所屬科目:教甄◆商業經營科
1.行政院核定勞動部最低工資的調整案,最低工資將自 115 年 1 月 1 日起,每月最低工資調整至29,500 元;每小時最低工資調整至 196 元。請問勞動部訂定最低工資屬於價格管制的一種,以下何者正確? (A)最低工資的訂定是屬於價格上限 (B)最低工資是將價格訂定於市場均衡價格之上 (C)此政策會導致勞動市場發生超額需求 (D)要解決勞動市場失衡的狀態可透過減少勞動需求
2. 假設全台民眾預期下週「汽油價格將大幅調漲」,且同時中油宣布「今日起調降油價 1 元」。在不考慮其他因素下,關於今日汽油市場的變動情形,下列敘述何者正確? (A) 汽油的「需求」與「需求量」皆增加,導致今日汽油交易量一定增加 (B) 汽油的「需求」與「需求量」皆增加,導致今日價格變動不確定 (C) 中油宣布「今日油價調降」造成全台民眾對汽油的需求增加 (D) 預期未來調漲會使今日供給曲線左移,今日降價則使需求曲線右移
3. 假設市場需求函數為 Qd=100−P,供給函數為 Qs=P−20。若政府為了「保護生產者」將價格管制在 70 元,則下列敘述何者正確? (A) 消費者剩餘(CS)為 1,050 (B) 生產者剩餘(PS)為 450 (C) 市場會出現 20 單位的超額需求 (D) 市場會出現 20 單位的超額供給
4. 關於生產理論中的「產量曲線」與成本理論中的「成本曲線」之對偶關係,下列敘述何者「絕對錯誤」? (A) 當邊際產量(MP)達到最高點時,邊際成本(MC)恰好處於最低點 (B) 當平均產量(AP)正在遞增時,平均變動成本(AVC)必然正在遞減 (C) 當總產量(TP)達到最高點時,總成本(TC)也剛好達到最高點 (D) 當 MP>AP 時,MC<AVC
5. 廠商在長期生產中,若因為「大規模採購原料獲得折扣」或「改善內部管理效率」導致成本下降,下列敘述何者正確? (A) 這稱為「外部經濟」,會使 LAC 曲線整條下移 (B) 這稱為「規模經濟」,表現為 LAC 曲線隨產量增加而遞減 (C) 這是「報酬遞增法則」在長期的表現,屬於 SAC 曲線的移動 (D) 這會造成 LMC 曲線永遠大於 LAC 曲線
6. 關於不完全競爭市場(獨佔、獨佔性競爭、寡佔)的共同特徵,下列批判性敘述何者正確? (A) 三者在長期均衡時皆能保有超額利潤,因為進入障礙極高 (B) 三者皆不具備短期供給曲線,且均衡時皆滿足 P > MR = MC (C) 三者的平均收益(AR)線皆與需求曲線合而為一,且皆為水平線 (D) 三者皆透過非價格競爭(如廣告)來達成 MR = 0 的總收益最大化
7. 在凱因斯的有效需求理論架構下,政府可採「擴張性貨幣政策」來提振景氣。下列何者正確? (A) 財政部讓稅收減少使得民間可支配所得增加,進而增加民間消費來提振景氣 (B) 央行讓貨幣供給增加會使得市場利率下降,進而誘發企業投資增加以獲得均衡所得倍數增加 (C) 政府讓市場貨幣供給減少,使得市場利率上升進而提高民間儲蓄意願,資本增加讓投資增加 (D) 當市場貨幣供給增加,會使得貨幣貶值,購買力提高,減少自發性消費使均衡所得增加
8. 當經濟體系已陷入「流動性陷阱」(Liquidity Trap)時,下列敘述何者正確? (A) 此時擴張性貨幣政策貨幣可使市場利率降低,貨幣需求彈性為零 (B) 中央銀行應持續買入債券或調降重貼現率,以誘導利率進一步下降 (C) 貨幣政策此時完全失效,宜改採「財政政策」以直接激勵經濟活動 (D) 此情況通常發生在已達充分就業的社會,應鼓勵儲蓄以累積資本,增加投資活絡景氣。
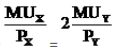
9.假設在所得預算及產品價格不變下,小明將所得預算全數用於購買 X、Y 兩種財貨; 已知 =,而且=3MUm,在效用最大化原則下,小明對 X、Y 財的購買組合應 (A) X 財,Y 財皆少買 (B) 多買 X 財,少買 Y 財 (C) 少買 X 財,多買 Y 財 (D) 多買 Y 財,X 財的購買數量不變
10.假設某銀行的存款總額為 300 萬,並保留了超額準備金 3 萬,而近日央行將法定準備率由5.125%調降半碼,在不考慮現金流失下,該銀行共可創造多少「引申存款」? (A) 4,700 萬 (B) 4,800 萬 (C) 4,900 萬 (D) 5,000 萬
11.根據比較利益法則,若甲國生產一單位電腦的機會成本為 2.5 單位啤酒,乙國生產一單位電腦 的機會成本為 3 單位啤酒,則: (A) 甲國應專業化生產電腦 (B) 乙國應專業化生產電腦 (C) 兩國不應貿易 (D) 甲國在啤酒生產上有比較利益
12.美美赴日賞櫻後返臺,手中剩下 100,000 日圓,若銀行牌告日圓匯率為「買入匯率 0.22」與 「賣出匯率 0.25」,請問美美換回新臺幣時應參考哪種匯率?可換得多少錢? (A) 賣出匯率,換得 25,000 元 (B) 賣出匯率,換得 22,000 元 (C) 買入匯率,換得 22,000 元 (D) 買入匯率,換得 25,500 元
13.若 X 財貨的價格上升 10%,導致 Y 財貨的需求量上升 5%,同時使 X 財貨本身的總支出增加,則下 列推論何者正確? (A) X 與 Y 為互補品,且 X 的需求價格彈性大於 1 (B) X 與 Y 為替代品,且 X 的需求價格彈性小於 1 (C) X 為劣等財,且 Y 的所得彈性為正 (D) X 與 Y 的交叉彈性為−0.5
14.關於「季芬財(Giffen Goods)」的特性,當價格下跌時,其所得效果與替代效果的關係為何? (A) 替代效果為正,所得效果為負,且替代效果大於所得效果 (B) 替代效果為正,所得效果為正,總效果使需求量增加 (C) 替代效果使需求量增加,所得效果使需求量減少,且所得效果絕對值大於替代效果 (D) 替代效果使需求量減少,所得效果使需求量增加
15.關於長期成本曲線,若廠商存在「規模經濟」,則長期平均成本(LAC)曲線 (A) 斜率為負,且 LAC 曲線會切於 SAC 曲線最低點的左側 (B) 斜率為正,且位於所有短期平均成本(SAC)曲線最低點的連線 (C) 呈現水平線,代表產出增加不會影響平均成本 (D) 必然對應於邊際產量遞減法則