阿摩線上測驗
登入
首頁
>
有機化學
>
95年 - 95 普通考試_化學工程:有機化學概要#42340
> 申論題
申論題
試卷:95年 - 95 普通考試_化學工程:有機化學概要#42340
科目:有機化學
年份:95年
排序:0
申論題資訊
試卷:
95年 - 95 普通考試_化學工程:有機化學概要#42340
科目:
有機化學
年份:
95年
排序:
0
題組內容
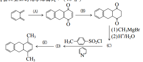
四、試寫出(A)至(E)的化學結構式:(10 分)
申論題內容
C