阿摩線上測驗
登入
首頁
>
學士後西醫-化學
> 95年 - 095 學士後西醫:化學#39203
95年 - 095 學士後西醫:化學#39203
科目:
學士後西醫-化學 |
年份:
95年 |
選擇題數:
80 |
申論題數:
0
試卷資訊
所屬科目:
學士後西醫-化學
選擇題 (80)
1. Consider the resonance of compound A, which one is not its resonance form?
(A)
(B)
(C)
(D)
(E)
2. Which of the following compounds is not an aromatic compound? (A)
(B)
(C)
(D)
(E)
3. For each compound below, which one will give 3 signals in its normal, broadband decoupled
13
C NMR spectra, (assume the resolution is good to identify all different signal)
(A) Ⅰ, Ⅱ, Ⅲ (B) Ⅱ, Ⅲ (C) Ⅲ, IV, V (D) Ⅲ, V (E) None of the above
4. What will be the major product of the following reaction?
(A)
(B)
(C)
(D)
(E) None of the above
5. Which of the following reactions would not show primary kinetic isotope effect? (A)
(B)
(C)
(D)
(E) None of the above
6. When bromide AK is treated with NaOEt, four2- butene are possible products.
(A) AK-a and AK-b are obtained (B) AK-a and AK-d are obtained(C) AK-b and AK-c are obtained (D) None of the above
7. Solvent is an important factor in the nucleophilic reaction. We classified solvent into several categories. What is the best description of acetone? Acetone is: (A) nonpolar aprotio (B) polar aprotic (C) polar protic (D) nonpolar protic (E) None of the above
8. Consider the spectrum illustrated below. Which of the following structures will be best for this spectrum?
(A)
(B)
(C)
(D)
(E) None of the above
9. The average mass of a boron atom is 10.81. If you were able to isolate a single boron atom, what is the chance that you would randomly get an atom with mass 10.81? (A) 0% (B) 0.81% (C) about 11% (D) 10.81% (E) greater than 50%.
10. Which of the statements below correctly describes the chair conformations of trans-1,4-dimethylcyclohexane? | (A) The two chair conformations are of equal energy. | (B) The higher energy chair conformation contains one axial methyl group and one equatorial methyl group. | (C) The lower energy chair conformation contains one axial methyl group and one equatorial methyl group. | (D) The higher energy chair conformation contains two axial methyl groups. | (E) The lower energy chair conformation contains two axial methyl groups. |
11. Which is a measure of the randomness of a system?(A) entropy (B) enthalpy (C) free energy (D) halogenation (E) stoichiometry
12. Which of the following species is the least nucleophilic? (A) H
2
0 (B) BF
3
(C) (CH
3
)
3
N (D) CH
3
O
-
(E) CH
-
13. HBr can be added to an alkene in the presence of peroxides (ROOR). What function does the peroxide serve in this | reaction? (A) nucleophile (B) electrophile (C) radical chain initiator j (D) acid catalyst . (E) solvent |
14. Which of the following terms best describes the reactive nature of a Grignard reagent? (A) carbocation (B) free radical (C) electrophile (D) nucleophile (E) carbene
15. The mass spectrum of alcohols often fail to exhibit detectable M peaks but instead show relatively large_peaks. (A) M+l (B) M+2 (C) M-16 (D)M-17 (E) M-18
16. Absorption of what type of electromagnetic radiation results in transitions among allowed nuclear magnetic spin states? (A) X-rays (B) radio waves (C) microwaves (D) ultraviolet light (E) infrared light
17. For the reaction in which A and B react to form C,the following intial rate data were obtained.
What is the rate law for the reaction? (A) Rate = k[A][B] (B) Rate = k[A]
2
[B] (C) Rate = k[A][B]
2
(D) Rate - k[A]
2
[B]
2
(E) Rate = k[A]
3
18. An NMR spectrometer that operates at a frequency of 60 MHz for C NMR spectra, operates at what frequency for H NMR spectra? (A) 15 MHz (B) 30 MHz (C) 60 MHz (D) 120 MHz (E) 240 MHz
19. How many pairs of degenerate n molecular orbitals are found in benzene? (A) 6 (B) 5 (C) 4 (D) 3 (E) 2
20. Nitrogen's lone pair electrons occupy what type of orbital in pyridine? (A) s (B) sp (C) sp
2
(D) sp
3
(E) p
21. The proton NMR spectrum of an unknown compound contains a triplet at 9.8 ppm. Which of the following could be this unknown? (A) (CH
3
)
3
CCHO (B)CH
3
CH
2
CH
2
CO
2
H (C) CH
3
CH
2
CH
2
CHO (D) CH
3
CO CH
2
Ph (E) PhCHO
22-Which of the following is also known as a Schiff base? (A) an imine (B) a cyanohydrin (C) a hydrate (D) sodium hydroxide (E) an aldehyde
23. Carboxylic acids boil at considerably higher temperatures than do alcohols, ketones, or aldehydes of similar molecular weights. This is because they: (A) have a greater oxygen content. (B) are more acidic. (C) form stable hydrogen-bonded dimers. (D) are hydrophobic. (E) none of the above.
24. The hydrolysis of esters in base is called: (A) the Fischer esterification. (B) the Hunsdiecker reaction. (C) the Dieckmann condensation. (D) transesterification. (E) saponification.
25. Peptide bonds are: (A) ester linkages. (B) imido linkages. (C) ether linkages. (D) amide linkages. (E) disulfide linkages.
26. Nearly all naturally occurring amino acids: (A) are racemic mixtures. (B) are achiral. (C) have the (R) configuration at the a-carbon. (D) have the (S) configuration at the a-carbon. (E) have basic side chains.
27. To a solution of propyne in diethyl ether, one molar equivalent of CH3Li was added and the resulting mixture was stirred for 0.5 hour. After this time5 an excess of D20 was added. Describe the major organic product(s) of this reaction. h (A) CH
3
C
CD + CH
4
(B) CH
3
C
CCH
3
(C) CD
3
C
CD
3
(D) CH
3
C
CCD
3
(E) CH
3
C
CD + CH
3
D
28. Which of the following metric relationships is incorrect ? (A) 1 microliter = 10
-6
liters (B) 1 gram = 10
3
kilograms (C) 10
3
milliliters = 1 liter (D) 1 gram = 10
2
centigrams
(E) 10 decimeters = 1 meter
29. A method of separation that employs a system with two phases of matter, a mobile phase and a stationary phase, is called ! (A) filtration. (B) chromatography. (C) distillation. (D) vaporization. (E) homogenization.
30. You take an aspirin tablet (a compound consisting solely of carbon, hydrogen, and oxygen) with a mass of 1.00 g,bum it in air, | and collect 2.20 g of carbon dioxide and 0.400 g water. The molar mass of aspirin is between 170 and 190 g/mol. The molecular E form of aspirin is c (A) C
6
H
8
O
5
(B) C
9
H
8
O
4
(C)C
8
H
10
O
5
(D)C
10
H
6
O
4
(E) none of these
31 • Which of the following electrode could be a reference electrode except g (A) SHE (B)NHE (C) SCE (D)Ag/AgCl (E) all of above
32. The light source of fluorescence measurements and detector is usually at j; (A) 30 (B) 60 (C) 90 (D) 120 (E) 180 degrees.
33. Consider the following system at equilibrium:
Which of the following changes will shift the equilibrium to the right? I. increasing the temperature II. decreasing the temperature I IE. increasing the volume TV. decreasing the volume V. removing some NH
3
, VI. adding some NH
3
VII removing some N
2
VII I. adding some N
2
(A)
(B)
(C)
(D)
(E)
34. If, at a given temperature, the equilibrium constant for the reaction
is Kp, then the equilibrium constant for the reaction
can be represented as: (A)
(B)
(C)
(D)
(E) none of above
35. The value of the equilibrium constant, K, is dependent on | . The temperature of the system. II • The nature of the reactants and products. Ill. The concentration of the reactants. IV. The concentration of the products. (A)丨,|| (B) II,III (C) III,IV (D) It is dependent on three of these choices. (E) It is not dependent on any of these choices.
36. Which of the following would produce a basic aqueous solution? (A)P
4
O
10
(B)KC1 (C) C0
2
(D) NH
4
C1 (E) none of these
37. Which of the following will not produce a buffered solution? (A) 100mLof0.1MNa
2
C0
3
and50mLof0.1 MHC1 (B) 100 mL of 0.1 MNaHCO
3
, and 25 mL of 0.2M HC1 (C) 100 mL of 0.1 M Na
2
CO
3
, and 75 mL of 0.2 M HC1 (D) 50 mL of 0.2 M Na
2
CO
3
and 5 mL of 1.0 M HC1 (E) lOOmLofO.l MNa
2
C0
3
and50mLof0.1 MNaOH
38. In the titration of a weak acid HA with 0.100 M NaOH the stoichiometric point is known to occur at a pH value of approximately 10. Which of the following indicator acids would be best to use to mark the endpoint of this titration? (A) indicator A, 10
-14
(B) indicator B,iTa= 10
-11
(C) indicator C,Ka= 10
-8
(D) indicator D, Ka = 10
-6
(E) none of these
39. Silver acetate (AgC
2
H
3
O
2
)is a sparingly soluble salt with K
sp
= 1.9 ✖ 10
- 3
. Consider a saturated solution in equilibrium with the solid salt. Compare the effects on the solubility of adding to the solution either the acid HNO
3
, or the base NH
3
. (A) Either substance would decrease the solubility. (B) NH
3
would increase the solubility, but HNO
3
, would decrease it. (C) NH
3
would increase the solubility, but HN0
3
would have virtually no effect. (D) Either substance would increase the solubility. (E) NH
3
would decrease the solubility, but HN0
3
would increase it. .
40. Which of the following compounds is an achiral compound?(A)
(B)
(C)
(D)
(E)
41. Indicate the alcohols (or acids) has the lowest pKa value? (A) 2,2,2-trifluoroethanol (B) 2,2-dimethylpropanol (C) 2,2,2-trichloroethanol (D) cyclopropanol (E) cyclohexanol
42. Consider the NMR spectrum of BA, which is shown below. The formula of compound BA is C
8
H
7
C1O.
The structure of BA is (A)
(B)
(C)
(D)
(E) None of the above .
43. When compound I was heated in ethanol, an ether product was collected (shown below)
The mechanism of this reaction is (A) SN
2
(B) E
2
(C) S
N
1 (D) El (E) none of above
44. To complete the following reaction, please choose the best reaction condition?
(A) B
2
H
6
then H
2
O
2
/Na0H (B) HC1 (C)O
s
O
4
then H
2
O
2
(D) O
3
then Me-S-Me (E) Hg(OAc)
2
then NaBH
4
45. The composition of compound AZ is C7H140 and its spectrum shows the following signals: 6H triplet at 0.9 5, Hz; 4H cextet at 1.6 5. J=1 Hz: 4H triplet at 2.4 5, J=1 Hz. What is the structure of compound AZ?(A)
(B)
(C)
(D)
(E)
None of the above
46. The rate of a reaction typically increases as the temperature increases because. (A) the A term in the Arrhenius equation increases. ' (B) the fraction of molecules with kinetic energy greater than Ea increases. (C) the activation energy decreases. (D) the activation energy increases. (E) the molecules make more collisions with the wall of the reaction vessel.
47. If a mixture contains 75% of one compound and 25% of its enantiomer,what is the e.e. of the mixture? (A) 100 (B) 75 (C) 50 (D) 25 (E) 3
48. How many diastereomers are there of the molecule shown below?
(A)0(B)1(C)2(D)3(E)6
49 Which of the following most closely matches the C
C stretching frequency. (A) 3300 (B) 3000 (C) 2200 (D) 1700 (E) 1200 cm
-1
50. Which of the following compounds will undergo Friedel-Crafts alkylation with (CH
3
)
3
CC1, A1CI
3
most rapidly? (A) toluene (B) iodobenzene (C) acetophenone (D) benzenesulfonic acid (E) cyanobenzene
51. Which of the following is the most reactive carboxylic acid derivative? (A) ester (B) anhydride (C) nitrile (D) acid chloride (E) amide
52. Lithium aluminum hydride reduces carboxylic acids, acid chlorides, and esters to. (A) aldehydes. (B) primary alcohols. (C) secondary alcohols. (D) tertiary alcohols. (E) ketones.
53. Cyclic amides are called: (A) lactones. (B) lactams. (C) aminals. (D) animals. (E) mines.
54. The structures below are:
(A) not isomers. (B) conformational isomers. (C) cis-trans isomers. (D) structural isomers. (E) both B and D
55. What two atomic orbitals or hybrid atomic orbitals overlap to form the C-C π bond in ethylene?(A)CSp
3
+ CSp
3
(B)Csp
3
+ Csp
2
(C)Csp
2
+ Csp
2
(D)Csp
2
+ Cp(E)CP + CP
56. The following three equations represent equilibria that lie far to the right.
Identify the ongest base. (A) CH
3
O
-
(B) CH
3
OH (C) CN
-
(D) H
2
O (E) N0
3
-
57. If the molarity a 0.70 M solution ofhypochlorous acid,HCIO was decreased to 0.3 M, which of the following statements would be true? (A) The percent dissociation would not change. (B) The percent dissociation would increase. (C) The percent dissociation would decrease. (D) The equilibrium constant would stay the same. (E) Two of these.
58. If 30 mL of 5.0 x 10
-4
M Ca(NO
3
)
2
are added to 70 mL of 2.0 ✖ 10
-4
M NaF, will a precipitate occur? (K
sp
of CaF
2
= 4.0 ✖ 10
-11
) (A) No, because the ion product is greater than iTSp. (B) Yes, because the ion product is less than XSp. (C) No, because the ion product is less than ZSp. (D) Not enough information is given. (E) Yes, because the ion product is greater than Ksp.
59. A galvanic cell consists of a left compartment with a tin electrode in contact with 0.1 M Sn(N0
3
)
2
(aq) and a right compartment with a lead electrode in contact with 1 ✖ 10
-3
M Pb(NO
3
)
2
(aq). The relevant reduction potentials are:
When this cell is allowed to discharge spontaneously at 25°C, which of the following statements is true? (A) Electrons will flow from left to right through the wire. (B) Pb
2+
ions will be reduced to Pb metal. (C) the concentration of Sn
2+
ions in the left compartment will increase. (D) The tin electrode will be the cathode. (E) No noticeable change will occur, because the cell is at equilibrium.
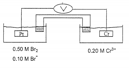
60. Consider the galvanic cell shown below (the contents of each half-cell are written beneath each compartment):
The standard reduction potentials are as follows:
Which of the following statements about this cell is false? (A) This is a galvanic cell. (B) Electrons flow from the Pt electrode to the Cr electrode. (C) Reduction occurs at the Pt electrode. (D) The cell is not at standard conditions. (E) To complete the circuit, cations migrate into the left half-cell and anions migrate into the right half-cell from the salt bridge. II. Choose one correct answer for the following questions
61. Which of the following compounds is the strongest acid? (A)p-nitrobenzoic acid (B)p-bromobenzoic acid (C) m-methylbenzoic acid (D) m-methoxybenzoic acid (E) water
62 Which of the following cvcloalkenes would be expected to be stable?
(A) 1&2 (B)2&3 (C)2 (D)l&3 (E) none are stable
63. The reaction of CH3CH2MgBr with CH
3
COCH
2
CH3 gives. : (A) an achiral product. (B) a of diastereomers. ; (C) the racemate of a chiral product. (D) a single enantiomer. (E) none of the above.
64.The, nrnton?: marked and Hh in the molecule below are___________.
(A) chemically equivalent (B) enantiotopic (C) diastereotopic (D) endotopic (E) none of the above
65. Consider the spectrum illustrated below.
Which of the following structure will be best for this spectrum?(A)
(B)
(C)
(D)
(E) None ofthe above
66. Consider the following two spectrums which are from the same compound BC,
(A)(B)(C)(D)(E) None ofthe above
67. wh il1 be the major product ofadamantane (shown below) reacted with Br2 with the presence ofperoxide?
(A)
(B)
(C)
(D)
(E) None of the above
68. Consider the following reaction.
BY
is (A)
(B)
(C)
(D)
(E)
69. Chemists develop several methods for preparation of ester. Using your knowledge, indicate the method which could not give ester as product. (A) Fischer esterfication (B) Reaction of acyl chloride and alcohol (C) Acyl transfer from acid anhydride to an alcohol (D) Baeyer-Villiger oxidation of ketones (E) None of the above
70.
(A) b→ d→ a (B) d→ a→c (C) c→ d→ a (D) d→ c→a (E) None ofthe above
71.
(A) e→ h→f (B) e→ g→ a→ h (C) e→h→ g (D) e→ f→ h (E) None of the above
72. A 0.307-g sample of an unknown triprotic acid is titrated to the third equivalence point using 35.2 mL of 0.106 M NaOH. Calculate the molar mass of the acid. (A) 247 g/mol (B) 171 g/mol (C) 165 g/mol (D) 151 g/mol (E) 82.7 g/mol
73. When the equation
(basic solution) is balanced using the smallest whole-number coefficients, the coefficient of OH is: (A)l (B)2 (C)3 (D)4 (E)6
74. According to the Van Deemter equation, which of the following parameters would be independent of solvent velocity. (A) longitudinal diffusion (B) mass-transfer (C) edd^ dlffosion (D) two of above (E) all of above
75.Find the value of the equilibrium constant (K) (at 500 K) for
The value for Kp at 500 K is1.5 x 10
-5
atm2. (A)7.5 x 10
-2
(B) 1.3 x 10
-2
(C) 9.6 x 10
-2
(D) 2.5 x 10
-2
(E) 6.0 x 10
-2
76. For the stepwise dissociation of aqueous H
3
P0
4
, which of the following is not a conjugate acid-base pair? _ (A)HPO
4
2-
andPO
4
3-
(B)
H
3
PO
4
, and H
2
PO
4
-
(C)H2P0
4
-
andHP0
4
2-
(D) H
2
PO4
-
and Po4
3-
(E) H
3
O
+
and H
2
0
77. Nitrogen gas (N
2
) reacts with hydrogen gas (H
2
) to form ammonia (NH
3
). At 200°C in a closed container, 1.0 atm of nitrogen gas is mixed with 2.0 atm of hydrogen gas. At equilibrium, the total pressure is 2.0 atm. Calculate the partial pressure of hydrogen gas at equilibrium. (A) 2.0 atm (B) 0.50 atm (C) 1.5 atm (D) 0.0 atm (E) none of these
78 When 10.0g of the hydrogen eas reacts with 10.0 g of oxygen gas to form water, what is the theoretical yield of water? .(A) 10.0 g (B) 10.6 g (C)11.3g (D)20.0g (E) 89.4 g
79. Find the mass percent ofCuSO
4
, in a solution whose density is 1.30 g/mL and whose molarity is 1.22 M. (The atomic mass of Cu is 63.55.) (A) 22.1% (B) 31.6% (C) 15.0% (D) 12.4% (E) none of these
80. Which of the following reactions could not give alcohol as product?
(A)
(B)
(C)
(D)
(E)None ofthe above
申論題 (0)
相關試卷
115年 - 115 國立中興大學_學士後醫學系公費生招生考試試題:化學科#138024
115年 · #138024
114年 - 114 國立中興大學_公費生招生考試_學士後醫學系:化學#126482
114年 · #126482
113年 - 113 國立中興大學_公費生招生考試_學士後醫學系:化學科#119556
113年 · #119556
112年 - 112 國立中興大學_學士後醫學系招生考試試題_學士後醫學系甲、乙組:化學#113979
112年 · #113979
109年 - 109 高雄醫學大學_學士後醫學系招生考試:化學#87230
109年 · #87230
108年 - 108 高雄醫學大學_學生轉系考試試題:普通化學#86806
108年 · #86806
108年 - 108 學士後西醫:化學#77055
108年 · #77055
107年 - 高雄醫學大學 107 學年度學士後醫學系招生考試試題(共同科目)--化學#75186
107年 · #75186
106年 - 106 高雄醫學大學_學士後醫學系招生考試:化學#77049
106年 · #77049
99年 - 學士後西醫化學99化學#36021
99年 · #36021