所屬科目:土壤力學
(一)請繪製流線網,並計算滲流量(請以 m3/(day●m)表示);須說明所採用計算方法之相關理論推導。(15 分)
(二)何謂管湧(piping)?如何防止土石壩發生管湧破壞?請繪圖舉例說明。 (10 分)
(一)請問此地盤產生 12.5 mm 壓密沉陷量時,經過了多少時間(請以 day表示)?(15 分)
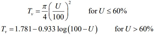
(二)產生 12.5 mm 壓密沉陷量時,二黏土層之平均壓密度 U 分別為多少?(10 分)備註:時間因數 Tv 與平均壓密度 U(%)之關係如下;若條件不足,請自行做合理假設。
(一)請繪圖說明何謂 K0 線?何謂 Kf 線?(6 分)
(二)若某沉積土壤單向度壓密試驗 K0 線之斜率為 0.3,試求該土壤之靜止土壓力係數 K0 值。(7 分)
(三)若某沉積土壤三軸壓密不排水試驗 Kf 線之斜率為 0.5,試求該土壤之摩擦角Φ值。(7 分)
(一)軟弱沖積地盤和堅實地盤之正規化加速度反應譜(response spectrum)有何差別?為什麼?請繪圖並說明之。(10 分)
(二)以設計地震為例,如何由各工址所屬震區之短週期設計水平譜加速度係數,決定土壤液化潛能與損害評估所須之尖峰水平地表加速度 A? 請說明完整流程。(10 分)
(三)請以場址效應觀點,說明高、中、低三種不同液化程度地盤,對上部不同高度建築物受震之可能影響。(10 分)