阿摩線上測驗
登入
首頁
>
技師◆作業環境控制工程
> 108年 - 108 專技高考_職業衛生技師:作業環境控制工程#80742
108年 - 108 專技高考_職業衛生技師:作業環境控制工程#80742
科目:
技師◆作業環境控制工程 |
年份:
108年 |
選擇題數:
0 |
申論題數:
8
試卷資訊
所屬科目:
技師◆作業環境控制工程
選擇題 (0)
申論題 (8)
一、通風換氣排氣系統的應用可達到那些目的(提示:考慮兩類系統)?(25 分)
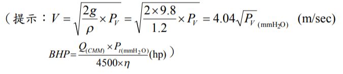
⑴該局部排氣裝置排氣量為多少 m
3
/sec?(5 分)
⑵該局部排氣裝置全壓損為多少 mmH
2
O?(10 分)
⑶該局部排氣裝置排氣機所需之理論動力為多少馬力 hp?(10 分)
⑴在白天時最多可操作多少台,員工噪音暴露才不會大於 65 dB?(10 分)
⑵該工廠最近的鄰居距離 20 m,在夜間時可操作幾台才不會超過 55 dB?(10 分)
四、請說明如何進行作業環境的熱控制。(20 分)
五、設計一辦公室照明,長寬均為 12 m,天花板 3.0 m(作業面高度 0.8 m),請計算其室 指數,(5 分)和照明率。(5 分)〔室指數為 1.5,2.0,3.0,4.0 時,其參數依序的照 明率為 0.58,0.65,0.74,0.78〕
相關試卷
114年 - 114 專技高考_職業衛生技師:作業環境控制工程#133662
114年 · #133662
113年 - 113 專技高考_職業衛生技師:作業環境控制工程#123865
113年 · #123865
112年 - 112 專技高考_職業衛生技師:作業環境控制工程#117642
112年 · #117642
111年 - 111 專技高考_職業衛生技師:作業環境控制工程#111968
111年 · #111968
110年 - 110 專技高考_職業衛生技師:作業環境控制工程#104160
110年 · #104160
109年 - 109 專技高考_職業衛生技師:作業環境控制工程#93306
109年 · #93306
107年 - 107 專技高考 作業環境控制工程#72820
107年 · #72820
106年 - 第二次專技高考/作業環境控制工程#66567
106年 · #66567
104年 - 104年第二次作業環境控制工程#41516
104年 · #41516
103年 - 103年專門職業及技術人員高等建築師、技師、第二次食品技師暨普通不動產經紀人、記帳士考高等_工礦衛生技師#25054
103年 · #25054