所屬科目:離散數學
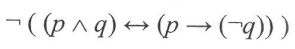
1. (20%) Consider the following logical expression:Find an equivalent expression that is as short as possible.
2. (15%) Show that 120 divides the product of any 5 consecutive positive integers.
3.(15%) Let n be a positive integer. Show that any n(n - 1) + 1 integers must contain n numbers whose sum is divisible by n.
4.(15%) Let gcd(x, y) denote the greatest common divisor of x and y. Find thenumber of integers k ∈ [1, 720] with gcd(k, 720) > 1.
5.(20%) Find the coefficient of x"in the following generating function: [ (1- 2x)(1- 3x) ]-1
6.(15%) Let n be a positive integer greater than or equal to 3. Find the number of subgraphs of an n-vertex complete graph Kn that is isomorphic to a cycle with n vertices.