所屬科目:研究所、轉學考(插大)-有機化學
1. What is the relationship between alcohols I and II?They are:(A)different conformations of the same compound.(B)constitutional isomers.(C) enantiomers.(D)diastercomers.(E)identical.
2.What is the relationship between alcohols I and I?They are:(A) different conformations of the same compound.(B)constitutional isomers.(C) enantiomers.(D)diastereomers.(E)identical.
3. Select the structure of benzyl methyl ether.(A) I
(B)II(C) III(D)IV
(E)V
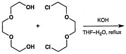
4. What is the nucleophilic species involved in the initial step of the reaction below?(A) OH(B)(C) H2O(D)Cyclopentene.(E)the THF/H2O complex
5. How many stereogenic centers are in the following compound?
(A)1(B)3(C)4(D)5(E) none of these choice
6. Which of the following compounds are chiral? (A) I, IV, and V (B)Ionly (C) II and H (D)I only (E)all compounds are achiral
7. What is the major organic product obtained from the following sequence ofreactions?(A) 2-pentanol(B)pentane(C) 1-pentene(D)(E)-2-pentene
8. Pairs of enantiomers are:(A) I, II and III, IV(B)I, II
(C) III, IV(D)IV, V(E)None of the structures.
9. What would be the major product of the following reaction?(A) I(B)II
(C) III(D)IV(E)V
10. What is the correct assignment of the functional groups in the followingcompounds?NHCH(A)1 = amide; 2 = imide,3 = nitile(B)1= lactam; 2 = amide; 3 = imide(C) 1= lactam;2 = imide; 3 = amide(D)1 = imide; 2 = amide; 3 = lactam
11. What is the IUPAC name of the following compound?(A) dimethylamino-3-phenylpropanoic acid(B)N,N-dimethyl 2-phenylethyl amide(C)NN-dimethy1 3-phenylpropanamide(D)dimethyl 2-phenylpropanoylamine
13. What alkyl group is attached to the oxygen in the following ester? (A) ethyl (B)propyl (C) sec-propyl (D)isopropy] (E)None of these choices.
14. What alkyl groups make up the following ether? (A) Isobutyl and methyl (B)Methyl and butyl (C) Ethyl and isopropyl (D)Methyl and sec-butyl (E)None of these choices.
15. What functional groups are present in nicotine, an addictive substance found in tobacco? (A) two tertiary amines (B)two secondary amines (C) phenyl ring and tertiary amine (D)secondary and tertiary anime (E)none of these choices
16. What functional group is present in the following compound? (A) alcohol (B)ketone (C) aldehyde (D)ester (E)ether
17.R evidence for the presence of the C-C would be most difficult to detect in the case of which of these alkenes?(A)(B)(C)(D)(E)
18. Which C4H9Br compound gives a triplet at approximately 3.5 ppm in the 1H NMR spectrum? (A)1(B)2(C)3(D)4
19. Which C,H1o0 compound gives the following 'H NMR spectrum?
(A)1(B)2(C)3(D)4
(a)
(b)
(c)
(d)
5. Ethanal gives a cyclic trimer called paraldehyde in the presence of a catalytic amount of acid and moisture. Propose a mechanism for this reaction.
(e)
(f)
8. The following are natural amines called alkaloids. Assign R or S configuration to all the chirality centers.
9. Give a mechanism for the following reaction and deduce the structure of the product.
. (a)
12. The following question(s) refer to the mass spectrum shown below.
The base peak in this spectrum occurs at a mz of___.
This compound contains C, H, and one other atom. The other atom from the mass spectrum is ___.
13. Identify the compound (C4H6O2) that gives the following 1H NMR spectrum.
20. Which ofthe following bonds (circled)gives the weakest absorbance in the infared spectrum?