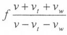
14. Figure 4 shows, in cross section, two solid spheres with uniformly distributed charge throughout their volumes. Each has radius R. Point P lies on a line connecting the centers of the spheres, at radial distance R/2.00 from the center of sphere 1. If the net electric field at point P is zero, what is the ratio q₂/q₁ of the total charge q₂ in sphere 2 to the total charge q₁ in sphere 1?
(A) 9/8 (B) 2/3 (C) 7/5 (D) 11/6 (E) None of the above