阿摩線上測驗
登入
首頁
>
研究所、轉學考(插大)-經濟學
> 92年 - 92 淡江大學 轉學考 經濟學#56158
92年 - 92 淡江大學 轉學考 經濟學#56158
科目:
研究所、轉學考(插大)-經濟學 |
年份:
92年 |
選擇題數:
0 |
申論題數:
14
試卷資訊
所屬科目:
研究所、轉學考(插大)-經濟學
選擇題 (0)
申論題 (14)
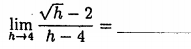
【已刪除】1
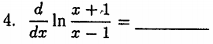
【已刪除】2.
【已刪除】3.
【已刪除】4.
【已刪除】5.
【已刪除】6.
【已刪除】7
【已刪除】8
【已刪除】9
【已刪除】10.
【已刪除】1. Find the equation of the tangent line of f(x) when x = 2, where
a). Find the maximum altitude attained by the rocket.
b). When will the the rocket attain its maximum velocity.
【已刪除】3. Find the Taylor series of the function
at x = 0, and give the interval of convergence for the series.
相關試卷
114年 - [無官方正解]114 臺灣綜合大學系統_學士班轉學生考試試題:經濟學#138281
114年 · #138281
114年 - [無官方正解]114 臺灣綜合大學系統_學士班轉學生考試試題:經濟學#137887
114年 · #137887
114年 - 114 台灣聯合大學系統_學士班轉學生考試試題:經濟學#137759
114年 · #137759
113年 - 113 國立成功大學_碩士班招生考試_交通管理研究所:經濟學#122751
113年 · #122751
113年 - 113 國立台灣大學_碩士班招生考試試題_土木工程研究所交通組:經濟學(C)(含工程經濟)#119247
113年 · #119247
112年 - 112 國立成功大學_碩士班招生考試試題_電信管理科學系:經濟學#119853
112年 · #119853
112年 - 112 國立成功大學_碩士班招生考試試題_交通管理科學系:經濟學#119711
112年 · #119711
112年 - 112 國立台灣大學_碩士班招生考試試題:經濟學(C)#119248
112年 · #119248
111年 - 111 國立臺灣大學_碩士班招生考試試題:經濟學 (C)#120838
111年 · #120838
110年 - 110 國立成功大學_碩士班招生考試試題_交通管理科學系、電信管理研究所:經濟學#121619
110年 · #121619