阿摩線上測驗
登入
首頁
>
研究所、轉學考(插大)-應用數學
> 94年 - 94 淡江大學 轉學考 應用數學#56004
94年 - 94 淡江大學 轉學考 應用數學#56004
科目:
研究所、轉學考(插大)-應用數學 |
年份:
94年 |
選擇題數:
0 |
申論題數:
6
試卷資訊
所屬科目:
研究所、轉學考(插大)-應用數學
選擇題 (0)
申論題 (6)
【已刪除】1. (a) Given
calculate directly
over the whole surface of the cube with four of its vertices at (0, 0, 0),(0, 0, 1), (0, 1,0) and (13 0,0). (10 points)
(b) Evaluate the same integral by using of the divergence theorem. (10 points)
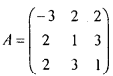
【已刪除】2. Given
find its eigenvalues and eigenvectors. Are these eigenvectors orthogonal to each other? (20 points)
【已刪除】3. Solve the following differential equation. (20 point)
【已刪除】4. Given
. Expand /(x) in Fourier series and show
(20 points)
【已刪除】5. Evaluate
, where a> 1.(20 points)
相關試卷
110年 - 110 國立中央大學_碩士班招生考試_天文研究所:應用數學#110498
110年 · #110498
110年 - 110台灣聯合大學系統_碩士班招生考試_物理類:應用數學#104952
110年 · #104952
110年 - 110 國立中央大學_碩士班招生考試_大氣科學學系大氣物理:應用數學#103883
110年 · #103883
110年 - 110 國立中央大學_碩士班招生考試_太空科學與工程學系:應用數學#103880
110年 · #103880
110年 - 110 國立臺灣大學_碩士班招生考試_海洋所物理與化學與地物組(3組聯招):應用數學(B)#100219
110年 · #100219
103年 - 103 淡江大學 轉學考 應用數學#55466
103年 · #55466
102年 - 102 淡江大學 轉學考 應用數學#53110
102年 · #53110
101年 - 101 淡江大學 轉學考 應用數學#55467
101年 · #55467
100年 - 100 淡江大學 轉學考 應用數學#55469
100年 · #55469
99年 - 99 淡江大學 轉學考 應用數學#55470
99年 · #55470