所屬科目:教甄◆數學
61. 設a1 = 12 × 8, a2 = 102 × 98, a3 = 1002 × 998,a4 = 10002 × 9998,……,依此建立的規則至a20,令S =,求 S 的各位數字之和為多少?(即若S = 3475,則 S的各位數字之和為 19)(A)18 (B)21 (C)24 (D)27
62. 將 10×10×10 的正立方體切成數個 2×2×2 的正立方體。問表面積增加幾倍?(A)5 (B)10 (C)15 (D)20
63. 從 1 到 500 的正整數中,是 5 或 7 的倍數,但不是 11 的倍數,共有多少個?(A)141 (B)142 (C)143 (D)144
64. 設 p 和 q 均為質數,且 7p+3q=167,求 p+q=?(A)53 (B)42 (C)36 (D)25
65. 興興國小的田徑隊成員中,五年級的成員共有 8 人,六年級的成員有 3 人。五年級的成員身高如下:142、142、144、144、146、146、148、148(單位:公分)。如果田徑 隊中所有成員的平均身高是 148 公分,那麼田徑隊中六年級成員的平均身高是幾公 分? (A)148 公分 (B)151 公分 (C)153 公分 (D)156 公分
66. 上數學課時,老師發放各組 5 塊大小相同的立方塊給學生組合形體(需同時用完),此形體組合時需面與面完全相接,若只考量形體是單層的話,組合的形體最大的表面積是 幾平方單位? (A)22 (B)20 (C)18 (D)16
67. 為了布置餐廳,老師利用正方形桌子加以組合布置,如下圖,並在桌邊放上椅子,若將椅子的數目設為 T,桌子數目設為 N,那麼 N 張桌子依此方式組合後,邊上總共需放置 幾張椅子,以下哪個算式是正確的思維? (A)T=4N+2 (B)T=3N+1 (C)T=2N+2 (D)T=4N+1
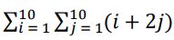
68. 計算 =?(A)375 (B)650 (C)1375 (D)1650
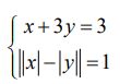
69. 有多少組實數數對(x, y),會同時滿足聯立方程式?(A)1 (B)2 (C)3 (D)8
70. 坐標平面上,有兩條斜率分別是與2 的直線相交於點 A(2,2),又已知這兩直線分別與直線 x+y =10 交於 B、C 兩點,試求△ABC 面積。 (A) (B)6 (C)8 (D)