阿摩線上測驗
登入
首頁
>
研究所、轉學考(插大)◆工程數學
> 89年 - 89 淡江大學 轉學考 工程數學#56125
89年 - 89 淡江大學 轉學考 工程數學#56125
科目:
研究所、轉學考(插大)◆工程數學 |
年份:
89年 |
選擇題數:
0 |
申論題數:
5
試卷資訊
所屬科目:
研究所、轉學考(插大)◆工程數學
選擇題 (0)
申論題 (5)
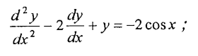
【已刪除】一、請求解
y(0)=2,y'(0)=-2(25%)
a, 請求解 A
-1
=? (10%)
b. 請求解Matrix
A 之特徵值及對應之特徵向量, (15%)
三、請求解位於x -y平面;y= x
2
,且0≤x≤3之曲線長,
I =? (25%)
【已刪除】四、請應用線積分(逆時針方向)及應用Green theorem in the plane求解
C為四頂點為(0,0 ),(2,0),(2,3),及「0,3」之矩型週邊。 (25%)
相關試卷
110年 - 110 國立中央大學_碩士班招生考試_機械工程學系、機械工程學系(光機電工程)、能源工程研究所_(共同):工程數學#125285
110年 · #125285
110年 - 110 國立臺灣大學_碩士班招生考試_部分系所:工程數學(A)#125255
110年 · #125255
110年 - 110 台灣聯合大學系統_碩士班招生考試_電機科:工程數學(C)#125211
110年 · #125211
110年 - 110 台灣聯合大學_碩士班招生_電機類:工程數學C#124898
110年 · #124898
110年 - 台聯大_工程數學B#113346
110年 · #113346
110年 - 110 國立臺灣科技大學_碩士班招生試題_材料科學與工程系(乙組):工程數學#113288
110年 · #113288
110年 - 110 國立台北科技大學碩士班招生考試_自動化科技研究所:工程數學#111318
110年 · #111318
110年 - 110 國立臺灣大學_碩士班招生考試_部分系所:工程數學(D)(含線性代數、機率與統計)#111303
110年 · #111303
110年 - 110 台灣聯合大學系統碩士班招生考試_電機類:工程數學A#110408
110年 · #110408
110年 - 110 國立臺北科技大學_碩士班招生考試_機械工程系機電整合碩士班:工程數學#107430
110年 · #107430