所屬科目:教甄◆生物專業
1.tropism
2.molecular clock
3.character displacement
4.flagship species
5.genetic flow and genetic drift
1.試著從誘因、作用過程及細胞型態變化加以說明autophagy與apoptosis的差異。
2.人類腫瘤的發生一半以上都與p53基因突變有關,請說明p53基因的功能。
3.請舉出現今癌症治療,有關免疫療法的策略。
1.細胞分裂的次數增加,染色體端粒(telomere)變短的原因?
2.DNA複製的過程需要解旋酶(helicase)及引子(primer)的參與,但為何轉錄的過程卻都不需要呢?
3.限制酶(restriction enzyme)來自細菌,主要功能是切割外來DNA(如噬菌體DNA),避免病毒感染。然而,細菌自身的DNA也可能含有相同的識別序列,為什麼不會被切割呢?
1.在課堂中,學生經常問起,自然界中DNA為何是右旋,難道沒有左旋的嗎?你該如何回答。
2.鏡像分子L-DNA及L-RNA在生物技術開發的潛在應用價值為何。
1.說明葡萄糖、cAMP與CAP的關聯性。
2.甲、乙、丙、丁四組中,Lac Operon結構基因表達最高的是哪一組? 甲:高葡萄糖/低乳糖;乙:高葡萄糖/高乳糖;丙:低葡萄糖/低乳糖;丁:低葡萄糖/高乳糖
2.甲、乙、丙、丁四組中,Lac Operon結構基因表達最高的是哪一組? 甲:高葡萄糖/低乳糖;乙:高葡萄糖/高乳糖;丙:低葡萄糖/低乳糖;丁:低葡萄糖/高乳糖3.續上題,說明Lac Operon的調控機制。
1. 將 C3 型水稻改良為 C4型水稻能解決哪些問題?
2.請推測並說明如果要將C3型水稻改良為C4型水稻應該怎麼調整MYBS2及α-澱粉水解酵素的表現?
六、 生命的起源1.雷迪的腐肉生蛆是生源說與無生源說(自然發生說)初期的重要實驗,為什麼無法完全證實生源說或推翻無生源說?
(1).根據特里福諾夫與NASA對生命的定義,請問此兩個定義都強調了生命的哪些核心特徵?
(2).承上題,符合生命特徵的生命起源應該是什麼樣貌?請從化學分子與功能等進行說明。
七、「綠色植物在紅光(波長 660nm)和紅外線(波長>680nm)分別照射下,各有各自的光合作用效 率。但植物在這二種光同時照射下,它們的光合作用效率遠大於這二種光單獨照射時的光合作用 效率的總和。」請解釋為什麼同時照射紅光與遠紅光的光合作用效率遠大於這二種光單獨照射時的光合作用效率的總和?
1.世代交替是學習植物學重要的主題之一,為呼應108課綱,教學內容與過程應該要強調哪些重點?
2. 水母也有世代交替,其生活史簡述如下:「雌性水母在海水中產生卵,並釋放到海洋中,卵受精後發育成浮浪幼蟲 (planula larva) ,這是一種自由游動、扁平、具纖毛且對稱的幼體。浮 浪幼蟲隨後定居於海底,並發育成水螅體群體 (polyp colonies) ,也被稱為水螅蟲(hydroids) 。水螅蟲會產出約 1 毫米大小的幼水母。幼水母以浮游生物為食並開始成長,在幾 週後,它們逐漸性成熟,成為成體水母 (medusa) 。」請比較水母與植物的世代交替有何異同?
1.繪圖說明骨骼肌收縮的原理。 (須包含運動神經元軸突、運動終板、鈣離子、肌漿網、肌動蛋白、肌球蛋白)
2.參考下圖,說明為何骨骼肌可以強直收縮,而正常心肌無法強直收縮? (4 分) (須提及絕對不反應期及相關離子機制,並推論心肌無法強直收縮具有何生理意義)
1.簡易比較交感神經與副交感神經的主要神經傳遞物質及其在目標器官上產生的EPSP(興奮性突觸後電位)或IPSP(抑制性突觸後電位)作用。
2.說明Cl⁻通道在鎮靜劑中的作用原理。
十一、以嬰兒吸吮母親乳頭及哺乳期停經為例,作圖搭配文字說明來解釋激素的正回饋(positive feedback)及負回饋(negative feedback)機制。
十二、製作一個圖表來比較ADCC(Antibody-Dependent Cell-Mediated Cytotoxicity)和CDC(Complement-Dependent Cytotoxicity)的異同處。
十三、腎臟透過腎元調節水分與電解質的再吸收,其中亨利氏環的逆流機制(Countercurrent Mechanism)在尿液濃縮過程中扮演關鍵角色,請說明此機制如何影響滲透壓梯度。
1.你會如何跟學生解釋大部分生產者吸收的含氮化合物形式是NH4+和NO3-?
2.一般而言,植物體對NH4+的耐受度相較於NO3-要低,請說明NH4+造成的毒害及植物體的調節機制。
1.繪圖說明miRNA的作用機制。
2.siRNA與miRNA有什麼不同。
3.若綜整上述兩小題的內容為一篇簡單的閱讀文本,請搭配選修生物「基因的表現與調節」章節內容,出一題五個選項的多選題,並寫出參考答案與詳解。
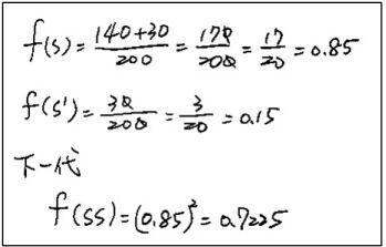
1.以下為期中考題目:某人類族群之中,成人且帶有鐮形血球性狀(SS')的比例為30%、正常血球性狀(SS)的比例為70%,請問若此族群之等位基因頻率未改變,下一代成年時,正常血球性狀的基因型頻率為何?下圖為小明回答此題的計算過程,請協助他訂正錯誤。
2.美國波士頓的九歲小女孩哈瑞斯,從雙親身上遺傳到導致鐮狀細胞疾病的突變基因,但完全看不出有任何健康問題。哈瑞斯運氣會這麼好,是因為她還遺傳了另一個基因突變,導致哈瑞斯的血紅素含有 20%的胎兒血紅素,但大多數健康成年人,血紅素只有 1%是胎兒血紅素。美國 FDA 在 2023 年 12 月核准 CRISPR 療法用來治療鐮型血球貧血症。請參考下圖,從改變胎兒血紅素表現來說明此治療方法的概念為何?