阿摩線上測驗
登入
首頁
>
技檢◆飛機修護-丙級
> 114年 - 17600 飛機修護 丙級 工作項目 01:飛機修護基礎技術 1-50(2025/12/31 更新)#135984
114年 - 17600 飛機修護 丙級 工作項目 01:飛機修護基礎技術 1-50(2025/12/31 更新)#135984
科目:
技檢◆飛機修護-丙級 |
年份:
114年 |
選擇題數:
50 |
申論題數:
0
試卷資訊
所屬科目:
技檢◆飛機修護-丙級
選擇題 (50)
1.
如左圖此種形式的鬆緊套的保險方法叫做 (A)單線交叉保 (B)單線單保 (C)雙線單保 (D)雙線交叉保 。
2. 飛機停止後,維修人員地面作業時,若需放置輪檔,則應該 (A)將輪檔放置於機輪前方 (B)將輪檔放置於機輪後方 (C)將輪檔一前一後放置,且輪檔拉繩置於外側 (D)將輪檔一前一後放置,且輪檔拉繩放置於飛機兩主輪之間 。
3. 以搖弓拆裝螺絲時,搖弓之長直柄與起子頭(Bit),應與蒙皮表面______ 以避免損傷螺絲。(A)平行(B)垂直 (C)成 45 度 (D)成 30 度
4.
如左圖此種形式的鬆緊套的保險方法叫做 (A)單線交叉保(B)單線單保 (C)雙線單保 (D)雙線交叉保 。
5. 鬆緊套保險後,尾端至少要纏繞幾周的保險絲 (A)一周 (B)二周 (C)三周 (D)四周 。
6. 電線接頭只限用_______ 保險絲保險。(A)0.020" (B)0.032" (C)0.041" (D)0.045"
7. 火警開關及緊急系統操作活門(VALVE)只可用______ 英吋的銅絲保險。(A)0.045 (B)0.041 (C)0.032(D)0.020
8. 在 4 至 6 英吋內,只可將幾個螺帽連保在一起 (A)一個 (B)兩個 (C)三個 (D)四個 。
9. 雙股保險絲保險後的結尾 (A)需向內捲起 (B)需向外捲起 (C)剪斷即可 (D)隨你自己的意思做 。
10. 0.032 英吋之保險絲,在每一英吋可以打 (A)10 到 12 (B)8 到 10 (C)6 到 8 (D)15 到 20 圈的麻花。
11. 開口銷常用於 (A)發動機 (B)城堡螺帽 (C)液壓 (D)零件 的保險。
12. 雙開口扳手的英文名稱為 (A)OPEN/END WRENCH (B)BOX WRENCH (C)SPEED HANDLE (D)SCREW DRIVER 。
13. 梅花扳手的英文名稱為 (A)OPEN/END WRENCH (B)BOX WRENCH (C)OPEN WRENCH (D)SCREW DRIVER 。
14. 標準套筒的英文名稱為 (A)STANDARD SOCKET (B)OPEN WRENCH (C)DEEP SOCKET (D)BOX WRENCH 。
15. 一字螺絲刀的英文名稱為 (A)FLAT SCREW DRIVER (B)PHILLIP SCREWDRIVER (C)SCREW EYE (D)FLASH LIGHT 。
16. 十字螺絲刀的英文名稱為 (A)FLAT SCREW DRIVER (B)SCREW JACK (C)SOFT (D)PHILLIP SCREW DRIVER 。
17. 套筒為拆裝 (A)螺帽螺桿 (B)電線接頭 (C)管路接頭 (D)螺絲 用的最佳工具。
18. 在進入燃油箱內工作時,維修人員使用之手電筒必須具備_______ 的功能。(A)防碎裂 (B)防爆 (C)不必更換電池 (D)不導電
19. 公制的工具規格,都以________來標示其尺寸。 (A)公尺 (B)mm (C)台尺 (D)英吋
20. 拆裝管路接頭選用 _______最合適。(A)梅花扳手 (B)棘輪扳手 (C)開口扳手 (D)活動扳手
21. 棘輪扳手具有_______ 的功能。(A)正反方向 (B)重量輕 (C)不需維護 (D)手把可更換
22. 梅花扳手最適合 (A)拆裝螺帽螺桿 (B)拆裝管路 (C)拆裝電線接頭 (D)拆裝螺絲 。
23. 螺桿的種類繁多,螺桿編號 MS 是 (A)波音公司 (B)航空及太空 (C)美國標準(D)美軍軍用 標準件的代號。
24. 下列哪一項不屬於美國標準件螺桿的代號 (A)MS (B)NAS (C)NSA (D)AN 。
25. 裝置於機翼、起落架大樑、發動機懸掛架上特定螺桿,當超過設計應力時會自動斷掉,這種螺桿的名字叫做 (A)保險螺桿(FUSE BOLT) (B)剪力螺桿 (C)全牙螺桿 (D)無磁性螺桿 。
26. 裝於飛機操作連桿上,當操作力量大於設計時,會自動切斷的螺桿,其名稱為 (A)一般螺桿 (B)剪力螺桿 (C)全牙螺桿 (D)無磁性螺桿 。
27. 在機翼磁羅盤附近,應裝用何種螺桿 (A)保險螺桿 (B)剪力螺桿 (C)全牙螺桿(D)無磁性螺桿 。
28. 我們可以在修護手冊 ATA 的那一章,查出各尺寸標準螺桿螺帽的扭力值______章。(A)12 (B)20 (C)27 (D)29
29. TORQUE WRENCH 的中文名字叫做 (A)扭力扳手 (B)搬桿 (C)棘輪扳手 (D)活動扳手 。
30. 需穿入開口銷加以保險的螺帽叫做 (A)自鎖螺帽 (B)繫留螺帽 (C)城堡螺帽 (D)一般螺帽 。
31. 在高溫區,為防止螺桿咬住螺帽,造成拆卸困難,因此在裝置前,在螺牙處塗以 (A)滑油 (B)防鏽油 (C)黃油膏 (D)石墨油膏 。
32. 各種螺帽、螺桿、管路接頭,因其材質不同而設定有標準的扭力值,要使用________ 來量測或上緊其扭力磅數。(A)棘輪扳手 (B)扭力扳手 (C)開口扳手 (D)梅花扳手
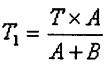
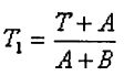
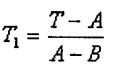
33. 因工作需要在扭力扳手頭上加延長桿配接器,若 A=原來扳手的長度,B=延長桿接頭長度,T=原來的實際扭力值,試問修正後之扭力值 T<sub>1</sub>,應為(A)
(B)
(C)
(D)
。
34. 因工作需要,在扭力扳手頭上加延長桿配接器時,若 T=160 吋磅,A=12英吋,B=3 英吋,試問修正後的磅數為________ 吋磅。(註:A=原來扳手的長度,B=延長桿接頭長度,T=原來的實際扭力值,T<sub>1</sub>=修正後之扭力值)。(A)148 (B)172 (C)160 (D)128
35. 載重平衡的目的,使飛機確保飛行安全,提升飛行效率,每架飛機在出廠時,就設定一參考點,因此,可由飛機的縱軸上的相關位置,與此參考點的距離求得了基準點,以此基準點至重心的距離稱為 (A)MAC % (B)CG %(C)RC (D)XG 。
36. 飛機稱重的主要目的,是在查出飛機的重心,依據民航法規規定,稱重的間隔為 (A)4 年 (B)3 年 (C)2 年 (D)1 年 。
37. 飛機的基本重量,加上滑油、可用之燃油、行李、貨物裝備的總和,再加上空勤組員及乘客叫做 (A)毛重 (B)空重 (C)基本重量 (D)總重量 。
38. 飛機在地面停留需要移動飛機位置,正確作業名稱為 (A)拖機 (B)停機 (C)繫留 (D)後拖 。
39. 在停機坪車輛的速度,時速限制為 (A)5 至 10 公里 (B)5 至 15 公里 (C)3 至 5公里 (D)15 至 25 公里 。
40. 正常拖飛機時,起落架的安全銷 (A)必須全部插妥 (B)無此必要 (C)視需要 (D)作業人員隨心所欲 。
41. 拖飛機時,地面人員必須插上耳機與駕駛艙內的機械員保持連繫,得到塔台允許後,飛機即可拖行,在拖行途中若遇到飛機經過交叉路口,綠燈亮著,這時候滑行道有一架飛機,正緩緩滑出滑行道,假如你是坐在駕駛艙中的機械員,你是要拖行中的飛機 (A)繼續拖行 (B)馬上指揮停止前進 (C)向塔台再確認 (D)指揮飛機後退 。
42. 在棚廠外頂舉飛機時,機頭要 (A)朝向太陽 (B)背對太陽 (C)對正風向 (D)背風停放 。
43. 當機械員於滑行道執行拖飛機時,滑行道交叉路口若閃爍白燈時 (A)可執行拖行 (B)停止拖行 (C)須特別注意執行拖行 (D)將飛機拖回起始點 。
44. 當發現飛機滑行道交叉路口有閃爍的紅燈亮時,表示 (A)將飛機拖回原點(B)停止拖行 (C)滑行道上已完全清除可以執行拖機 (D)加快速度拖行 。
45. 當滑行道口交替之紅燈與綠燈亮時 (A)可執行拖機,但必須特別注意 (B)停止拖行 (C)儘速通過 (D)拖回原點 。
46. 滑行道口停止不動的紅燈亮時 (A)儘速通過 (B)禁止飛機拖行 (C)請問塔台能不能執行拖機 (D)拖回原點 。
47. 拖飛機連同拖車駕駛員至少需 (A)2 人 (B)3 人 (C)4 人 (D)5 人 。
48. 當飛機滑出跑道或滑行道已衝入草坪或泥地上,因地上太軟所以需使用______將飛機頂起後在地上墊以木板或鋼板,再將飛機拖離。 (A)千斤頂 (B)堆高機 (C)消防車 (D)氣墊
49. 頂舉飛機前,必先查清楚飛機的總重量,以避免 (A)失去平衡 (B)超過重量損壞飛機結構 (C)壓壞千斤頂 (D)使千斤頂陷入地下 。
50. 頂舉輪軸千斤頂更換輪胎時,除在不需頂舉的輪胎前後加裝輪檔,裝置警告標示,而且要在所有的起落架上插妥安全銷,其作用是 (A)防止起落架收上 (B)作記號用 (C)好看 (D)應付檢查 。
申論題 (0)
相關試卷
114年 - 17600 飛機修護 丙級 工作項目 08:職業道德及航空法規 1-37(2025/12/31 更新)#136002
114年 · #136002
114年 - 17600 飛機修護 丙級 工作項目 07:安全措施 1-18(2025/12/31 更新)#136001
114年 · #136001
114年 - 17600 飛機修護 丙級 工作項目 06:基本電學 1-68(2025/12/31 更新)#136000
114年 · #136000
114年 - 17600 飛機修護 丙級 工作項目 05:專業英文及手冊查閱 51-82(2025/12/31 更新)#135999
114年 · #135999
114年 - 17600 飛機修護 丙級 工作項目 05:專業英文及手冊查閱 1-50(2025/12/31 更新)#135998
114年 · #135998
114年 - 17600 飛機修護 丙級 工作項目 04:發動機基礎概念 101-151(2025/12/31 更新)#135993
114年 · #135993
114年 - 17600 飛機修護 丙級 工作項目 04:發動機基礎概念 51-100(2025/12/31 更新)#135992
114年 · #135992
114年 - 17600 飛機修護 丙級 工作項目 04:發動機基礎概念 1-50(2025/12/31 更新)#135991
114年 · #135991
114年 - 17600 飛機修護 丙級 工作項目 03:各類儀表的認識 1-36(2025/12/31 更新)#135990
114年 · #135990
114年 - 17600 飛機修護 丙級 工作項目 02:飛機各部位中英文名稱及功能 51-80(2025/12/31 更新)#135989
114年 · #135989