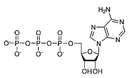
4. Continuing the question above, please draw the structure of dideoxy form of the structure above.

A peptide sequence, "YPYDVPDYA," which is derved fom a viral protein and plays a role in bing the virus to cell rectorerrrr to initiate infection, has recently been identified. Please answer the following questions.