所屬科目:技檢◆通信技術(電信線路)-乙級
1. 甲光纖核心直徑大於乙光纖之核心直徑,熔接後用 OTDR 量測會發生何種現象? (A)光從甲光纖到乙光纖時會產生增益的軌跡,反過來從乙光纖到甲光纖的損失軌跡 (B)不能熔接 (C)與核心直徑 相同的光纖接續狀況相同,只有極小的損失 (D)光從甲光纖到乙光纖時會產生較小的損失,反過來 從乙光纖到甲光纖的損失較大。
2. 用戶迴路遙測介面隔離器(RLD)NIJ-S-N,其中 S 係指 (A)明線式 (B)水平式 (C)埋入式 (D)垂直式。
3. 下列哪一項水質濃度降低會導致河川魚類大量死亡? (A)生化需氧量 (B)二氧化碳 (C)氨氮 (D)溶氧。
4. RLC 電表無法測量 (A)電流 (B)電感 (C)電阻 (D)電容值。
5. 在天花板內或地板下施行單戶配線時,以使用何種纜線為原則 (A)同軸電纜 (B)宅內被覆線 (C)塑膠 光纜 (D)宅外被覆線。
6. 圓形線規是量導線的 (A)長度 (B)面積 (C)電阻 (D)直徑。
7. 冷氣外洩會造成能源之浪費,下列的入門設施與管理何者最耗能? (A)自動門無氣簾 (B)自動門有 氣簾 (C)全開式有氣簾 (D)全開式無氣簾。
8. 色碼依序為紅紅橙金的電阻器,其值為 (A)3.3k±5%Ω (B)22k±5%Ω (C)33k±5%Ω (D)2.2k±5%Ω。
9. OTDR 所送之脈衝寬度越寬,則 (A)測試距離越遠 (B)OTDR 的動態範圍越小 (C)盲區越小 (D)圖型的 解析度越好。
10. ISND 網路終接器 I 型(NT1)之 ______為對用戶端之介面卡。(A)V 介面 (B)U 介面 (C)S 介面 (D)T 介面
11. 建築物電信線數之估計參考值之單位是 (A)心/公里 (B)對/平方公尺 (C)心/平方公尺 (D)對/公 里。
12. 電信線路之直流障礙不包括 (A)電力感應 (B)短路 (C)斷路 (D)地氣。
13. 函數波產生器最先造成的波形為 (A)正弦波 (B)方波 (C)三角波 (D)脈波。
14. 下圖 A 點對地之電阻值小於該對線路之迴路電阻時,該對線路會
(A)聽到鳴音 (B)會聽到其他客戶 的對話 (C)聽到雜音 (D)失去撥號音。
15. 大雄擔任公司部門主管,代表公司向公務機關投標,為使公司順利取得標案,可以向公務機關的 採購人員為以下何種行為? (A)為社交禮俗需要,贈送價值昂貴的名牌手錶作為見面禮 (B)為避免 報價錯誤,要求提供底價作為參考 (C)為了解招標文件內容,提出招標文件疑義並請說明 (D)為與 公務機關間有良好互動,招待至有女陪侍場所飲宴。
16. 根據消除對婦女一切形式歧視公約(CEDAW)之間接歧視意涵,下列何者錯誤? (A)察覺間接歧視 的一個方法,是善加利用性別統計與性別分析 (B)不論在任何情況下,只要以相同方式對待男性和 女性,就能避免間接歧視之產生 (C)如果未正視歧視之結構和歷史模式,及忽略男女權力關係之不 平等,可能使現有不平等狀況更為惡化 (D)一項法律、政策、方案或措施表面上對男性和女性無任 何歧視,但實際上卻產生歧視女性的效果。
17. 因傳輸模態之路徑不同而引起之色散稱為 (A)極化色散 (B)模態色散(Intermode Dispersion) (C)模內 色散(Intramode Dispersion) (D)材料色散。 全國技術士技能檢定第 1 梯次
18. 有關建築物電信引進管,下列何者敘述有誤? (A)不同路由引進之總配線箱間應具有配管至少兩管 作為互相連接用 (B)建築物內電信管線之引進以單一路由為原則 (C)重要軍政機關、特殊建築物或 單一路由引進不敷所需時,得採分散多路由引進 (D)建築物內電信管線之引進皆以雙路由為原則。
19. 下列何者每次可接續的心數最多 (A)UY 接續子 (B)MT 光纖連接器 (C)FC/PC 光纖連接器 (D)UB 接續 子。
20. 光纖連接器的功用是 (A)兩光纖間之永久接續 (B)整合各光纖元件傳送之光功率 (C)衰減過強之光信 號 (D)光纖與儀器之暫時連接。
21. 下列何者不屬於局限空間內作業場所應採取之缺氧、中毒等危害預防措施? (A)使用柴油內燃機發 電提供照明 (B)進入作業許可程序 (C)測定氧氣、危險物、有害物濃度 (D)實施通風換氣。
22. 電話線路電阻可用 (A)金屬探測器 (B)示波器 (C)三用電表 (D)瓦斯探測器測試出來。
23. 電信地下線路管道上緣與人行道路面最低垂直距離為______公尺。 (A)0.9 (B)1.0 (C)0.5 (D)0.7
24. 下列何者非安全使用電腦內的個人資料檔案的做法? (A)為確保重要的個人資料可即時取得,將登 入密碼標示在螢幕下方 (B)規範不同人員可讀取的個人資料檔案範圍 (C)利用帳號與密碼登入機制 來管理可以存取個資者的人 (D)個人資料檔案使用完畢後立即退出應用程式,不得留置於電腦中。
25. 組成光纖系統的基本組件為 (A)光纖和光接收器 (B)僅有光纖 (C)光源和光纜 (D)光源、光纖及光接收 器。
26. 氣候變遷因應法所稱主管機關,在中央為下列何單位? (A)衛生福利部 (B)國家發展委員會 (C)經濟 部能源署 (D)環境部。
27. 建築物電信管線所用之主配線箱, (A)裝於屋內適當處所,作為水平引進電纜之終端 (B)裝於各樓 板之彎曲管道中間 (C)設於建設物內用於引進管線 (D)設於建築物內各樓作為垂直管線與水平管線 之介面。
28. 1mW 的光信號輸入光纖,該光纖的損失是 20dB,假設沒其他的損失,則其輸出功率是 (A)0.001mW (B)0.10mW (C)0.0001mW (D)0.01mW。
29. 某甲於公司擔任業務經理時,未依規定經董事會同意,私自與自己親友之公司訂定生意合約,會 觸犯下列何種罪刑? (A)詐欺罪 (B)背信罪 (C)侵占罪 (D)貪污罪。
30. 同樣是兩公里之用戶迴路,何者之迴路電阻值最大? (A)0.5 ㎜單一線徑 (B)0.4 ㎜和 0.65 ㎜複合線 徑 (C)0.4 ㎜單一線徑 (D)0.4 ㎜和 0.5 ㎜複合線徑。
31. 我國移動污染源空氣污染防制費的徵收機制為何? (A)隨油品銷售徵收 (B)依照排氣量徵收 (C)依牌 照徵收 (D)依車輛里程數計費。
32. 埋設電信地下管路,主幹管路及引進管引入手孔時,應由手孔之______ 引入,管口並應作喇叭口,並以水泥敷平。(A)長側壁 (B)短側壁 (C)上方 (D)下 方
33. 電纜吊線直線接續時,可用 (A)2 號襯圈型繞線夾 (B)1 號電桿型繞線夾 (C)直線型繞線夾 (D)2 號電 桿型繞線夾。
34. 我國中央勞動業務主管機關為下列何者? (A)勞動部 (B)經濟部 (C)內政部 (D)勞工保險局。
35. 下列何種描述電信地下管路是錯誤 (A)管道埋設深度在人行道,應為 1.2m 以上 (B)管道埋設深度在 巷道,應為 0.7m 以上 (C)管道埋設深度在快、慢車道,應為 1.2m 以上 (D)因特殊情形無法達到規 定埋設深度時,應設計使用鋼管或加強保護之設施。
36. 電話機的送話器是將 (A)聲音信號放大 (B)電信號轉換成聲音 (C)語音轉換成電信號 (D)電信號放大。
37. 架空線路從起始桿至終端桿止,與下列何項設備無關 (A)交接箱 (B)障壁電纜 (C)RA 箱 (D)手孔。
38. 下圖在【建築物屋內外電信設備設置技術規範】圖例中表示
(A)電源插座 (B)電信插座 (C)電視插座 (D)中央集塵插座。
39. 下列何種方式沒有辦法降低洗衣機之使用水量,所以不建議採用? (A)使用低水位清洗 (B)兩、三 件衣服也丟洗衣機洗 (C)選擇有自動調節水量的洗衣機 (D)選擇快洗行程。
40. 電纜心線每一星絞有 (A)一對 (B)四對 (C)三對 (D)兩對。
41. UTP 電纜 Cat 5e 水平配線之永久鏈結最大長度為 (A)90 (B)120 (C)110 (D)80 公尺。
42. 都市中常產生的「熱島效應」會造成何種影響? (A)增加降雨 (B)空氣污染物不易擴散 (C)空氣污染 物易擴散 (D)溫度降低。
43. 有關下圖高拉桿之敘述何者正確?
(A)a 高拉桿 b 正拉線 c 曲線桿 d 副拉線 (B)a 曲線桿 b 正拉線 c 高拉桿 d 副拉線 (C)a 曲線桿 b 正拉線 c 撐桿 d 副拉線 (D)a 曲線桿 b 副拉線 c 高拉桿 d 正拉線。
44. 電纜心線 PE 絕緣的絕緣性已很好,但仍免不了洩漏微弱電流,造成這種現象的是 (A)電阻 (B)電容 (C)電感 (D)電導。
45. ADSL 是指 (A)高速類比用戶線路 (B)高速數位用戶線路 (C)整體數位用戶線路 (D)非對稱型數位用戶 線路。
46. 依據用戶光纜迴路設計規範,用戶光纜以 (A)星狀 (B)環狀 (C)星、網混合 (D)網狀 網路為主。
47. 下列何者不是光纖有線電視之光纖鏈路收發訊機之信號參數? (A)載波拍差 (B)色散 (C)載波雜訊比 (D)dBmV。
48. 有關台灣能源發展所面臨的挑戰,下列選項何者是錯誤的? (A)能源密集度較先進國家仍有改善空 間 (B)自產能源充足,不需仰賴進口 (C)進口能源依存度高,能源安全易受國際影響 (D)化石能源所 占比例高,溫室氣體減量壓力大。
49. 一般光功率計所測得數值的單位是 (A)dB/Km (B)dBc (C)dBm (D)dBr。
50. 建築物內電信電纜配線接續處理時之一般注意事項,下列何者不是? (A)配線電纜及室內線之接續 點不得在配管內,以維持線路品質 (B)管與管間之接續應牢固,其內部應平滑,不得變形 (C)心線 接續前,於電纜外被剝除後,先將心線按色別順序編紮,再行接續 (D)電纜接至 MDF 或其他配線 架,應以成端處理。
51. 頻譜分析儀的本地振盪是一電壓調諧振盪器,其振盪頻率是由 (A)方波 (B)三角波 (C)正弦波 (D)鋸齒 波 所控制的。
52. 下列何種電纜架設時須用到綁線器 (A)自持式架空電纜 (B)圓型架空電纜 (C)過街拉線 (D)架空屋外 線。
53. 機車為空氣污染物之主要排放來源之一,下列何者可降低空氣污染物之排放量:A.將四行程機車 全面汰換成二行程機車;B.推廣電動機車;C.降低汽油中之硫含量? (A)僅 AB (B)僅 AC (C)僅 BC (D)ABC 皆正確。
54. 從事於易踏穿材料構築之屋頂修繕作業時,應有何種作業主管在場執行主管業務? (A)施工架組配 (B)模板支撐 (C)擋土支撐組配 (D)屋頂。
55. 下列何種管道於佈管後會因拉力消失,管身將漸漸緩慢收縮? (A)4" Ph 管 (B)3" Ph 管 (C)3" Pt 管 (D)D-34 可撓管。
56. 有一 10ns 脈衝信號,經過一段光纖傳輸後,該脈衝寬度變為 20ns,這種現象是由於光纖的 (A)色 散 (B)吸收 (C)增益 (D)損失 所造成。
57. 有線廣播電視系統之每一類比電視頻道,訂戶終端的載波雜訊比(C/N)不得小於 (A)53dB (B)50dB (C)46dB (D)43dB。
58. 下列何者非為防範有害物食入之方法? (A)常洗手、漱口 (B)有害物與食物隔離 (C)穿工作服 (D)不在 工作場所進食或飲水。
59. 下列那一人孔之最大收容管數為 16 管?______ 人孔最大收容管數為 16 管。(A)4 號 (B)0 號 (C)2 號 (D)1 號
60. 建築物電信管線之總接地箱通常都設在 (A)大樓最高層 (B)地下最底層 (C)大樓第一層 (D)騎樓下。
61. 建築物屋內外電信設備設置技術規範中,下列敘述何者正確? (A)二條電纜時,電纜的截面積和不 得超過管截面積的 31% (B)二條電纜時,電纜的截面積和不得超過管截面積的 45% (C)三條以上電 纜時,電纜的截面積和不得超過管截面積的 40% (D)宅內配管內佈放一條電纜時,電纜的截面積不 得超過管截面積的 53%。
62. 電纜充氣監視感應器有______等,用以監視電纜充 氣情況之設備。 (A)氣閥 (B)氣壓監視器 (C)氣壓轉換器 (D)氣流轉換器
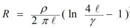
63. 左列接地電阻公式中 (A)ln 表示以 10 為底對數 (B)γ 表示接地棒半徑 (C)ρ 表示大地電阻係數 (D) 表示接地棒長度。
64. 若電信室面積為 10 坪時,可引進電纜總對數為 (A)5000 對 (B)6000 對 (C)1000 對 (D)4000 對。
65. 電信預力水泥桿的水平荷重有 (A)A 級 (B)D 級 (C)B 級 (D)C 級。
66. 下列何者是光纖相較銅纜的優點: (A)較易接續 (B)傳輸速率快 (C)不受電磁干擾 (D)體積較小。
67. 電信架空線路之電桿依用途可分為 (A)高拉桿 (B)撐桿 (C)雙併桿 (D)中間桿。
68. 估計管道式光纜段長時,下列何者正確? (A)中間接續預長,每處人孔約 10 公尺 (B)兩端接續預長 之和為 10 公尺 (C)曳引端預長預留 0.5 公尺 (D)人孔內彎曲預長,每處人孔以 0.5 公尺計算。
69. 電纜充氣機室須有足夠面積裝設 (A)氣壓表 (B)配氣盤 (C)電源箱 (D)充氣機。
70. 依據有線廣播電視系統工程技術管理規則系統之架空纜線電桿之吊線接地規定,下列哪些正確? (A)每段架空線路的第一及最後一支電桿 (B)接地裝置之接地電阻應小於十五歐姆 (C)架空線路連續 十支電桿以上時,每十支電桿至少設置一處接地 (D)裝置地下引上之電桿、裝置有線電視放大器及 電源供應器之電桿、裝置電力變壓器之共架桿應接地。
71. 電纜芯線 1 公里迴路電阻的量測要項是 (A)一對一公里長之銅線所量得的電阻 (B)在電纜內一對扭 絞之芯線一公里長 (C)在開路端用三用表所量測而得之電阻 (D)一端短路,一端開路。
72. 將擬佈放光纜繪製光纜單線圖,下列何項資料須標示於光纜單線圖? (A)現有用戶端引進點 (B)預 留分歧接續點 (C)路由經過之道路名稱 (D)人孔名稱及編號。
73. 通信電纜的一次常數是指 (A)衰減常數 (B)電導 (C)電容 (D)電阻。
74. 地下線路不會經過下列那一項設備? (A)DJ 箱 (B)RA 箱 (C)人孔 (D)交接箱。
75. 充氣電纜之心線,以其電阻換算成距離時,下列那些項目需列入考慮? (A)扭絞長度 (B)溫度 (C)線 徑 (D)氣壓。
76. 下列哪些屬光纖連接損失的本質特性,非與工程人員接續施工品質相關 (A)兩心未對準 (B)端面有 切角 (C)兩心核心直徑不同 (D)兩心折射率不同。
77. 有關 A-06 之箱體敘述,下列何者正確? (A)箱體深度 10 ㎝ (B)適用於拖線箱 (C)適用於總配線箱 (D) 箱體深度 14 ㎝。
78. 有關電信架空線路之電桿與拉線所成的角度,下列敘述何者正確? (A)標準值為 30° (B)標準值為45° (C)不能小於 30° (D)不能大於 56°。
79. 有關建築物內電信管線之引進,下列敘述何者正確? (A)電纜與光纜得佈放於同一引進管 (B)光纜 引進管至少設計一管 (C)架空引進時以一管為限,超過時應改為地下引進 (D)光纜管徑為 52 ㎜。
80. 有關建築物內電信管線之引進,下列敘述何者正確? (A)透天式獨戶建築之電信管線,得集中二至 八戶設一集中引進管 (B)不同路由引進之總配線箱(架、板)間應具有線架、配管至少兩管作為互 相連接用 (C)重要軍政機關、特殊建築物或單一路由引進不敷所需時,得採分散多路由引進 (D)應 採雙路由引進