阿摩線上測驗
登入
首頁
>
技檢◆營造工程管理-甲級
> 115年 - 18000 營造工程管理 甲級 工作項目 05:工程管理 1-50(2026/01/02 更新)#136011
115年 - 18000 營造工程管理 甲級 工作項目 05:工程管理 1-50(2026/01/02 更新)#136011
科目:
技檢◆營造工程管理-甲級 |
年份:
115年 |
選擇題數:
50 |
申論題數:
0
試卷資訊
所屬科目:
技檢◆營造工程管理-甲級
選擇題 (50)
1. 施工日誌的資料主要不做下列何者之用? (A)品質控制 (B)進度控制 (C)成本控制 (D)索賠 。
2. 專案工程中,營造商編列執行預算之際,下述何者無需考量? (A)工程數量 (B)施工位置 (C)管理費 (D)業主 。
3. 要徑法是 (A)PERT (B)CPM (C)Network (D)Schedule 。
4. 一工程網圖的要徑是指 (A)各項作業自由浮時皆為 0 的路徑 (B)總浮時小於某一數字的路徑 (C)唯一的路徑 (D)總浮時為負值的路徑 。
5. 總浮時為 (A)自由浮時減去最遲完成時間 (B)最遲完成時間減去最早完成時間 (C)最早完成時間減去最遲開始時間 (D)後續作業最早開始時間減去最早完成時間 。
6. 自由浮時等於 (A)一作業完成後不影響其後續作業開始的等待時間 (B)一作業開始前的等待時間 (C)一作業的最早開始時間減其後續作業的最早開始時間 (D)一作業的最早開始時間減其前置作業的最早開始時間 。
7. 施工P-D-C-A循環(又稱戴明循環)中,若執行後應先採取何者動作?(A)計畫 (B)檢核 (C)處置 (D)變更 。
8. 在分析進度時,浮時通常是指 (A)自由浮時 (B)總浮時 (C)關鍵浮時 (D)幹擾浮時 。
9. 若施工進度落後與預定進度差異過大,此時應採取何者計畫為宜? (A)分工計畫 (B)趕工計畫 (C)轉包計畫 (D)重新發包計畫 。
10. 做成本報告時,下列何者非主要資料? (A)完成數量 (B)出工人數 (C)使用材料 (D)自主檢查表 。
11. 工率包括的意思,下列何者為非? (A)生產力 (B)每日工人的價格 (C)每單位數量所需的工人時間 (D)每日可完成的數量 。
12. 成本工程中,下列何者較不是關鍵的工作 (A)估價正確 (B)要有執行預算 (C)要常估驗 (D)要做預測 。
13. 品管成本不包括下列哪一項? (A)檢查成本 (B)失敗成本 (C)預防成本 (D)隱藏成本 。
14. 品管步驟包括檢查(Check, C)、改正措施(Action, A)、規劃(Plan, P)、執行(Do, D),其執行程式為 (A)ADPC (B)ACDP (C)PADC (D)PDCA 。
15. 品保制度的第一級執行單位為 (A)業主機關 (B)監造單位 (C)承包商 (D)主管機關 。
16. 公家機關編列品管費用,其標準以施工費用的多少百分比為原則? (A)0.1~0.5 (B)0.6~1.0 (C)0.6~2.0 (D)1.0~2.0 。
17. 品管人員每四年回訓,總時數至少為幾小時? (A)24 (B)36 (C)48 (D)60 。
18. 為防止高處墜落物體發生危害,依「建築技術規則」之規定應設置適當(A)防護措施 (B)工作網 (C)安全網 (D)工作架 。
19. 承包商施工需與其他單位協調,下列何者為其主要負責對象? (A)關聯承包商 (B)工程相關單位元 (C)分包商或供應商 (D)利害關係人 。
20. 一般而言,下列何種溝通方式的成本最高? (A)規定 (B)程式 (C)會議 (D)報告 。
21. 建築專案工程中,若採取統包方式,下述何者並非統包必需之成員? (A)營造商 (B)建築師 (C)建設公司 (D)結構技師 。
22. 組織結構一般不包括 (A)工作目標 (B)層級 (C)管理幅度 (D)部門分類 。
23. 下列何者比較無法提高生產力? (A)改變施作方法 (B)使用替代技術 (C)增加材料 (D)良好的規劃 。
24. 下列何者敘述不正確? (A)資源負載進度表(Resource loading diagram)是很重要的成本與進度控制工具 (B)國內使用進度軟體通常只用到一小部分的功能 (C)學好進度軟體是作好進度控制的一環 (D)施工進度表的作業數目應越多越好 。
25. 下列何者非風險管理之一環? (A)確認 (B)躲避 (C)移轉 (D)控制 。
26. 針對大型工程之保險,下列何者為非? (A)業主全保較便宜 (B)保險責任較難界定 (C)保險期間較易計算 (D)保險範圍協調空間大 。
27. 下列何者非施工廠商的保險 (A)專業責任險 (B)安裝綜合險 (C)營建機具綜合險 (D)營造綜合險 。
28. 風險管理實施的步驟包括有 A.分析 B.確認 C.移轉 D.控制,其一般程式是(A)ABCD (B)BADC (C)ABDC (D)DABC 。
29. 工地主任為有效執行風險管理,應督導工程人員做風險分析及 (A)工程保證 (B)工程保險 (C)工程施工 (D)工程發包 。
30. 業主為確保工程能依契約完成,通常會要求承包商提供何種保證? (A)押標金 (B)保固保證 (C)履約保證 (D)預付款保證 。
31. 機關訂定底價,得基於技術品質、功能、履約地、商業條款、評分或 (A)使用效益 (B)使用功能 (C)操作效益 (D)操作功能 等差異,訂定不同之底價。
32. 風險管理的主要觀念是 (A)設法轉嫁風險 (B)業主應承擔較多風險 (C)承包商應承擔較多風險 (D)由對該事情最有能力者承擔該項風險 。
33. 工程人員而言,「工程倫理」之首要意義在建立專業工程人員應有的認知與實踐的原則,及工程人員之間或與團體、社會其他成員互動時,應遵循的 (A)行為動力 (B)技術規範 (C)行為規範 (D)行為互動 。
34. 對於工程人員之社會責任而言,其義務發生對象包括「人文社會」及 (A)自然環境 (B)工地環境 (C)自然規範 (D)自然社會 。
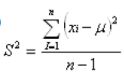
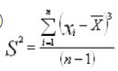
35. 在品質管理中,下列何者為變異數之計算公式 (A)
(B)
(C)
(D)
。
36. 在品質管理中,散佈圖上若有偏離其他聚集點甚遠,此偏離點稱為 (A)異常點 (B)標示點 (C)檢核點 (D)警示點 。
37. 在品質管理中,引起品質特性有嚴重變異的主因,通常有作業員、物料、機具設備及 (A)成本 (B)作業方法 (C)安全 (D)衛生 。
38. 在品質管理中,自母體中隨機抽取的樣本,只要數量夠大,樣本的平均數之分配就會趨於常態分配,稱為 (A)常態定理 (B)偏峰定理 (C)中央極限定理(D)趨勢定理 。
39. 在品質管理中,任意的兩事件無重疊性,就集合而言指二者無交集或無共同的樣本點,意即 P(A∩B)=0,則稱為 (A)獨立性 (B)偏峰事件 (C)極限事件 (D)互斥事件 。
40. 在品質管理中,兩個或以上的事件彼此之間發生與否毫不相關,亦即一事件的發生不受其他事件是否發生的影響,則稱為 (A)獨立性 (B)偏峰事件 (C)極限事件 (D)互斥事件 。
41. 在品質管理中,某預拌廠有 A、B、C 三台攪拌機同時攪拌混凝土,其產量分別為總產量的 50%、30%和 20%,而產品不良率分別為 2%、4%和5%;今若從所有產品中抽出一個樣品,此樣品正好為不良品,試問其由C 機器製造的機率為何(提示:應用貝氏定理)? (A)0.215 (B)0.3125 (C)0.145(D)0.5125 。
42. 在品質管理中,以數字代表順序關係者之衡量尺度為 (A)順序尺度 (B)區間尺度 (C)名目尺度 (D)比例尺度 。
43. 在品質管理中,以數字或名稱來確認對象者之衡量尺度為 (A)順序尺度 (B)區間尺度 (C)名目尺度 (D)比例尺度 。
44. 在品質管理中,具有距離運算與順序關係者;無天然原點,不具比例關係之衡量尺度為 (A)順序尺度 (B)區間尺度 (C)名目尺度 (D)比例尺度 。
45. 在品質管理中,就數學操作度而言,任何數學運算皆無意義,唯有統計上的眾數與次數計算是合理的,是哪一種尺度? (A)順序尺度 (B)區間尺度 (C)名目尺度 (D)比例尺度 。
46. 在品質管理中,就數學操作度而言,統計上的眾數與次數計算,中位數、百分位數,以及順序關係是允許的,是哪一種尺度? (A)順序尺度 (B)區間尺度 (C)名目尺度 (D)比例尺度 。
47. 在品質管理中,就數學操作度而言,所有數學與統計運算皆成立,是哪一種尺度? (A)順序尺度 (B)區間尺度 (C)名目尺度 (D)比例尺度 。
48. 在品質管理中,就數學操作度而言,統計上的眾數與次數計算、平均數、標準差,中位數、百分位數等皆具有意義,但相關係數例外,是哪一種尺度? (A)順序尺度 (B)區間尺度 (C)名目尺度 (D)比例尺度 。
49. 在品質管理中,品管大師裘蘭博士(Dr. Juran)就對品質下的定義為 (A)符合生產者之目的 (B)是適合使用 (C)符合大眾的需求 (D)符合國外客戶使用 。
50. 在品質管理中,若混凝土抗壓強度
設計為 210 kgf/cm
2
,乙方施工時採用 350 kgf/cm
2
,澆置,其品質是否符合且適當? (A)不符合,但強度合格(B)符合且適當 (C)符合但不適當 (D)符合且可向業主追加預算 。
申論題 (0)
相關試卷
115年 - 18000 營造工程管理 甲級 工作項目 11:機電及設備 51-78(2026/01/02 更新)#136022
115年 · #136022
115年 - 18000 營造工程管理 甲級 工作項目 11:機電及設備 1-50(2026/01/02 更新)#136021
115年 · #136021
115年 - 18000 營造工程管理 甲級 工作項目 10:結構體工程 51-80(2026/01/02 更新)#136020
115年 · #136020
115年 - 18000 營造工程管理 甲級 工作項目 10:結構體工程 1-50(2026/01/02 更新)#136019
115年 · #136019
115年 - 18000 營造工程管理 甲級 工作項目 09:地下工程(含基礎工程) 1-42(2026/01/02 更新)#136018
115年 · #136018
115年 - 18000 營造工程管理 甲級 工作項目 08:土方工程 1-47(2026/01/02 更新)#136017
115年 · #136017
115年 - 18000 營造工程管理 甲級 工作項目 07:假設工程及施工機具 51-84(2026/01/02 更新)#136016
115年 · #136016
115年 - 18000 營造工程管理 甲級 工作項目 07:假設工程及施工機具 1-50(2026/01/02 更新)#136015
115年 · #136015
115年 - 18000 營造工程管理 甲級 工作項目 06:測量及放樣 51-114(2026/01/02 更新)#136014
115年 · #136014
115年 - 18000 營造工程管理 甲級 工作項目 06:測量及放樣 1-50(2026/01/02 更新)#136013
115年 · #136013