阿摩線上測驗
登入
首頁
>
水資源工程學
> 95年 - 95 地方政府特種考試_水利工程_四等:水資源工程概要#32757
95年 - 95 地方政府特種考試_水利工程_四等:水資源工程概要#32757
科目:
水資源工程學 |
年份:
95年 |
選擇題數:
0 |
申論題數:
7
試卷資訊
所屬科目:
水資源工程學
選擇題 (0)
申論題 (7)
一、⑴在橋墩下游 50 公尺河床上採集砂石時,對橋墩安全將產生何種影響?(10 分)
⑵在橋墩上游 50 公尺河床上採集砂石時,對橋墩安全將產生何種影響?(10 分)
二、山坡地上開發高爾夫球場,有那些不當的開發行為將造成水資源衝擊?(20 分)
⑴請問該河川之流量,以 cms 表示。(10 分)
⑵請問為 推估流量所需要的假設為何?(10 分)
四、某流域集水區面積為 800 km
2
,年平均降水量為 1500 mm,年平均流量為 25 cms, 現擬在此流域出流點修建水壩以建設水庫,此水庫水面面積為 40 km
2
,當地實測之 年平均蒸發皿蒸發量為 2000 mm,蒸發皿係數為 0.8。請問興建水庫後該水庫之年 出水量為多少 cms?(20 分)
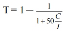
【已刪除】五、某水庫每年水庫入流量為水庫設計容積的 10 倍,每年泥沙流入水庫量為水庫設計 容積的 3%,請問水庫完工使用 10 年後,該水庫會因為泥沙淤積而使庫容減少為原 來的百分之幾。假設水庫之囚砂率公式可表示為
式中 T 為囚砂率;C 為水庫容量(m
3
);I 為年入流量(m
3
)(20 分)
相關試卷
114年 - 114 專技高考_水利工程技師:水資源工程與規劃#133564
114年 · #133564
114年 - 114 公務升官等考試_薦任_水利工程:水資源工程學#133113
114年 · #133113
114年 - 114 高等考試_二級_水利工程:水資源工程#131582
114年 · #131582
113年 - 113 專技高考_水利工程技師:水資源工程與規劃#123963
113年 · #123963
113年 - 113 高等考試_二級_水利工程:水資源工程#122983
113年 · #122983
113年 - 113 身心障礙特種考試_三等_水利工程:水資源工程學#119399
113年 · #119399
112年 - 112 地方政府特種考試_三等_水利工程:水資源工程學#118188
112年 · #118188
112年 - 112 地方政府特種考試_四等_水利工程:水資源工程概要#117997
112年 · #117997
112年 - 112 專技高考_水利工程技師:水資源工程與規劃#117623
112年 · #117623
112年 - 112 公務升官等考試_薦任_水利工程:水資源工程學#117330
112年 · #117330