阿摩線上測驗
登入
首頁
>
電磁學與電磁波
>
114年 - 114 專技高考_電子工程技師:電磁學與電磁波#133706
> 申論題
題組內容
四、如下圖,有一個均勻平面電磁波
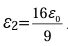
在 z=0 處, 從第一個區域(真空:ε
1
=ε
0
且 μ
1
=μ
0
)中,入射到第二個區域(
且 μ
2
=μ
0
)。
(四)求出在第二個區域中,穿透波的電場
之數學表示式。
相關申論題
(一)證明該同軸電纜每單位長度的電容(Capacitance)之值為。
#557757
(二)證明該同軸電纜每單位長度的漏電電阻(Leakage resistance)之值為 。
#557758
二、如下圖有一個理想金屬做成的中空(ε0, μ0)波導,其橫切面為 a×b 的矩 形,且 2b>a>b,而金屬本身的厚度可忽略。如果此金屬波導必需在單一 模態(Single mode)的條件下工作,請證明其可操作的頻率範圍落在 之間。
#557759
(一)如果Φ = (或 90 度),則 ξ 之值應該等於多少?
#557756
(二)如果Φ = (或 60 度),則 ξ 之值應該等於多少?
#557760
(一)求出在第一個區域中的入射電磁波之波長 λ。
#557761
(二)求出在第一個區域中的入射電磁波之角頻率 ω。
#557762
(三)在第一個區域中,會有反射波嗎?需證明你的觀點。
#557763
五、將總電量為 Q 的靜電荷,均勻地散布在半徑為 R 的空心球的薄球殼上, 假設球殼的厚度可以忽略。請證明在球內部的空心處,任何一點的電場 強度都是 0。
#557778
四、考慮純量場 G=∇• (Φ ) ,其中Φ是任意可微分之純量場,且∇2Φ=0(稱Φ為調和函數);又是靜電場,滿足 ∇✖=0 。假設某一區域 V 是邊長為 a 的立方體,該立方體的邊界外表面為 S,且假設邊界S上電位φ為零,請計算純量場 G 在區域 V 的體積分值Gdv。(25 分)〔說明〕:必須利用以下散度定理和電磁學基本定律等進行推導與計算,否則不予計分。・散度定理:・電場與電位的關係: = -∇φ・靜電場滿足高斯定律: ∇ • = =0 (設區域 V 內無電荷)・向量恆等式:
#527033
相關試卷
114年 - 114 專技高考_電子工程技師:電磁學與電磁波#133706
114年 · #133706
113年 - 113 專技高考_電子工程技師:電磁學與電磁波#123977
113年 · #123977
112年 - 112 專技高考_電子工程技師:電磁學與電磁波#117670
112年 · #117670
111年 - 111 專技高考_電子工程技師:電磁學與電磁波#111953
111年 · #111953
110年 - 110 專技高考_電子工程技師:電磁學與電磁波#104065
110年 · #104065
109年 - 109 專技高考_電子工程技師:電磁學與電磁波#93139
109年 · #93139
108年 - 108 專技高考_電子工程技師:電磁學與電磁波#80692
108年 · #80692
107年 - 107 專技高考_電子工程技師:電磁學與電磁波#73009
107年 · #73009
106年 - 106 專技高考_電子工程技師:電磁學與電磁波#66514
106年 · #66514
104年 - 104 專技高考_電子工程技師:電磁學與電磁波#41840
104年 · #41840