阿摩線上測驗
登入
首頁
>
研究所、轉學考(插大)◆工程數學
> 94年 - 94 淡江大學 轉學考 工程數學#56375
94年 - 94 淡江大學 轉學考 工程數學#56375
科目:
研究所、轉學考(插大)◆工程數學 |
年份:
94年 |
選擇題數:
0 |
申論題數:
5
試卷資訊
所屬科目:
研究所、轉學考(插大)◆工程數學
選擇題 (0)
申論題 (5)
【已刪除】1. Find the integration factor and solve the equation
(20%)
2. Solve the initial value problems:
y''+4y'+6y= x
2
+cosx,y(0) = 0,y'(0) = 0 (20%)
【已刪除】3. Use the “Laplace Transform” to solve the initial value problems:
(20%)
【已刪除】4 . Given
; Find the rank of A by using Gauss Elimination Method. (20%)
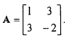
【已刪除】5. Find the eigenvalues and eigenvectors of the matrix
(20%)