所屬科目:技師◆作業環境控制工程
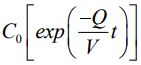
一、整體換氣的效率常以風量或換氣次數(ACH, air changes per hour)來表示,請列式並說明 ACH 的意義。(5 分)在實務上常用追蹤氣體(trace gas)的濃度衰減來估算換氣次數,某場所的空間為長 20 公尺,寬 15 公尺, 高 3 公尺,採用全外氣系統,為了解其換氣次數使用 SF6 做為追蹤氣體,使用風扇使氣體均勻分布,初始濃度為 10 ppm,啟動空調系統經過 30 分鐘後,濃度為 10 ppb,請問其換氣次數為多少?(10 分)該通風系統 風量應該為多少。(10 分) 參考公式 C1=
二、依據特定化學危害預防標準的規定,進行特定化學作業新設局部排氣裝 置應提供設計報告書,依規定報告書中之設計說明應包含那些項目,請逐項列出並說明其重點。(20 分)
三、人因工程常用搬運方程式(NIOSH lifting equation)來評估是否會造成腰部的傷害,在下列狀況:某員工每分鐘抬舉一次 15 kg 的箱子,持續 1.5 小時。箱子的高度為 50 cm,要抬到 100 cm 的桌面,水平移動距離 為 30 cm,身體扭轉角度為 45 度,握持品質為普通。(經查表握持乘 數為 0.95,FM 為 0.88)依照搬運方程式評估請問是否有危害,(15 分) 其改善對策為何?(10 分) 參考公式 RWL = LC ✕ HM ✕ VM ✕ DM ✕ AM ✕ FM ✕ CM LC:23 kg HM:( HM = 25/H )(cm) VM:( VM = 1 - 0.003 | V - 75 | )(cm) DM:( DM = 0.82 + 4.5/D )(cm) AM:( AM = 1 - 0.0032 ✕ A ), FM(Frequency Multiplier):根據抬舉頻率與持續時間由查表得 0.88 CM:由查表得知為 0.95
四、近年夏日炎熱,勞工在高氣溫下工作往往會產生熱疾病,在室外作業時 如遇到高氣溫,應採取那些工程控制方法以降低高氣溫對人體的危害, 請提出 5 種方法並舉例說明。(10 分)
五、某一作業場所中有四部機器,當機器單獨運轉時,其音壓級分別為 75、 90、93、93 dB,若所有機器同時運轉,求總音壓級為多少分貝?(6 分) 如要降低該場所噪音應採用隔音法或吸音法並說明原因。(4 分)
六、生物性危害的發生往往在高防護實驗室(即 BSL3 或 BSL4),為控制高風險的病源或病毒需設計高防護能力的實驗室,以免發生病毒逸散出實驗室,請提出 5 項最重要的防護設施,並說明其主要功能。 (10 分)