例如,顧客從n種飲料作出選擇所需的時間T(秒)可用
Tn=2ln(n+11)
作為數學模型。若希望顧客在3秒內作出決定,求出選項數量的最大值。
4.某地區的天氣型態簡化為晴天與雨天,並採用馬可夫鏈(MarkovChain)作為數學模型:如果今天是晴天,明天仍是晴天的機率為0.7,如果今天是雨天,明天仍是雨天的機率為0.6,依照此數學模型,晴天雨天之比值會趨於穩定,求出此比值。
5.求出此集合的最小值。
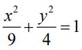
6.計算橢圓內接四邊形的最大面積。
7.調整球內接圓柱的尺寸,使得圓柱有最大的體積,計算此時球對圓柱的半徑比值。
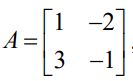
8.設,計算A4-2A3+3A2-A.
9.下圖為連續函數f的部分圖形,定義另一函數g如下:
計算函數g在x=2的導數.
10.某校想知道學生曾經在段考中作弊的比例,以隨機化回答技術(RandomizedResponseTechnique,RRT)抽測100位學生:
(1)請投擲兩枚公平硬幣。
(2)若編號1的硬幣為正面,回答
由於只有受測者知道自己投擲硬幣的結果,他人無從得知受測者回答哪一個問題,也就無從得知受測者是否曾在段考中作弊,因此保護了學生的隱私。
假設抽測結果有35位學生回答「是」,估計該校學生曾在段考中作弊的百分比。
二、計算題為設計可在Geogebra或Desmos用滑桿控制的動態圖形:讓單位拋物線(正焦弦長為1)繞著其焦點旋轉(自轉),而其焦點同時繞著單位圓x2+y2=1旋轉(公轉),下圖是4組不同滑桿數值(參數)所呈現的圖形,參數β表示拋物線公轉的相位(phase),參數表示焦點在單位圓上自轉的相位。
寫出能達到此效果的參數方程式。
三、證明題(請詳列算式於答案卷,否則不予計分)
f為實係數多項式,試證f(f(x))-x可被f(x)-x整除。