阿摩線上測驗
登入
首頁
>
技檢◆化工-丙級
> 114年 - 12300 化工 丙級 工作項目 05:單元操作 1-50(2025/12/17 更新)#135100
114年 - 12300 化工 丙級 工作項目 05:單元操作 1-50(2025/12/17 更新)#135100
科目:
技檢◆化工-丙級 |
年份:
114年 |
選擇題數:
50 |
申論題數:
0
試卷資訊
所屬科目:
技檢◆化工-丙級
選擇題 (50)
1. 在基本因次中,以 L 表長度,M 表質量,θ表時間,則黏度的因次是 (A)
(B)
(C)
(D)
。
2. 不可壓縮之牛頓流體在圓管中層流時之平均速度,是等於最大速度之 (A)1/8 (B)1/4 (C)1/2 (D)2/3 。
3. 不可壓縮的流體在圓管內流動時,流速之最大處是位在 (A)管壁處 (B)離管中央之 1/2 處 (C)離管中央之 1/3 處 (D)管中央處 。
4. 密度為ρ黏度為μ的流體,流經內徑為 D 的圓管,其流速為 u,則雷諾數(Reynolds number)為 (A)
(B)
(C)
(D)
。
5. 一般自來水公司之水錶所測定之流量為 (A)平均速度 (B)最大速度 (C)體積流率 (D)質量流率 。
6. 流體在圓管中呈層流流動,則雷諾數(Reynolds number, Re)的範圍為 (A)Re<2100 (B)2100<Re<4000 (C)4000<Re<10000 (D)Re>10000 。
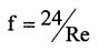
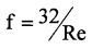
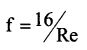
7. 若流體在圓管中呈層流流動,則摩擦係數(f)與雷諾數(Re)之關係為 (A)
(B)
(C)
(D)
。
8. 下列流量計中,何者可以測定管道中斷面各點之速度 (A)浮子流量計 (B)文氏流量計 (C)孔口板流量計 (D)皮托管 。
9. 一般化工廠中使用最廣之圓管是為 (A)不銹鋼管 (B)鋼管 (C)鑄鐵管 (D)銅管 。
10. 流體在流經下列何種閥時,因流動方向改變較大,致流體的摩擦損耗通常很大? (A)單向閥 (B)旋塞 (C)球閥 (D)閘閥 。
11. 最適合用於食品工業的管子是 (A)鉛管 (B)銅管 (C)不銹鋼管 (D)鋁管 。
12. 在流體輸送中,為防止流體回流需要安裝 (A)安全閥 (B)單向閥 (C)閘閥 (D)球閥 。
13. 用於封閉管端之管件為 (A)管套節 (B)肘管 (C)管帽 (D)T形管 。
14. 依據柏努利方程式(Bernoulli equation)的流體系統,下列敘述何者錯誤 (A)流體不可壓縮性 (B)流體無黏性 (C)流體過程無摩擦損失 (D)流體對外界作功 。
15. 當 20℃的水在圓管內流動且雷諾數等於 1000 時,則水與管壁之摩擦係數是為多少? (A)0.001 (B)0.016 (C)0.05 (D)0.128 。
16. 用來改變管線流體方向的管件是 (A)肘管 (B)管帽 (C)管套節 (D)異徑接頭 。
17. 可用來精確控制流體流量大小的管件為 (A)單向閥 (B)安全閥 (C)閘閥 (D)球閥 。
18. 當高壓瓶內的高壓氣體在被放出時,通常都需要經過何種閥 (A)安全閥 (B)止回閥 (C)減壓閥 (D)蝴蝶閥 。
19. 往復泵之總效率為 (A)容積效率×水缸效率 (B)容積效率×壓力效率 (C)容積效率÷水缸效率 (D)水缸效率×壓力效率 。
20. 泵出之流體的流量均勻、壓力平穩且效率又高的泵浦是為 (A)往復泵浦 (B)旋轉式泵浦 (C)離心式泵浦 (D)膜片式泵浦 。
21. 何種型式的壓縮機,其出口壓力最高且每段的壓縮比亦可達到最高 (A)往復式 (B)離心式 (C)旋轉式 (D)鼓風式 。
22. 往復式泵浦之泵出量會呈波浪狀,因此都在其出口管線上裝設何種裝置以降低脈動現象? (A)壓力控制器 (B)流量控制器 (C)放洩閥 (D)空氣室 。
23. 常置於卡車上用以運輸酸或鹼溶液的特殊泵裝置為 (A)真空泵 (B)酸蛋 (C)壓縮機 (D)離心泵 。
24. 欲輸送氣體並使其壓力由原來的 1 大氣壓增高至 10 大氣壓時,應該使用(A)風扇 (B)抽風機 (C)鼓風機 (D)壓縮機 。
25. 在化工廠用以輸送高壓或含毒性流體的管線,為顧及強度與防漏需要,常用何種接合方式 (A)螺旋接合 (B)凸緣接合 (C)銲接接合 (D)插套接合 。
26. 會發生氣縛現象(Air binding)的泵浦是 (A)離心泵浦 (B)旋轉泵浦 (C)往復泵浦 (D)酸蛋 。
27. 何種真空泵浦因可採用耐腐蝕性的金屬來製造,故可用於酸、鹼氣體的抽真空 (A)離心式 (B)噴射式 (C)擴散式 (D)旋轉式 。
28. 何種的旋轉泵在泵送流體時,可以產生最高的壓力? (A)螺旋泵 (B)滑葉泵(C)齒輪泵 (D)凸輪泵 。
29. 下列各泵浦中,何者尚兼具計量功能? (A)氣升器 (B)真空泵 (C)離心泵 (D)齒輪泵 。
30. 下列何種泵無滲漏之疑慮? (A)柱塞泵 (B)盤塞泵 (C)隔膜泵 (D)滑葉泵 。
31. 物質熱傳導度大小的次序為 (A)金屬>非金屬>氣體 (B)氣體>液體>金屬(C)液體>金屬>氣體 (D)液體>氣體>金屬 。
32. 流體因熱脹冷縮現象所產生的傳熱現象稱為 (A)強制對流 (B)自然對流 (C)傳導 (D)輻射 。
33. 用熱電偶來測量燃燒爐中流體的溫度時會有誤差,該誤差主要係因何者引起? (A)熱傳導 (B)熱對流 (C)熱輻射 (D)流體之流動 。
34. 輻射之最大波長與絕對溫度之乘積為常數的關係式稱為 (A)牛頓定律(Newton's law) (B)傅立葉定律(Fourier's law) (C)克希荷夫定律(Kichhoff'slaw) (D)懷恩位移定律(Wien's displacement law) 。
35. 下列各項之敘述何者錯誤? (A)任何物體只要溫度高於絕對零度時就會有輻射現象 (B)黑體和灰體之放射度與其吸收度均相等,且與外界的溫度無關(C)有傳導和對流存在時,輻射就不會發生 (D)輻射作用中反射率、吸收率與穿透率三者之和等於 1 。
36. 熱量傳送推動力是為 (A)電位差 (B)溫度差 (C)濃度差 (D)壓力差 。
37. 沸騰時若液體主體的溫度低於飽和溫度,此時之沸騰現象稱為 (A)過冷沸騰(B)核泡沸騰 (C)表面沸騰 (D)薄膜沸騰 。
38. 流體在器壁的薄膜厚度是與下列何項成反比? (A)流體種類 (B)流體黏度 (C)流體流速 (D)器壁之厚度 。
39. 計算套管熱交換器之熱交換速率時,所採用之冷、熱流體之溫度差時,要採用 (A)算術平均溫度差 (B)對數平均溫度差 (C)幾何平均溫度差 (D)出口端溫度差 。
40. 對於雙套管熱交換器冷、熱流體的流動方式,何者的熱傳效率較高 (A)逆流式 (B)順流式 (C)兩者相同 (D)不一定 。
41. 食品工業常用來高溫瞬間消毒之熱交換器為 (A)管殼式 (B)板式 (C)套管式 (D)蝸旋式 。
42. 不需介質即可進行熱傳送的方式為 (A)輻射 (B)自然對流 (C)強制對流 (D)傳導 。
43. 在冷凍系統中之熱量傳送,主要是利用冷媒之 (A)顯熱 (B)昇華熱 (C)解離熱(D)汽化熱 。
44. 在圓管之對流熱傳中,設 h 為對流熱傳係數,D 為管徑,K 為流體之熱傳導度,則納塞數(Nusselt number, Nu)為 (A)
(B)
(C)
(D)
。
45. 在常溫常壓下,空氣之普蘭特數(Prandtl number, Pr)約為 (A)0.7 (B)10 (C)70(D)100 。
46. 管殼式熱交換器裝設折流板的目的是在於 (A)增加流速 (B)過濾固體微粒 (C)增加熱輸送面積 (D)減低阻力 以提高熱量傳送的效率。
47. 具有相變化之熱量傳送現象為 (A)傳導 (B)對流 (C)輻射 (D)沸騰 。
48. 當傳熱面積較小時,宜採用何種熱交換器才合乎經濟效益? (A)管殼式 (B)雙套管式 (C)螺旋板式 (D)鰭片狀式 。
49. 有關 2-4 管殼式熱交換器中的流體流動之敘述,下列何項正確 (A)有二個殼程和四個管程 (B)有四個殼程和二個管程 (C)殼內橫流四趟和管內橫流二趟(D)殼內橫流二趟和管內潢流一趟 。
50. 在管殼式熱交換器進行流體之加熱或冷卻時,其中所包含的熱傳方式為 (A)傳導+輻射 (B)傳導+對流 (C)對流+輻射 (D)傳導+對流+輻射 。
申論題 (0)
相關試卷
114年 - 12300 化工 丙級 工作項目 08:化工廠管理 1-27(2025/12/17 更新)#135106
114年 · #135106
114年 - 12300 化工 丙級 工作項目 06:工業儀器 1-61(2025/12/17 更新)#135105
114年 · #135105
114年 - 12300 化工 丙級 工作項目 05:單元操作 201-235(2025/12/17 更新)#135104
114年 · #135104
114年 - 12300 化工 丙級 工作項目 05:單元操作 151-200(2025/12/17 更新)#135103
114年 · #135103
114年 - 12300 化工 丙級 工作項目 05:單元操作 101-150(2025/12/17 更新)#135102
114年 · #135102
114年 - 12300 化工 丙級 工作項目 05:單元操作 51-100(2025/12/17 更新)#135101
114年 · #135101
114年 - 12300 化工 丙級 工作項目 04:質能均衡 1-38(2025/12/17 更新)#135099
114年 · #135099
114年 - 12300 化工 丙級 工作項目 03:工業化學 101-129(2025/12/17 更新)#135098
114年 · #135098
114年 - 12300 化工 丙級 工作項目 03:工業化學 51-100(2025/12/17 更新)#135097
114年 · #135097
114年 - 12300 化工 丙級 工作項目 03:工業化學 1-50(2025/12/17 更新)#135096
114年 · #135096