阿摩線上測驗
登入
首頁
>
研究所、轉學考(插大)-微積分
> 89年 - 89 淡江大學 轉學考 微積分#56162
89年 - 89 淡江大學 轉學考 微積分#56162
科目:
研究所、轉學考(插大)-微積分 |
年份:
89年 |
選擇題數:
0 |
申論題數:
13
試卷資訊
所屬科目:
研究所、轉學考(插大)-微積分
選擇題 (0)
申論題 (13)
【已刪除】⑴
【已刪除】(2).
【已刪除】(3).
【已刪除】⑷
【已刪除】(5)
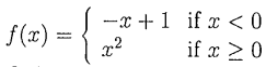
【已刪除】(6). Consider the function
Is f(x) continuous at x= 0? Ans.: ____
(7). Let √xy + x
3
y
2
= 20. The slope of the tangent line at (1,4) is____
(8). Consider the function f(x) = x
4
- 8x
2
+ 3 on the interval [1, 2]. Then the absolute maximum is____
(9). The area enclosed by the curves y =x
3
and y = 9x is____
【已刪除】
(10). The volume under the surface z 二 f(x,y) 二 y and over the domain D which is the region bounded by curves
____
(a) (15%) Find all critical points,relative extrema, inflection points,and asymptotes.
(b) (5%) Sketch the graph.
【已刪除】(2). (10%) Evaluate the double integral
相關試卷
115年 - 115 中央警察大學_碩士班入學考試試題_海洋科技組:微積分#139855
115年 · #139855
115年 - 115 中央警察大學_碩士班入學考試試題_消防科學研究所、交通管理研究所:微積分#139760
115年 · #139760
114年 - 114 臺灣綜合大學系統_學士班轉學生考試試題:微積分A#137897
114年 · #137897
114年 - 114 臺灣綜合大學系統_學士班轉學生考試試題:微積分B#137819
114年 · #137819
114年 - 114 台灣聯合大學系統_學士班轉學生考試試題:微積分#137762
114年 · #137762
114年 - 114 台灣聯合大學系統_學士班轉學生考試試題:微積分#137761
114年 · #137761
114年 - 114 國立臺灣大學_轉學生招生考試_物理學系/土木工程學系/生物環境系統工程學系/生物機電工程學系:微積分(B)#137745
114年 · #137745
114年 - 114 國立臺灣大學_轉學生招生考試_數學系:微積分(A)#137744
114年 · #137744
113年 - 113 國立嘉義大學_轉學生招生考試試題_(全校):微積分#122986
113年 · #122986
112年 - 112 國立臺灣大學_碩士班招生考試題:微積分(D)#130254
112年 · #130254