阿摩線上測驗
登入
首頁
>
天氣學
> 95年 - 095年高等三級暨普通氣象(高考)#36793
95年 - 095年高等三級暨普通氣象(高考)#36793
科目:
天氣學 |
年份:
95年 |
選擇題數:
0 |
申論題數:
12
試卷資訊
所屬科目:
天氣學
選擇題 (0)
申論題 (12)
⑴請寫出十種主要雲屬的中文名稱、英文名稱、英文簡寫和天氣圖上代表的符號。
⑵說明何謂 CCL(Convective Condensation Level)和 MCL(Mixing Condensation Level)。
⑶試以 K 指數為例,說明穩定度指數所包含參數的物理意義,並說明應用穩定度指 數於天氣分析的優、缺點。
⑷隨著科技進步,目前的數值天氣預報已可掌握未來 1~2 週 500 hPa 主要槽脊之變 化;未來是否有可能完全掌握大氣之變化,而做到絕對正確的天氣預報?就你(妳) 的答案,簡要說明原因。
二、圖示並說明一典型初始發展中溫帶氣旋之 500 hPa 和 1000 hPa 等高線及 1000-500 hPa 等厚度線;此外,利用所繪之圖,說明何謂 Petterssen 旋生定則,並說明導致旋生 的重要機制。(20 分)
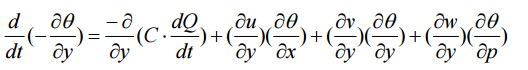
【已刪除】三、令 y 軸指向鋒生過程後的冷區,則鋒生方程可寫成:
說明每一項的意義和重要性;再者,就地轉調整觀點,探討鋒面形成時所伴隨的次 環流特徵(請繪圖說明)及其作用。(20 分)
⑴ f、
⑵ SST、
、⑶穩定度
、⑷水氣含量、
⑸相對渦度及
⑹垂直風切;
相關試卷
115年 - 115 身心障礙特種考試_四等_氣象:天氣學概要(包括基礎天氣分析與基礎大氣動力學)#138926
115年 · #138926
114年 - 114 公務升官等考試_薦任_氣象:天氣學(包括天氣分析與天氣預報)#133183
114年 · #133183
114年 - 114 高等考試_三級_氣象:天氣學(包括天氣分析與天氣預報)#128450
114年 · #128450
114年 - 114 普通考試_氣象:天氣學概要(包括基礎天氣分析與基礎大氣動力學)#128408
114年 · #128408
113年 - 113 台灣電力公司_大學及研究所獎學金甄選試題_綠能氣象與再生能源預測:天氣學與氣候學#129318
113年 · #129318
113年 - 113 普通考試_氣象:天氣學概要(包括基礎天氣分析與基礎大氣動力學)#121220
113年 · #121220
113年 - 113 高等考試_三級_氣象:天氣學(包括天氣分析與天氣預報)#121201
113年 · #121201
112年 - 112 公務升官等考試_薦任_氣象:天氣學(包括天氣分析與天氣預報)#117117
112年 · #117117
112年 - 112 高等考試_三級_氣象:天氣學(包括天氣分析與天氣預報)#115403
112年 · #115403
112年 - 112 普通考試_氣象:天氣學概要(包括基礎天氣分析與基礎大氣動力學)#115322
112年 · #115322