所屬科目:研究所、轉學考(插大)-有機化學
1.Which reagent below could be used best to distinguish from CH3(CH2)4CH=CH(CH2)4CO2H? (A) NaOH, H2O (B) (C) NaBH4 (D) Br2/CCl4 (E) NH3
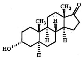
2. Which of the following terms best describes the compound below?
(A) a trans A-B steroid (B) a cis A-B steroid (C) a complex lipid (D) a sesquiterpene (E) a synthetic detergent
3.Given the following values, what is the major ionization state of histidine at pH 11? (α-COOH = 2.0, = 9.0 and R-group imine = 6.5. (A)(B)(C)(D)(E)
4. Which of the following would give a positive Tollen's test? (A) a-D-glucopyranose (B) methyl ẞ-D-glucopyranoside (C) sucrose (D) methyl a-D-ribofuranoside (E) the methyl glycoside of cellobiose
5. What reagents are needed to complete the following synthesis?
(A) 1.NaOH/Heat, 2. HCl (aq) (B) 1.NaOH / I2, 2)HCl (aq) (C) 1.warm conc. KMnO4 / NaOH, 2) HCl (aq) (D) 1.[Ag(NH3)2]OH, 2) HCl (aq) (E) 1.warm conc. KMnO4 / NaOH, 2)HCOOH (aq)
6.The following compound was found to inhibit HIV-1 (J. Med. Chem. 2011, 1812.. Predict the structure of the hydrolysis product.
(A)(B) (C)(D)(E)
7. The IR Spectrum, NMR spectrum, and 1H NMR spectrum of an unknown compound (C6H8O3)appear below. Which structure is most likely consistent with the spectrum?
(A) (B)(C)(D)(E)
8. What is the major organic product(s) of the reaction shown below
9.The following structure has been used in monitoring the development of amyloid plaques in Alzheimer's patients (J. Med. Chem. 2011, 949). Which sequence correctly ranks the following nitrogens in order of increasing pKa value?
(A) 2 < 3 < 1 (B) 3 < 2 < 1 (C) 2 < 1 < 3 (D) 1 < 3 < 2 (E) 3 < 1 < 2
10. A three-carbon, nitrogen-containing compound exhibits three NMR peaks (d 11.2, 27.3, and 44.9). Which of the following compounds best matches this spectral data? (A) H2NCH2CH2CH2OH (B) (CH3)2CHNH2 (C) CH3NHCH2CH3 (D) CH3CH2CH2NH2 (E) CH3CH2C≡N
11.The following substrate is a starting material in the synthesis of compounds having opiod activity (J. Med. Chem. 2011, 957). Which product that would NOT result from the reaction below.
(A)(B) (C)(D)(E) All products that result from the reaction
12. What would be the product of the following reaction?
(A)(B)(C)(D)(E)
13.Why do acetal-forming reactions that use ethylene glycol (HOCH2CH2OH) have more favorable equilibrium constants than those using methanol? (A) Ethylene glycol reacts more rapidly. (B) They are more favorable on entropy grounds. (C) They are more favorable on enthalpy grounds. (D) Ethylene glycol is acidic and catalyzes the reaction. (E) The ethylene acetal can serve as a protecting group.
14. The reagent which converts a carbonyl group of a ketone into a methylene group is (A) Na, NH3, CH3CH2OH (B) LiAlH4 (C) NaBH4, CH3CH2OH (D) Zn(Hg), conc. HCl (E) LiAlH[OC(CH3)3]3
15. Which sequence correctly ranks the following aromatic rings in order of increasing rate of reactivity with chlorine and aluminum chloride?
(A) 1 < 2 < 3 (B) 2 < 3 < 1 (C) 3 < 2 < 1 (D) 2 < 1 < 3 (E) 1 < 3 < 2
16.In electrophilic aromatic substitution reactions the hydroxyl group is an o,p-director because _____. (A) it donates electron density to the ring by induction and destabilizes the meta sigma complex (B) it donates electron density to the ring by resonance and stabilizes the ortho and para sigma complexes (C) it donates electron density to the ring by induction and stabilizes the ortho and para sigma complexes (D) it donates electron density to the ring by resonance and destabilizes the meta sigma complex (E) it withdraws electron density from the ring by induction and destabilizes the meta sigma complex
17.Which compounds in the following are not aromatic?
(A) a, b, c (B) d, f, g (C) c, f, h (D) d, e, h (E) a, g, h
18. When 1 mole of anhydrous HCl is reacted with excess 1,3-pentadiene, both the 1,2 and the 1,4-addition products are formed. Which of the following structures shown below is the least likely to be one of these products? (Note: When a chiral carbon is formed in this reaction a racemic mixture results, only one of the two possible enantiomers is shown.) (A)(B) (C)(D)(E)
19.When 2-ethylcyclohexanone is treated with catalytic base in excess D2O, how many deuterium atoms become incorporated in the organic compound? (A) 0 (B) 1 (C) 2 (D) 3 (E) 5
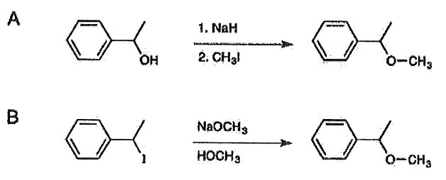
20. In the formation of the following ether, which reaction is preferred and why?
(A) Reaction B is preferred because the oxidation step works best for primary alcohols. (B) Reaction A is preferred over reaction B because the smaller methyl iodide would make a better nucleophilic target. (C) Reaction A is preferred because the the formation of the carbocation would be stabilized in the benzylic position. (D) Reaction B would be preferred because Iodine is a better leaving group for the SN1 reaction. (E) There is no difference in these two reactions they would give approximately the same yields.
21.An unknown alkyne with a molecular formula of give the following products upon ozonolysis. What is the structure of the starting material?
(A) CH3CH2CH2C≡CCH2CH3 (B) (CH3)2CHC≡CCH2(CH3)2 (C) (CH3)2CHC≡CCH2CH3 (D) CH3CH2C≡CCH2CH3 (E) CH3CH2CH2C≡CCH2CH2CH3
22. Which of the following structures could be constructed by way of a malonate ester alkylation? (A)(B)(C)(D)(E) All of the above.
23.Rank the following molecules in order of increasing relative rate of SN1 solvolysis with methanol and heat (slowest to fastest reacting).
(A) 3 < 2 < 4 < 5 < 1 (B) 2 < 3 < 4 < 1 < 5 (C) 5 < 4 < 3 < 2 < 1 (D) 2 < 3 < 4 < 5 < 1 (E) 1 < 2 < 5 < 4 < 3
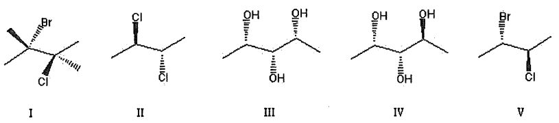
24. Which of the following molecules, if isolated in its pure form, would demonstrate optical activity?
(A) both IV and V (B) both I and III (C) only II (D) both III and IV (E) both I and V
25. Which of the presented mechanisms would be the most energetically favorable and thus the most likely mechanism to actually occur for the following free radical chain reaction?
(bond dissociation energies — H-H = 104 kcal/mol; Cl-Cl = 58 kcal/mol; H-Cl = 103 kcal/mol) (A)(B)(C)(D)(E)
26.Which of the final product is correct for the reactions listed below? (A) (B)(C)(D)(E)
27.Assign R or S configuration for the chiral centers in 2,3,4-trihydroxybutanal.
(A) 2R, 3R (B) 2R, 3S (C) 2S, 3R (D) 2S, 3S (E) this compound is optically inactive.
28. What is the relationship between the structures shown below?
(A) diastereomers (B) constitutional isomers (C) conformational isomers (D) configurational isomers (E) enantiomers
29.Which of the following molecules releases more heat in hydrogenation reaction to form ethylcyclohexhane? (A) (B)(C)(D)(E)
30. How many allylic hydrogen atoms are present in the following molecule?
(A) 1 (B) 2 (C) 3 (D) 4 (E) 5
31.What is the effect of doubling both the concentrations of 1-bromobutane and sodium cyanide in the following reaction, assuming no other changes?
(A) No change on the reaction rate. (B) The reaction rate doubles. (C) The reaction rate triples. (D) The reaction rate quadruples. (E) The reaction rate is halved.
32. What is the major product of the following reaction?
33.Which of the following structures is mostly likely to have this ¹H NMR spectrum?
34. Which of the following compounds is hydrolyzed most rapidly in aqueous NaOH? (A) CH3CN (B) CH3CO2CH3 (C) (CH3CO)2O (D) CH3COCl (E) CH3CONH2
35. Which of the following compounds has the smallest pKa value? (A)(B)(C)(D)(E)