所屬科目:教甄◆數學
6. 調查8個學生在端午節當天所吃粽子數量(所吃粽子數量均為正整數),已知此8個學生中最少吃2顆粽子,最多吃6顆粽子,則由此數據可知下列哪些一定正確?(全對才給分) (A) 算術平均數≤4 (B) 若中位數=4,則算術平均數≤4 (C) 若只有一個眾數且眾數=2,則算術平均數≤4 (D) 標準差≤2 (E) 若調查結果,8位學生共吃了23顆粽子(粽子均相同,每人最少吃2顆、最多吃6顆,且有學生恰好吃2顆亦有學生恰好吃6顆),則此23顆粽子分給8位學生,共有672種不同分法
1. 若x、y、z均為實數,則 2x²+4y+2 + 24y²+2z+2+ 2z²+2x+2 的最小值為_______。
2. 已知拋物線 y=x²+kx+1 與直線 2x+y+k=0,兩圖形有兩個交點而且兩交點分別在y軸的兩側,則k的範圍為_______。
3. 設有7個機器戰警,其戰鬥力分別為:3, 7, 15, 31, 63, 127, 255。每兩個戰警可合組成一個新的戰警,且新戰警仍可繼續與其他戰警組合;假設每一次組合戰鬥力的變化規則如下:「戰鬥力為x與y的兩個戰警,可合組成戰鬥力為x+y+xy的新戰警」。已知不論組合的次序如何,經過6次的重組之後,最後留下來的唯一戰警之戰鬥力都等於k,則log₂(k+1)=_______。
4. 設正整數x、y、z出現偶數的機率分別為且彼此互不影響,試問在xy為偶數的條件下,x+y+z為奇數的機率為_______。
5. 正方形ABCD的邊長為10,P、Q分別為上的點,沿將四邊形ABQP翻摺,使得點A落在邊上,若欲使得四邊形ABQP的面積最小,則=_______。
7. 坐標空間中一平行六面體,某一底面的其中三頂點為(-1,2,1)、(-4,1,3)、(2,0,-3),另一面之一頂點在yz平面上且與原點距離為√13。滿足前述條件之平行六面體中,最大體積為_______。
8. 在坐標平面上的點序列(a₁,b₁),(a₂,b₂),(a₃,b₃),…,對所有的n=1,2,3,…都滿足(an+1,bn+1)=(√3·aₙ-bₙ, √3·bₙ+aₙ)。若(a₁₁₅,b₁₁₅)=(1,5),試問a₄+b₄=_______。
9. 小豬四兄弟合資郵購了三百多顆的蘋果,蘋果寄到家裡時,家裡恰好只有豬大哥在。豬大哥想將蘋果均分為四堆,卻發現多了一顆,
(1) 豬大哥吃掉一顆,並拿走剩餘蘋果的四分之一然後離家。豬二哥回家時發現這些蘋果,不知道豬大哥已經拿走一些,豬二哥想將蘋果均分為四堆,卻發現多了一顆,
(2) 豬二哥吃掉一顆,並拿走剩餘蘋果的四分之一然後離家。豬三哥回家時發現這些蘋果,不知道豬大哥豬二哥已經拿走一些,豬三哥想將蘋果均分為四堆,卻發現多了一顆,
(3) 豬三哥吃掉一顆,並拿走剩餘蘋果的四分之一然後離家。豬小弟回家時發現這些蘋果,不知道豬大哥豬二哥豬三哥已經拿走一些,
(4) 豬小弟想將蘋果均分為四堆,發現剛好可以平分為四堆。
請問蘋果有_______顆。
10. 在坐標平面上,考慮二階方陣所定義的線性變換。對於平面上異於原點O的點P₁,設P₁經A變換成P₂,P₂經A變換成P₃。假設P₁是圖形y=-5上的動點,試求△P₁P₂P₃面積的最小值_______。
11. 設a,b為整數,若多項式x²+x-1為ax¹⁷+bx¹⁶+1的因式,試求a之值_______。
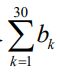
12. 設數列<aₙ>的前n項和為Sₙ且滿足Sₙ=2aₙ-1,∀n∈N。數列<bₙ>滿足b₁=3且bn+1=aₙ+bₙ,∀n∈N,試求的末兩位數字為何?_______
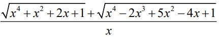
13. 若x>0,試求 的最小值_______。
14. 正△ABC的邊長為5,若點P在△ABC外接圓的劣弧AB上,試求△APB+△APC面積的最大值_______。
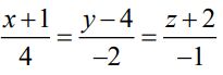
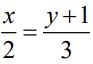
15. 空間中直線L通過點P(1,2,-1),已知L和L₁: =z+3交於A點;L和L₂: 交於B點,試求B點座標_______。
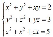
16. 設x,y,z>0且滿足 ,試求x+y+z之值_______。
17. 試證明:任意實係數三次多項式函數f(x)=ax³+bx²+cx+d(a≠0)之圖形均為點對稱圖形
(1) 試證明:>2
(2) 試證明:abcd>a+b+c+d+8