阿摩線上測驗
登入
首頁
>
有機化學
> 95年 - 95 普通考試_化學工程:有機化學概要#42340
95年 - 95 普通考試_化學工程:有機化學概要#42340
科目:
有機化學 |
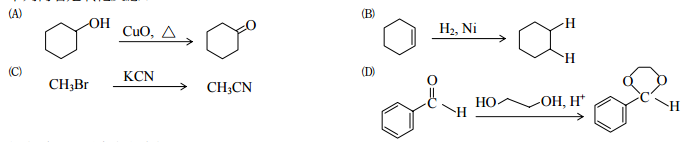
年份:
95年 |
選擇題數:
50 |
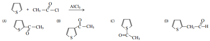
申論題數:
32
試卷資訊
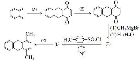
所屬科目:
有機化學
選擇題 (50)
1 下列化學鍵何者的伸張振動頻率最低? (A)-O-H (B)-C≣N (C)-C-H (D)-N-H
2 下列化合物中何者酸性最強?
3 下列化合物,何者具有芳香族特性(aromaticity)?
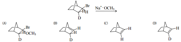
4 下列化合物中何者鹼性最弱?
5 下右式費雪投影(Fischer projection)所示構造的絕對組態(absolute configuration)為下列何者?
(A) 2R,3R (B) 2R,3S (C) 2S,3R (D) 2S,3S
6 下列烯類,何者是 E 型?
7 下列化合物,何者不能進行下示的化學反應?
(A) G = -CH
3
(B) G = -NO
2
(C)G=H (D) G = -NHCOCH
3
8 下列化合物中何者與甲醇鈉(NaOCH
3
)的反應最慢?
9 下列何者是氧化反應?
10 何者為下列反應之主產物?
11 (CH
3
)
3
CCH
2
O-CO-OCH
2
C(CH
3
)
3
的碳核磁共振光譜(
13
C NMR)中,有幾條不同碳核譜線? (A) 11 條 (B)6條 (C)4條 (D)3條
12 2,4-DNP(2,4-雙硝基苯肼)之結構為何?
13 下列何種試劑可完成以下反應?
14 欲完成以下之反應,可以使用下列那一種試劑?
(A) H
2
O / H
+
(B)(1) BH
3
(2) H
2
O
2
,OH
-
(C)(1) HBr (2) OH
-
(D)(1) HCl (2) OH
-
15 完成右列還原反應,應採用何種試劑才正確?
(A)(1) LiA1H
4
(2) H
2
O (B) Zn,HCl (C)(1) NH
2
NH
2
(2) HO
-
,加熱 (D)(1) NaBH
4
(2) H
2
O
16 下列反應的產物是那一結構?
17 下列化合物,何者不會與 I
2
,NaOH 在水中反應生成黃色固體?
18 樟腦為台灣名產,其結構如下,分子中含兩個掌性中心,試問此分子有幾種立體異構物?
(A)1個 (B)2個 (C)4個 (D)8個
19 下列試劑中何者可達成所示反應?
(A) H
3
O ,H
2
O,加熱 (B)(1) HgSO
4
,H
2
SO
4
,H
2
O;(2) NaBH
4
(C)(1) BH
3
,四氫呋喃;(2) H
2
O
2
,NaOH(D) OsO
4
,H
2
O
2
20 2,2,3-三甲基-4-第三丁基環己酮之正確結構為何?
21 下列各化合物中 何者與格林納 , (Grignard) , 3MgI 可形成三級醇?① CH
3
COCH
3
② CH
3
CO
2
C
2
H
5
試劑 CH ③ CH
3
CH
2
CHO ④ CH
3
-C≣N (A)①與③ (B)①與④ (C)①與② (D)只有①
22 將下述鹵烷化合物與甲醇鈉(NaOMe)進行 E2 消去反應之後,主要獲得那一種烯類產物?
23 下列有關蠟的敘述何者正確? (A)石蠟為由石油中得到的酯類化合物 (B)鯨蠟主成分為從鯨魚得到的酯質 (C)棕櫚蠟為棕櫚葉上的長鏈醇 (D)羊毛酯是指附著在羊毛上的脂肪酸
24 由 2 個 Alanine(丙胺酸)與 2 個 Glycine(甘胺酸)所組成的四胜肽,可能有幾個異構物? (A)2 (B)6 (C) 12 (D) 24
25 下面所示之陽離子態的丙胺酸之 pKa
1
= 2.3,pKa
2
= 9.7,則其等電點(isoelectric point)應出現在下列那 一 pH 值?
(A) 2.3 (B) 6.0 (C) 7.0 (D) 9.7
1 下列化學鍵何者的伸張振動頻率最低? (A)-O-H (B)-C≣N (C)-C-H (D)-N-H
2 下列化合物中何者酸性最強? (A)
(B)
(C)
(D)
下列化合物,何者具有芳香族特性(aromaticity)? (A)
(B)
(C)
(D)
4 下列化合物中何者鹼性最弱? (A)
(B)
(C)
(D)
5 下右式費雪投影(Fischer projection)所示構造的絕對組態(absolute configuration)為下列何者? (A) 2R,3R (B) 2R,3S (C) 2S,3R (D) 2S,3S
6 下列烯類,何者是 E 型?(A)
(B)
(C)
(D)
下列化合物,何者不能進行下示的化學反應?
(A) G = -CH
3
(B) G = -NO
2
(C)G=H (D) G = -NHCOCH
3
8 下列化合物中何者與甲醇鈉(NaOCH3)的反應最慢? (A)
(B)
(C)
(D)
9 下列何者是氧化反應? (A)
(B)
(C)
(D)
10 何者為下列反應之主產物?
(A)
(B)
(C)
(D)
11 (CH
3
)
3
CCH
2
O-CO-OCH
2
C(CH
3
)
3
的碳核磁共振光譜(
13
C NMR)中,有幾條不同碳核譜線? (A) 11 條 (B)6條 (C)4條 (D)3條
12.2,4-DNP(2,4-雙硝基苯肼)之結構為何? (A)
(B)
(C)
(D)
13 下列何種試劑可完成以下反應?
(A) Br
2
,hν (B) HBr,[(CH
3
)
3
CO]
2
(C) HBr (D)
14 欲完成以下之反應,可以使用下列那一種試劑?
(A) H
2
O / H
+
B(1) BH
3
(2) H
2
O
2
,OH
-
(C)(1) HBr (2) OH
-
(D)(1) HCl (2) OH
-
15 完成右列還原反應,應採用何種試劑才正確?
? (A)(1) LiA1H
4
(2) H
2
O N N (B) Zn,HCl (C)(1) NH
2
NH
2
(2) HO
-
,加熱 (D)(1)NaBH
4
(2) H
2
O
16 下列反應的產物是那一結構?
(A)
(B)
(C)
(D)
17 下列化合物,何者不會與 I
2
,NaOH 在水中反應生成黃色固體? (A)
(B)
(C)
(D)
18 樟腦為台灣名產,其結構如下,分子中含兩個掌性中心,試問此分子有幾種立體異構物? (A)1個 (B)2個 (C)4個 (D)8個
19 下列試劑中何者可達成所示反應?
(A) H
3
O
+
,H
2
O,加熱 (B)(1) HgSO
4
,H
2
SO
4
,H
2
O;(2) NaBH
4
(C)(1) BH
3
,四氫呋喃;(2) H
2
O
2
,NaOH (D) OsO
4
,H
2
O
2
20 2,2,3-三甲基-4-第三丁基環己酮之正確結構為何? (A)
(B)
(C)
(D)
21 下列各化合物中 何者與格林納 , (Grignard) ,CH
3
MgI 可形成三級醇?① CH
3
COCH
3
② CH
3
CO
2
C
2
H
5
③ CH
3
CH
2
CHO ④ CH
3
-C≣N (A)①與③ (B)①與④ (C)①與② (D)只有①
22 將下述鹵烷化合物與甲醇鈉(NaOMe)進行 E2 消去反應之後,主要獲得那一種烯類產物?
(A)
(B)
(C)
(D)
23 下列有關蠟的敘述何者正確? (A)石蠟為由石油中得到的酯類化合物 (B)鯨蠟主成分為從鯨魚得到的酯質 (C)棕櫚蠟為棕櫚葉上的長鏈醇 (D)羊毛酯是指附著在羊毛上的脂肪酸
24 由 2 個 Alanine(丙胺酸)與 2 個 Glycine(甘胺酸)所組成的四胜肽,可能有幾個異構物? (A)2 (B)6 (C) 12 (D) 24
25 下面所示之陽離子態的丙胺酸之 pKa
1
= 2.3,pKa
2
= 9.7,則其等電點(isoelectric point)應出現在下列那 一 pH 值?
(A) 2.3 (B) 6.0 (C) 7.0 (D) 9.7
申論題 (32)
【已刪除】 ⑴
【已刪除】 ⑵
【已刪除】 ⑶
【已刪除】 ⑷
【已刪除】 ⑸
【已刪除】 ⑹
【已刪除】 ⑺
【已刪除】 ⑻
【已刪除】 ⑼
【已刪除】 ⑽
二、有三種不同的烯化物經氫化後均可得到 2-甲基丁烷,請問是那三種?並指出何者 最安定。(10 分)
【已刪除】⑴
【已刪除】 ⑵
A
B
C
D
E
【已刪除】一、請寫出下列反應式中之反應物或主要產物的結構。(每題 2 分,共 20 分)
⑴
【已刪除】 ⑵
【已刪除】 ⑶
【已刪除】 ⑷
【已刪除】 ⑸
【已刪除】 ⑹
【已刪除】 ⑺
【已刪除】 ⑻
【已刪除】 ⑼
【已刪除】 ⑽
二、有三種不同的烯化物經氫化後均可得到 2-甲基丁烷,請問是那三種?並指出何者 最安定。(10 分)
【已刪除】三、試寫出下列反應之反應機構。(10 分) ⑴
【已刪除】 ⑵
【已刪除】四、試寫出(A)至(E)的化學結構式:(10 分)
相關試卷
115年 - 115 關務特種考試_三等_化學工程(選試英文):有機化學#138982
115年 · #138982
115年 - 115 關務特種考試_四等_化學工程(選試英文):有機化學概要#138903
115年 · #138903
114年 - 114 公務升官等考試_薦任_化學工程:有機化學#133257
114年 · #133257
114年 - 114 調查特種考試_三等_化學鑑識組、醫學鑑識組:有機化學#129586
114年 · #129586
114年 - 114 一般警察特種考試_二等_刑事鑑識人員材料及化學物品鑑析組:有機化學#127790
114年 · #127790
114年 - 114 關務特種考試_三等_化學工程(選試英文):有機化學#126661
114年 · #126661
114年 - 114 關務特種考試_四等_化學工程(選試英文):有機化學概要#126655
114年 · #126655
113年 - 113 調查特種考試_三等_化學鑑識組、醫學鑑識組:有機化學#122084
113年 · #122084
113年 - 113 關務特種考試_三等_化學工程(選試英文):有機化學#119488
113年 · #119488
113年 - 113 關務特種考試_四等_化學工程(選試英文)、化學工程(選試日文):有機化學概要#119484
113年 · #119484