阿摩線上測驗
登入
首頁
>
技檢◆農田灌溉排水-灌溉水質管理及檢驗項-乙級
> 114年 - 15704 農田灌溉排水─灌溉水質管理及檢驗項 乙級 工作項目 02:執行管理作業 1-58(2025/12/23 更新)#135589
114年 - 15704 農田灌溉排水─灌溉水質管理及檢驗項 乙級 工作項目 02:執行管理作業 1-58(2025/12/23 更新)#135589
科目:
技檢◆農田灌溉排水-灌溉水質管理及檢驗項-乙級 |
年份:
114年 |
選擇題數:
58 |
申論題數:
0
試卷資訊
所屬科目:
技檢◆農田灌溉排水-灌溉水質管理及檢驗項-乙級
選擇題 (58)
1. 灌溉水質管理作業設置之監視總站在 (A)農田水利署各管理處 (B)水利處 (C)農業部 (D)財團法人農田水利人力發展中心 。
2. 灌溉水質管理作業設置之地方監視站在 (A)農田水利署各管理處 (B)水利工作站 (C)水利小組 (D)農田水利署各管理處分處 。
3. 灌溉水源水質監視點應設立於 (A)放入口 (B)進水口 (C)污染源流入點 (D)任意選點 。
4. 灌溉水質檢驗結果,檢驗項目中有不符「灌溉水質基準值」者,填入記錄表時,應以什麼顏色表示 (A)黑色 (B)藍色 (C)綠色 (D)紅色 。
5. 排洩戶業別之分類,依據那單位之分類辦理 (A)中央環保主管機關 (B)水利局 (C)農田水利署 (D)林務局 。
6. 農田水利署各管理處工作站水質初驗項目包括 (A)水溫、氮、磷 (B)水溫、酸鹼度、電導度 (C)水溫、油脂、濁度 (D)水溫、懸污物固體、濁度 。
7. 自排水渠道引水為灌溉用水水源者屬 (A)灌溉專用 (B)灌排專用 (C)迴歸利用(D)排水渠道 。
8. 農田水利署徵收搭配排水建造物使用費標準,下列何者非其計算依據 (A)渠道性質 (B)使用面積 (C)使用長度 (D)最低不得低於該地區最高之會費收費率 。
9. 農田水利署徵收搭配(排)水建造物使用費計算式中搭排基數為 (A)1.00(B)1.10 (C)1.25 (D)2.00 。
10. 農田水利署徵收搭配(排)水建造物使用費,搭配(排)水量以單位 (A)最小 (B)平均 (C)最大 (D)不一定 搭配(排)水量為計算依據。
11. 標準不收縮矩形堰計算公式為_______ 。式中 Q=流量(CMS),W=堰寬(公尺),H=水頭(公尺)(A)Q=1.84(W-0.2H)H3/2 (B)Q=1.856WH3/2 (C)Q=1.40H5/2 (D)Q=1.84WH3/2
12. 標準收縮矩形堰計算公式為_______ 。式中 Q=流量(CMS),W=堰寬(公尺),H=水頭(公尺)(A)Q=1.84(W-0.2H)H3/2 (B)Q=1.856WH3/2 (C)Q=1.40H5/2 (D)Q=1.84WH3/2
13. 梯形(撒普利地)堰計算公式為_______。式中 Q=流量(CMS),W=堰寬(公尺),H=水頭(公尺) (A)Q=1.84(W-0.2H)H3/2 (B)Q=1.856WH3/2 (C)Q=1.40H5/2 (D)Q=1.84WH3/2
14. 90 度三角堰計算公式為_______ 。式中 Q=流量(CMS),W=堰寬(公尺),H=水頭(公尺)(A)Q=1.84(W-0.2H)H3/2 (B)Q=1.856WH3/2 (C)Q=1.40H5/2 (D)Q=1.84WH3/2
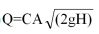
15. 孔口量水不計接近流速時其流量計算公式為 _______。式中 Q=流量(CMS),A=孔口斷面積(m
2
),g=重力加速度(9.8m/sec
2
),H=孔口上下游水面差,h=接近流速水頭=V2/2g(V 為流速),C=孔口流量係數≒0.61(A)
(B)
(C)Q=1.84WH3/2 (D)Q=1.856WH3/2
16. 孔口量水如計入接近流速時其流量計算公式為_______。式中 Q=流量(CMS),A=孔口斷面積(m
2
),g=重力加速度(9.8m/sec
2
),H=孔口上下游水面差,h=接近流速水頭=V2/2g(V 為流速),C=孔口流量係數≒0.61 (A)
(B)
(C)Q=1.84WH3/2 (D)Q=1.856WH3/2
17. 巴歇爾量水槽喉道下游之水深(Hb)與上游水深(Ha)之比值 Hb/Ha _______時為自由流。(A)≦0.8 (B)>0.6 (C)≦0.6 (D)>0.4
18. 巴歇爾量水槽喉道下游之水深(Hb)與上游水深(Ha)之比值 Hb/Ha _______時為潛流。(A)≦0.4 (B)>0.6 (C)≦0.6 (D)>0.4
19. 下列何者為灌溉水源防止水質污染之事前防患措施 (A)禁止一切污染水源水質行為 (B)工程設計灌排分離設計有無均可 (C)只要學校加強教育、宣導、建立污染防治人人有責觀念即可 (D)工廠廢水只要符合工廠放流水標準就可排入灌溉水渠中 。
20. 經農地重劃後之給水路渠道使用區分應屬 (A)灌排併用 (B)灌溉專用 (C)排水專用 (D)迴歸利用 。
21. 下列何者未列入「灌溉用水水質標準」限值項目中 (A)汞 (B)鉛 (C)銅 (D)銀 。
22. 利用市街排水或下水道再匯入農田水利署管轄之渠道廢水介入情形在調查記錄表填寫應填 (A)水源 (B)渠道 (C)農田 (D)間接 。
23. 由排洩戶自行開鑿地下水供為用水來源者,調查記錄表中應屬 (A)工業用水 (B)自來水 (C)地下水 (D)回收水 。
24. 糖廠僅在製糖期排放廢水,在調查記錄應表示為 (A)經常 (B)間斷 (C)季節(D)夜間 。
25. 廢水流入排洩戶自設儲存設備後,遇雨流出者,在調查記錄表應屬 (A)間接 (B)農田 (C)渠道 (D)水源 。
26. 廢水及污水排入農田灌排系統限制事項,對轄內之渠道使用區分有幾類?(A)四 (B)三 (C)二 (D)一 。
27. 排洩戶未經農田水利署同意先行排放使用者,其搭排使用費最多追溯幾年? (A)3 (B)5 (C)8 (D)10 。
28. 測知 1 分鐘排放水量為 10 公升,該搭排戶屬經常排放,則日排放水量多少立方公尺? (A)1.44 (B)14.4 (C)144 (D)1440 。
29. 農田水利署向搭排戶徵收搭排使用費是屬何種費用之收入? (A)餘水使用(B)搭配使用 (C)建造使用 (D)一般會費 。
30. 廢污水排入農田水利署轄管灌排并用渠道時,其放流水應符合何種限值(A)放流水標準 (B)灌溉水質基準值 (C)河川分類 (D)灌溉水質基準值及放流水標準 。
31. 搭排申請之排放水量以何為準? (A)日平均 (B)日最小 (C)日最大 (D)申請量 。
32. 某一排洩戶之廢水排放管理量測為 20 公升/分,日排放時間 5 小時,年排放日數為 240 天,則該排洩戶之年排水量為多少立方公尺? (A)12,000 (B)2,000 (C)1,440 (D)120 。
33. 搭排使用費計算標準中渠道性質之基數土渠為多少? (A)1.0 (B)1.1 (C)1.25(D)2.0 。
34. 搭排使用費計算標準中渠道性質之基數隧道為多少 (A)3.0 (B)2.0 (C)1.25 (D)1.1 。
35. 排洩戶廢水搭排使用費計算之廢水量,使用基數之查定依分層責任由那一單位負責 (A)監視總站管理組 (B)監視總站財務組 (C)地方監視站 (D)輔助監視員 。
36. 因廢水之介入,而使作物生育不良或土壤惡化,其減產量多少分以上者,列為污染損害面積 (A)10 (B)8 (C)6 (D)5 。
37. 某一排洩戶之排入區域性排水路下游處放置制水閘引灌,則該排洩戶廢水渠道使用別應歸為 (A)灌溉專用 (B)灌排並用 (C)迴歸利用 (D)排水專用 。
38. 有一排洩戶之廢水排入自己所有之農田中,其介入情形為那一項? (A)渠道 (B)農田 (C)水源 (D)間接 。
複選題
39. 下列何者為非? (A)鈉吸著率於 1.0 適灌於所有土壤 (B)鈉吸著率於高於26.0 一般情況已不適於施灌土壤 (C)殘餘碳酸鈉低於 1.25 不能引灌 (D)殘餘碳酸鈉高於 2.50 適於引灌 。
複選題
40. 農田水利署設置灌溉水源水質監視點之設立原則為 (A)水庫灌溉用水引入口 (B)灌溉蓄水設施出水口 (C)河川或溪流導水路引入口 (D)核能發電廠排水出水口 。
複選題
41. 農田水利署有關搭排申請作業規定,下述那些選項正確 (A)灌溉專用渠道可以排放廢(污)水 (B)廢污水搭排申請案,農田水利署除依相關規定本權責受理外,須另送主管機關核准後,始可核發搭排同意證明文件 (C)灌溉專用渠道絕對禁止排放廢(污)水 (D)農田水利署所屬之灌排系統,未經農田水利署同意,不得排放廢(污)水 。
複選題
42. 當發現有污染之虞或異常排放廢污水進入灌溉渠道時,下列處置那些選項錯誤? (A)立即關閉渠道取水取入口 (B)確認田間作物枯萎後,再通報環保單位 (C)俟環保單位稽查發現後再處置 (D)等候農民通報污染案件時再行處理 。
複選題
43. 有關妨礙水利案件依法取締對象,下列敘述正確的是? (A)擅自排放廢污水進入灌溉專用渠道,經監視總站(農田水利署各管理處)通知限期改道而逾期者 (B)非農田排水排入農田水利署轄管之灌排兼用,回歸利用渠道者,經檢驗不符合灌溉水質基準值者 (C)通知改善而按期改善者 (D)使用登記同意使用後,依合約規定履行者 。
複選題
44. 地方監視站應建立監視點或臨時監視點之基本資料,其中不包括 (A)工廠員工年齡統計 (B)農田水利署各管理處、分處及工作站名稱 (C)水源別及水源名稱 (D)工廠員工參加勞健保人數 。
複選題
45. 搭排水流入口於使用期限內,有下列哪些情形農田水利署應撤銷或限制使用? (A)工程設施與核定內容不符者 (B)工程設施影響安全或有損害他人利益之虞者 (C)已繳清建造物使用費者 (D)未經同意擅行變更使用者 。
複選題
46. 灌溉水質監視規範所稱排洩戶,下述定義正確的是 (A)核能電廠的核燃廢料 (B)係指直(間)接將放流水排洩在農田水利署管轄之灌排系統及農田者(家庭廢污水以都市或社區為對象) (C)在集水區內排洩放流水具有影響灌溉水源水質者 (D)利用市街排水或下水道再匯入農田水利署管轄之渠道,以都市或社區為對象(包括家庭廢污水) 。
複選題
47. 農田水利署灌溉水質監視地方監視站之責任,下列何項工作包含在內?(A)灌排系統水質污染防止監視 (B)農村人口普查 (C)水質污染損害調查及會勘 (D)水質採樣檢驗 。
複選題
48. 農田水利署水質監視站網責任分工劃分,正確的是 (A)地方監視站:以農田水利署各管理處水利小組為地方監視總站,里長為地方監視總站負責人(B)監視總站:以農田水利署各管理處為監視總站,處長為總站負責人,並指派主辦人一名,協辦人員若干名 (C)地方監視站:以農田水利署各管理處水利小組為地方監視總站,義工為地方監視總站負責人 (D)地方監視站:以農田水利署各管理處之各工作站為地方監視站,站長為地方監視站負責人,並指派站主辦人一名,各責任區段管理員為地方監視員 。
複選題
49. 下列何者屬於農田水利署所建立水質監視站網? (A)監視總站 (B)地方監視站 (C)抽水站 (D)水質監視點 。
複選題
50. 下列何者屬監視站應具備基本資料及設備? (A)水質採樣紀錄表 (B)溫度計(C)搭排使用申請表格 (D)水位計 。
複選題
51. 農田渠道區分為 (A)灌溉專用 (B)排水專用 (C)畜牧專用 (D)養殖專用 。
複選題
52. 水利建造物搭排收費基數由下列何者相乘所得? (A)渠道性質基數 (B)渠道長度基數 (C)管徑 (D)搭配(排)類別基數 。
複選題
53. 下列何種渠道未經農田水利署同意不得排入廢污水? (A)灌溉專用渠道 (B)農田排水渠道 (C)下水道 (D)市區排水 。
複選題
54. 水質監視點之基本資料包含下列何者? (A)座標 (B)水源別 (C)地價 (D)地號 。
複選題
55. 搭排戶之基本資料包含下列何者? (A)所屬監視點編號 (B)負責人姓名 (C)廢水量 (D)資本額 。
複選題
56. 下列何者渠道性質基數有誤? (A)土渠:1.10 (B)內面工:2.00 (C)隧道:2.50 (D)砌石工:1.50 。
複選題
57. 排水依功能及集水區域特性分為下列哪些? (A)事業排水 (B)區域排水 (C)農田排水 (D)灌溉排水 。
複選題
58. 下列何者為非? (A)甲類水體適合一級公共用水 (B)乙類水體適合一級水產用水 (C)丙類水體適合二級公共用水 (D)丁類水體適合二級水產用水 。
申論題 (0)
相關試卷
114年 - 15704 農田灌溉排水─灌溉水質管理及檢驗項 乙級 工作項目 06:儀器保養維護 1-58(2025/12/23 更新)#135595
114年 · #135595
114年 - 15704 農田灌溉排水─灌溉水質管理及檢驗項 乙級 工作項目 05:執行一般檢驗 51-111(2025/12/23 更新)#135594
114年 · #135594
114年 - 15704 農田灌溉排水─灌溉水質管理及檢驗項 乙級 工作項目 05:執行一般檢驗 1-50(2025/12/23 更新)#135593
114年 · #135593
114年 - 15704 農田灌溉排水─灌溉水質管理及檢驗項 乙級 工作項目 04:水質採樣及處理 1-57(2025/12/23 更新)#135592
114年 · #135592
114年 - 15704 農田灌溉排水─灌溉水質管理及檢驗項 乙級 工作項目 03:水質檢驗一般基本操作 51-115(2025/12/23 更新)#135591
114年 · #135591
114年 - 15704 農田灌溉排水─灌溉水質管理及檢驗項 乙級 工作項目 03:水質檢驗一般基本操作 1-50(2025/12/23 更新)#135590
114年 · #135590
114年 - 15704 農田灌溉排水─灌溉水質管理及檢驗項 乙級 工作項目 01:瞭解污染及其影響 51-88(2025/12/23 更新)#135588
114年 · #135588
114年 - 15704 農田灌溉排水─灌溉水質管理及檢驗項 乙級 工作項目 01:瞭解污染及其影響 1-50(2025/12/23 更新)#135587
114年 · #135587
114年 - 114-1 全國技術士技能檢定學科_乙級:15704 農田灌溉排水─灌溉水質管理及檢驗項#129675
114年 · #129675
113年 - 113-1 全國技術士技能檢定學科_乙級:15704農田灌溉排水─灌溉水質管理及檢驗項#127296
113年 · #127296