所屬科目:技師◆計畫分析方法
⑴產業園區的新增就業人口數?
⑵新增居住人口數?
⑶園區發展穩定後的定居人口數?(15 分)1.就業乘數(含間接與誘發就業) :1.4(即每 1 個基礎就業,帶動 0.4個非基礎就業) 。2.人口/就業比:2(每 1 個總就業對應 2 人口;含受扶養人口) 。3.定住率:60%(5 年內留居於園區周邊者占比) 。
⑴估算四個區位到新設產業園區的直接就業人口數?
⑵實際移居的就業人口數?
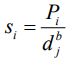
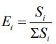
⑶推估引入的人口數?(15 分)1.各區位對產業園區的引力:;就業分配占比2.距離衰減係數: b=23.距離影響各區位到產業園區的移居率 : d≦10 km 為 20% 、10<d≦20 km 為 30%、 d>20 km 為 40%
(一)自行提出農業區釋出的評估準則至少四項,並說明所提各項評估準則的理由。(10 分)
(二)建議一套多準則決策(Multi-criteria Decision Making)評估程序,例如層級分析法(Analytical Hierarchy Process)或加權評分法,並設定假設數據和分析程序,提出三塊農業區釋出的優先順序及計畫建議。 (15 分)
(一)備選用地的因素分析評估式、因素分數?(10 分)
(二)說明選址建議及理由?(10 分)
(一)請說明韓森模式的內容和分析基礎?(10 分)
(二)如果一個地區預測未來會增加 10,000 人,分派至三個住宅分區,在居住條件和建設為均質的基礎下,請以韓森模式為分析工具並依據下表的假設,推估三個住宅分區未來之人口增量?(15 分)