阿摩線上測驗
登入
首頁
>
技檢◆化工-丙級
> 114年 - 12300 化工 丙級 工作項目 05:單元操作 151-200(2025/12/17 更新)#135103
114年 - 12300 化工 丙級 工作項目 05:單元操作 151-200(2025/12/17 更新)#135103
科目:
技檢◆化工-丙級 |
年份:
114年 |
選擇題數:
50 |
申論題數:
0
試卷資訊
所屬科目:
技檢◆化工-丙級
選擇題 (50)
151. 從石油提煉汽油時,一般採用何種蒸餾方法? (A)平衡蒸餾 (B)共沸蒸餾 (C)精餾 (D)水蒸氣蒸餾 。
152. 在混合氣體中,苯之分壓為 300 ㎜ Hg,甲苯之分壓為 200 ㎜ Hg,則在混合蒸氣中,苯之莫耳分率為 (A)0.25 (B)0.40 (C)0.60 (D)0.75 。
153. 利用溶劑將魚肝中之魚油提出的操作稱 (A)蒸發 (B)蒸餾 (C)萃取 (D)吸收 。
154. 在何種單元操作其理論計算之操作線恆在平衡線之上方? (A)吸收 (B)蒸發(C)蒸餾 (D)萃取 。
155. 在氣體吸收操作中,何種因素會使平衡曲線向上彎曲? (A)壓力增加 (B)溫度升高 (C)氣液流率比增加 (D)溫度降低 。
156. 煉油廠排放的廢氣中如含有硫化氫(H2S)有毒氣體,可利用何種操作方法除去? (A)蒸發 (B)蒸餾 (C)萃取 (D)吸收 。
157. 由酒精稀薄水溶液分離出酒精,可採用何種操作方法? (A)萃取 (B)吸收 (C)蒸餾 (D)乾燥 。
158. 精餾塔的上半段操作程式為 (A)增濃段 (B)汽提段 (C)進料段 (D)重沸段 。
159. 蒸餾塔所需的理想板數與回流比有關,當回流比增大時,則所需的理想板數 (A)增加 (B)減少 (C)不變 (D)不一定 。
160. 蒸餾塔內之溫度分佈由塔頂到塔底的變化為 (A)減少 (B)增加 (C)不變 (D)不一定 。
161. 有一精餾塔之實際板數為 24,已知理想板數為 19,則總板率為 (A)60% (B)65% (C)70% (D)75% 。
162. 有一精餾塔採全回流操作,則 (A)塔頂產品增加 (B)塔頂產品減少 (C)無塔頂產品 (D)塔頂產品濃度增加 。
163. 在蒸餾塔操作時,如要提高塔頂產品的濃度,可選擇何種操作方法? (A)減小回流比 (B)提高操作溫度 (C)增加板數 (D)加入第三成分 。
164. 在質量傳送中,擴散度(D
AB
)的單位是 (A)m
3
/hr (B)㎡/hr.kg (C)kg/hr.m (D)㎡/hr 。
165. 在高壓容器中,為防止壓力超過負荷而爆炸,應加裝何種閥? (A)安全閥(B)單向閥 (C)減壓閥 (D)球閥 。
166. 在氣體吸收操作時,液體吸收劑的選擇何者為錯誤? (A)揮發性低 (B)黏度低 (C)價格低 (D)對氣體溶質的溶解度低 。
167. 氣體吸收塔中填充物的選擇原則何者為正確? (A)比表面積小 (B)空隙率小(C)機械強度高 (D)材料重量高 。
168. 每單位質量乾空氣中所含水蒸氣的質量稱 (A)溫度 (B)溼度 (C)黏度 (D)密度 。
169. 在某一溫度下,空氣中所含水蒸氣的分壓與同溫下飽和水蒸氣壓之比稱 (A)濕度 (B)飽和濕度 (C)相對濕度 (D)百分濕度 。
170. 在物料中,不能經由乾燥操作除去的水分稱 (A)自由水分 (B)平衡水分 (C)總含水分 (D)總質量 。
171. 固體物料在恆速乾燥期間,固體表面的溫度等於 (A)濕球溫度 (B)乾球溫度(C)絕熱溫度 (D)飽和溫度 。
172. 盤式乾燥機(Tray dryer)因裝置所需人力較多,適用於乾燥何種物料? (A)水泥、穀類 (B)蔗糖、食鹽 (C)布匹、紙張 (D)染料、藥物 。
173. 流體化乾燥機(Fluidized dryer)可適用於乾燥何種物料 (A)水泥 (B)蔗糖 (C)布匹 (D)染料 。
174. 同一物質析出之晶體大小可能不同,但各對應之夾角相等而成為幾何相似形,這種結晶的特性稱 (A)邁耶理論 (B)斐克定律 (C)赫夷法則 (D)傅立葉定律 。
175. 在高黏度的溶液中,如要促進結晶的生長,要改變何種操作因素? (A)提高壓力 (B)加入雜質 (C)加入晶種 (D)加以攪拌 。
176. 在減積操作中,減積所做的功與物質產生的面積成正比,稱為 (A)力丁格定律(Rittinger's law) (B)龐德定律(Bond's law) (C)邁耶理論(Miertheory) (D)赫夷法則(Law of Hauy) 。
177. 將物料減積至幾十微米(μm)粒徑細粉的操作,稱為 (A)壓碎 (B)粉碎 (C)切削(D)研磨 。
178. 固體硬定之莫氏硬標,以金剛石為 (A)100 (B)10 (C)5 (D)1 作為標準。
179. 固體與固體藉由粒徑不同來分離,稱為 (A)類析 (B)篩選 (C)浮選 (D)磁分 。
180. 在恆速過濾中,操作壓力會隨著過濾時間而 (A)遞減 (B)遞增 (C)不變 (D)不一定 。
181. 牛頓流體(Newtonian fluid)在一水平無限長圓形管中以層流流動達穩定時,下列敘述何者錯誤?(假設流體在接觸管壁處無滑動現象) (A)管中心處的流速為最大 (B)管壁表面處的剪應力(shear stress)為最大 (C)管中流體由剪應力產生的動量輸送是由管中心向管壁傳遞 (D)管中流體之速度分佈中的最大速度為其平均速度的兩倍 。
182. 下列有關可壓縮與不可壓縮流體的敘述,何者正確? (A)液體必為不可壓縮流體 (B)氣體為不可壓縮流體 (C)蒸氣為不可壓縮流體 (D)流體之可壓縮與否與其密度變化有關,視當時之溫度、壓力而定 。
183. 有關物體熱輻射的吸收係數(absorptivity)α與放射係數(emissivity)ε,下列敘述何者為錯誤? (A)黑體(black body)的α與ε值均等於 1 (B)任何物體與外界達到熱平衡時,其α與ε值相等 (C)灰體(gray body)之ε值小於 1 (D)灰體的α與ε值均為溫度與波長的函數 。
184. 關於一般可逆反應 (不包括核子反應),下列敘述何者正確? (A)當反應達到穩態時,正逆反應停止進行 (B)反應前後,總莫耳不會改變 (C)反應前後,溫度不會改變 (D)反應前後,總質量不會改變 。
185. 20℃ 的水(密度為 1 克/立方公分,黏度為 1 厘泊),流經一直徑為 5 公分圓管,已知水的平均流速為每秒 10 公分,則雷諾數(Reynolds number,Re)為 (A)2660 (B)5000 (C)6770 (D)8440 。
186. 關於離心泵,下列敘述何者錯誤? (A)石油、化學工業中廣泛應用的一種液體輸送機械 (B)啟動方式是先將泵內充滿空氣,然後啟動電機 (C)主要是依靠高速旋轉的葉輪產生的離心力輸送液體 (D)操作方式是藉離心力將流體沿半徑方向逐出泵外 。
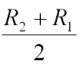
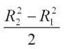
187. 某流體沿水平套管中流動,已知內管半徑與外管半徑分別為 R
1
與 R
2
。若依據水力半徑(hydraulic radius)=
且不計入內外管管壁厚度,則套管中流動的水力半徑為: (A)
(B)
(C)
(D)
。
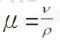
188. 關於黏度μ與動黏度ν,下列敘述何者正確? (A)二者的關係為
,其中為流體密度ρ (B)黏度的單位可表示為
(C)黏度的單位可表示為
,其中 N 表示牛頓 (D)動黏度的單位可表示為
。
189. 對於多效蒸發器與單效蒸發器比較,下列敘述何者錯誤? (A)可以減少蒸氣消耗量 (B)會增加設備成本 (C)可以提高經濟效益 (D)會增加蒸發量 。
190. 下列何種閥主要用於蒸氣機及滑輪機上作為阻流閥及旁通閥? (A)安全閥(B)針閥 (C)閘閥 (D)球閥 。
191. 關於管與管件,下列敘述何者錯誤? (A)管按其材料之不同,可分為金屬管與非金屬管 (B)管的絕對粗糙度 (或粗面度) 以ε表示時,通常ε是指管壁上突出之平均高度 (C)鑄鐵管的粗面度會小於橡皮軟管 (D)管件是作為改變管道直徑、方向及引出支管等 。
192. 關於往復泵,下列敘述何者錯誤? (A)主要由泵缸、活塞和單向活門組成(B)可用於輸送含有顆粒的液體 (C)當活塞在一個泵缸內往返一次,吸液和排液各進行一次,稱為單缸單動泵 (D)當泵內的流量不均勻時,可藉裝置空氣室 (air chamber) 改善 。
193. 下列何者的對流熱傳係數最大? (A)空氣自然對流 (B)空氣強制對流 (C)水自然對流 (D)水沸騰 。
194. 下列無因次群中,何者與自然對流有關? (A)格拉斯霍數(Grashofnumber,Gr) (B)史密特數(Schmidt number,Sc) (C)普蘭特數(Prandtlnumber,Pr) (D)韋伯數(Weber number,We) 。
195. 10%氯化鈉水溶液(
) 以 1000 Kg/hr 進入某一單效蒸發器進行濃縮,若濃縮液為 50%
,則水的蒸發速率為多少 kg/hr? (A)500 (B)800 (C)900 (D)1200 。
196. 工業用長方體耐火爐,爐壁厚 0.25m,爐壁的熱傳導係數κ= 0.05 W/m.K。已知爐壁這一端溫度保持在 800℃,且穩態下一維熱傳送流通量為 150W/m
2
,試求爐壁另一端溫度為多少℃? (A)25 (B)50 (C)100 (D)150 。
197. 下列何者不是基本因次? (A)長度 (B)質量 (C)速度 (D)時間 。
198. 下列何者為擴散係數的單位 (A)cm
2
/s (B)mol/cm
2
‧s (C)mol/cm
2
(D)mol/cm‧s 。
199. 下列何種金屬製容器散熱最慢? (A)銅 (B)鐵 (C)不鏽鋼 (D)銀 。
200. 某單效蒸發器將質量分率為 0.2 的氫氧化鈉水溶液濃縮至 0.5,若進料液流量為 5000kg/h,試問其蒸發量為多少 kg/h? (A)1000 (B)1500 (C)250 (D)3000 。
申論題 (0)
相關試卷
114年 - 12300 化工 丙級 工作項目 08:化工廠管理 1-27(2025/12/17 更新)#135106
114年 · #135106
114年 - 12300 化工 丙級 工作項目 06:工業儀器 1-61(2025/12/17 更新)#135105
114年 · #135105
114年 - 12300 化工 丙級 工作項目 05:單元操作 201-235(2025/12/17 更新)#135104
114年 · #135104
114年 - 12300 化工 丙級 工作項目 05:單元操作 101-150(2025/12/17 更新)#135102
114年 · #135102
114年 - 12300 化工 丙級 工作項目 05:單元操作 51-100(2025/12/17 更新)#135101
114年 · #135101
114年 - 12300 化工 丙級 工作項目 05:單元操作 1-50(2025/12/17 更新)#135100
114年 · #135100
114年 - 12300 化工 丙級 工作項目 04:質能均衡 1-38(2025/12/17 更新)#135099
114年 · #135099
114年 - 12300 化工 丙級 工作項目 03:工業化學 101-129(2025/12/17 更新)#135098
114年 · #135098
114年 - 12300 化工 丙級 工作項目 03:工業化學 51-100(2025/12/17 更新)#135097
114年 · #135097
114年 - 12300 化工 丙級 工作項目 03:工業化學 1-50(2025/12/17 更新)#135096
114年 · #135096