所屬科目:研究所、轉學考(插大)-有機化學
1. Chain-growth polymerization proceeds by which of the following mechanisms?(A) radical polymerization (B) cationic polymerization (C) anionic polymerization(D) A and В (E) A, B, and C
2. Identify the following compounds as R or S.(A) S, S, R (B) S, R, S (C) R, S, S (D) S, S, S (E) R, R, R
3.What is the carbon nucleophile which attacks molecular bromine in the acid-catalyzed a-bromination of a ketone?(A) an enolate(D) a carbocation(B) a Grignard reagent (C) an acetylide(E) an enol
4. In nucleophilic acyl substitution(A) protonation of the carbonyl is followed immediately by loss of the leaving group.(B) loss of the leaving group is followed by rearrangement of the carbocation.(C) addition to the carbonyl by a nucleophile is followed by loss ofthe leaving group.(D) ester hydrolysis is followed by deprotonation.(E) an SN2 reaction occurs.
5. Dicyclohexylcarbodiimide (DCC) is used(A) to determine the N-terminal amino acid of a peptide.(B) to sequence amino acids in a peptide.(C) to detect amino acids derived from hydrolysis of a peptide.(D) to couple amino acids during solid-phase peptide synthesis.(E) to hydrolyze peptides on the carboxyl side of aromatic amino acid residues.
6. What type of intermediate is present in the SN2 reaction of cyanide with bromoethane?(A) carbocation(D) carbanion(B) free radical (C) carbene(E) This reaction has no intermediate.
7. Predict the specific rotation of the compound shown.(A) It is impossible to predict; it must be determined experimentally.(B) Because both asymmetric centers are R, the compound is dextrorotatory.(C) Because both asymmetric centers are S, the compound is dextrorotatory.(D) Zero; the compound is achiral.(E) Because this compound represents a racemic mixture, the compound is dextrorotatory.
8. Which molecule below has a significant band in the 1720-1780 cm-1 range of its IR spectrum? (A) CH3CH2CH₂OH (B) CH3C=CCH2CH3 (C) CH3CH2CH(NH2)CH3 (D) (CH3)3N(E) CH3CO₂CH2CH3
9. Which of the compounds below undergoes solvolysis in aqueous ethanol most rapidly?(A) 3-iodo-3-methylpentane (B) methyl iodide (C) isopropyl chloride(D) 3-chloropentane(E) cyclohexyl bromide
10. Which of the following statements best describes what vulcanization means? (A) a process by which rigid and non-sticky rubber can be made soft and sticky. (B) the heating of rubber with sulfur. (C) a chemical process discovered by Charles Schultz in 1944. (D) a chemical process that destroys cross-linking in rubber. (E) a chain transfer reaction.
11. How many distinct monochlorinated products, including all stereoisomers, can result when methylcyclobutane is heated in the presence of Cl₂? (A) 2 (B) 6(C) 5 (D) 4(E) 3
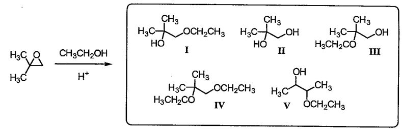
12.What is the major organic product obtained from the following reaction?(A) I(B) II (C) III (D) IV (E) V
13. When CH3CH₂CHO reacts with PhNHNH₂ under conditions of acid catalysis, the major organic product is_______.(A) a nitrile (B) an imine(C) a hydrazone(D) an oxime (E) a ketone
14. What compound results from the 1,4-addition of one equivalent of HBr to 1,3-butadiene?(A) 1-bromo-1-butene(B) 1-bromo-2-butene(C) 4-bromo-1-butene(D) 3-bromo-1-butene(E) 2-bromo-2-butene
15. Which of the following is aromatic?(A) cycloheptatrienyl cation (B) 1,3,5-hexatriene(C) cyclobutenyl anion(D) 1,3-cyclohexadiene(E) cyclopentadienyl cation
16.How many hydrogens in the structure of 2,3-dimethylcyclopentanone are replaced by deuteriums when it is shaken in D2O containing trace hydroxide?(A) 1 (B) 2 (C) 3 (D) 6 (E) 7
17. Consider molecules with the formula C10H14Br2O2. Which of the following structural features is possible within this set ofmolecules?(A) 3 triple bonds(D) 4 double bonds(B) 2 rings and 1 double bond(E) 3 rings and 2 double bonds(C) 2 rings and 1 triple bond
18. Predict the two most likely mechanisms for the reaction of 2-iodohexane with sodium ethoxide.(A)SN2 and SN1 (B) E1 and E2 (C) SN2 and E2(D) E1 and SN1 (E) E2 and SN1
19. When 1,3-butadiene reacts with CH2=CHCN, which of the terms below best describes the product mixture?(A) a mixture of two diastereomers(C) a racemic mixture(E) a mixture of bicyclic compounds(B) a single compound(D) optically active
20. Give the product for the following reaction.(A) alanine(B) leucine (C) valine(D) isoleucine(E) glycine
21. Which of the following statements correctly describes the contribution of △S° to△G°?(A) The entropy term makes a greater contribution to AG° at high temperatures.(B) The entropy term makes a greater contribution to AG° at low temperatures.(C) The entropy term makes a greater contribution to AG° in exothermic reactions.(D) The entropy term makes a greater contribution to AG° in endothermic reactions.(E) The entropy term always makes a more significant contribution to AG° than does the enthalpy term.
22. What compound is produced when N,N-dimethylpropanamide is treated with LiAlH4?(A) CH3CH2CONH₂ (B) CH3CH2CH2NH2(C) CH3CH2CH2OH(D) CH3CH2CH2N(CH3)2 (E) CH3CH2N(CH3)2
23. Which ofthe following is a vicinal dihalide?(A) cis-1,2-dibromocyclopentane(B) 3,3-dichloropentane(C) trans-1,4-diiodocyclohexane(D) isobutyl chloride(E) 1,3-dibromoheptane
24. Reduction of a 2-ketohexose with NaBH4 yields:(A) a single aldohexose (B) a mixture of acetals (C) a mixture of alditols(D) a mixture of pyranoses (E) a mixture of cyclic hemiacetals
25. When the 1,7-diester CH3O2CCH2CH2CH(CH3)CH2CH2CO2CH3 is treated with sodium methoxide and the reaction mixture issubsequently neutralized with acid, what kind of compound is the major organic product?(A) a cyclic ẞ-diketone (B) a cyclic ẞ-ketoester (C) an acyclic ẞ-diester(D) an acyclic ẞ-ketoacid (E) a cyclic ẞ-diketone
26. When thiols form disulfide bonds, the reaction can be described as_____.(A) elimination(B) sulfation(C) sulfonation(D) oxidation(E) reduction
27. Which of the following compounds will not undergo Friedel-Crafts acylation when treated with CH3CH2COC1, AlCl3?(A) toluene (B) p-xylene (C) anisole (D) benzophenone (E) ethoxybenzene
28. What is the major product when (CH3)2CHCH2CH,Br is subjected to the following reaction sequence: (i) Mg, (ii) CO2, (iii) H3O+?(A) 3-methyl-1-butanol (B) 2-methyl-2-butanol (C) 4-methyl-1-pentanol(D) 4-methylpentanoic acid (E) 3-methylbutanoic acid
29. If a signal is observed in the 170 to 200 ppm range in a C-13 NMR spectrum, what is the most likely type of functional group associated with that carbon atom? (A) carbonyl carbon(B) allylic carbon (C) aromatic carbon (D) carbon/carbon triple bond(E) carbon/carbon double bond
30.Which ofthe following reagents is used in the following reaction?(A) Cl2/CCI4 (B) HCI (C) Cl2/hv (D) HCIO4 (E) PC15
1. Which would you expect to undergo E2 elimination faster, trans-1-bromo-4-tert-butylcyclohexane or cis-1-bromo-4-tertbutylcyclohexane? Draw each molecule in its more stable chair conformation, and explain your answers. (10 points)
2.Electrophilic aromatic substitution reactions of pyridine normally occur at C3. Draw the carbocation intermediates resulting from reaction of an electrophile at C2, C3, and C4, and explain the observed result. (14 points)
(a) Please draw two key resonance structures of diazomethane. (8 points)
(b) Use curved arrows to describe the detailed mechanism of these two steps. (8 points)