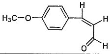
11. Select the best fit chemical structure for compound C₁₀H₁₀O₂ which with the following NMR data. ¹H NMR: δ 9.5 (1 H, d, J = 7 Hz), 7.5 (2 H, d, J = 6 Hz), 7.3 (2 H, d, J = 6 Hz), 6.8 (1 H, dd, J = 14, 7 Hz), 6.5 (1 H, d, J = 14 Hz), 3.6 (3 H, s). ¹³C NMR: δ 190, 145, 135, 130, 125, 120, 115, 60.
(A)
(B)
(C)
(D)
(E)