所屬科目:中油◆理化
2.「光年」是天文學上常用的長度單位,定義為「光在一年(365 天)中移動的距離」,其長度約為多少公尺 ? (A) 9.5×108 (B) (C) (D)
4.如圖一所示,物體沿光滑斜面自由下滑,在下滑的過程中,該物體的加速度量值 a 和速度量值 v 的變化, 下列何者正確 ? (A) a 變小,v 變大 (B) a和v 皆變大 (C) a和v 皆變小 (D) a 不變,v 變大
6.一樓高 H,將質量 m 的物體以水平速度 v 拋出,若不計一切阻力,重力加速度為 g,則物體落至距地面 高 時,物體的速度量值為何 ? (A)(B)(C)(D)
11.一單色光自空氣射入 A 介質,在兩介質的界面 MN 上發生偏折,如圖二所示。下列敘述何者正確 ? (A) 反射光與折射光夾角 60° (B) 此色光進入A 介質後,頻率變大 (C) 此色光在A 介質中的速率小於在空氣中的速率 (D)入射角逐漸增大,則會產生全反射
12.圖三為照像機的構造示意圖。在拍班級團體照時,兩側的同學無法全部入鏡,為了能拍到全班每位同學, 拍照者應採取下列哪一種方式 ? (A) 照像者後退,同時調整鏡頭到底片間的距離變小 (B) 照像者前進,不必調整鏡頭到底片間的距離 (C) 照像者前進,同時調整鏡頭到底片間的距離變大 (D) 照像者後退,同時調整鏡頭到底片間的距離變大
14.如圖四所示,以黃色單色光束射向三稜鏡,經三稜鏡折射後光點射在紙屏 P 點,若入射角不變的情形下, 則下列何者正確 ? (A) 紅色單色光束之光點射在Q點 (B) 藍色單色光束之光點射在Q點 (C) 橙色單色光束之光點射在R點 (D) 因為入射角不變,所以不論任何色光之光點,皆射在 P 點
15.兩個點電荷間的斥力原為 F,若其中一個點電荷的電量增加為原來的 3 倍,且兩個點電荷間的距離也增 加為原來的2 倍,則其斥力變為多少 ? (A) 3F (B) F (C) (D)
17.有些建築物(例如醫院等),會在一些特定的入口處門板或牆壁上,張貼如圖五所示的圖案標記,此為國際 通用的一種標誌,其所代表的意思為何 ? (A) 此地區為發電機放置區 (B) 此地區有放射源 (C) 此地區有超聲波源 (D) 此地區使用高速電扇通風
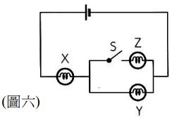
21.小華使用三個完全相同的燈泡 X、Y、Z,組合成如圖六所示的電路,當他將開關 S 接通後,燈泡 X、Y 的亮度有何變化 ? (A) X 不變、Y 減弱 (B) X 增加、Y 不變 (C) X 增加、Y 減弱 (D) X 減弱、Y 增加
22.圖七中為兩個同心圓環,外環在下列哪一種情況下,不能使內環產生感應電流 ? (A) 外環通有隨時間均勻增加的電流 (B) 外環的電流突然被切斷 (C) 外環通有固定的電流,但將外環向上或向下移動 (D) 外環載有固定的電流,且與內環的相對位置不變
23.在核反應中,若 的原子核放出一個α粒子,則剩留的原子核內會含有幾個質子 ? (A) 90 (B) 146 (C) 236 (D) 237
25.某人從距離地面高度為 H 的地方向上斜向拋射一質量為 m 的物體,當此物體達到最高點時的速度大小為 v1,落地瞬間的速度大小為 v2,不計一切空氣阻力,則在拋射物體時此人須對物體作功多少 ? (A)(B)(C)(D)
37.人工合成的陽離子交換樹脂,可以交換下列哪一離子 ? (A) Cl- (B) (C) H+ (D)
48.下列何項物質可以發生加成聚合反應,且產生的聚合物之實驗式為 CH2? (A) (B) 1,3-丁二烯 (C) 丙烯 (D) 苯乙烯