所屬科目:電磁學與電磁波
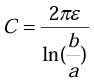
(一)證明該同軸電纜每單位長度的電容(Capacitance)之值為。
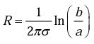
(二)證明該同軸電纜每單位長度的漏電電阻(Leakage resistance)之值為 。
二、如下圖有一個理想金屬做成的中空(ε0, μ0)波導,其橫切面為 a×b 的矩 形,且 2b>a>b,而金屬本身的厚度可忽略。如果此金屬波導必需在單一 模態(Single mode)的條件下工作,請證明其可操作的頻率範圍落在 之間。
(一)如果Φ = (或 90 度),則 ξ 之值應該等於多少?
(二)如果Φ = (或 60 度),則 ξ 之值應該等於多少?
(一)求出在第一個區域中的入射電磁波之波長 λ。
(二)求出在第一個區域中的入射電磁波之角頻率 ω。
(三)在第一個區域中,會有反射波嗎?需證明你的觀點。
(四)求出在第二個區域中,穿透波的電場 之數學表示式。