阿摩線上測驗
登入
首頁
>
天氣學
> 96年 - 096年升官等、96年關務人員升官等氣象(簡任)#34357
96年 - 096年升官等、96年關務人員升官等氣象(簡任)#34357
科目:
天氣學 |
年份:
96年 |
選擇題數:
0 |
申論題數:
5
試卷資訊
所屬科目:
天氣學
選擇題 (0)
申論題 (5)
一、古典極鋒理論(the polar front theory)自發表(1922)至今已將近一百年,試問其 間曾發現有那些須要修正的地方呢?(10 分)
二、在討論大氣穩定度時,經常使用氣塊法來推導。試以氣塊法來推導並討論:⑴大氣 之垂直靜力穩定度的各種條件;及⑵西風帶噴流南北兩側之風速分布與風切之特性 (即慣性不穩定度)為何?(30 分)
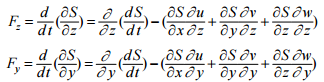
【已刪除】三、設 S 為鋒面帶上某物理參數,且假設鋒面帶平行 x 軸,則 y 及 z 方向上之鋒生函數, 可以由下列二方程式來表示:
試以溫度來說明上面二式中,各項之物理意義各為何?及各項對鋒生函數的作用 (配合圖示)各為何?(30 分)
四、天氣預報方法。試舉出並說明(包含其原理及方法)常用的三種統計預報法及三種 物理(數值)預報法。(20 分)
五、試導出天氣系統之強度隨高度之變化情形與溫度場之關係。(10 分)
相關試卷
115年 - 115 身心障礙特種考試_四等_氣象:天氣學概要(包括基礎天氣分析與基礎大氣動力學)#138926
115年 · #138926
114年 - 114 公務升官等考試_薦任_氣象:天氣學(包括天氣分析與天氣預報)#133183
114年 · #133183
114年 - 114 高等考試_三級_氣象:天氣學(包括天氣分析與天氣預報)#128450
114年 · #128450
114年 - 114 普通考試_氣象:天氣學概要(包括基礎天氣分析與基礎大氣動力學)#128408
114年 · #128408
113年 - 113 台灣電力公司_大學及研究所獎學金甄選試題_綠能氣象與再生能源預測:天氣學與氣候學#129318
113年 · #129318
113年 - 113 普通考試_氣象:天氣學概要(包括基礎天氣分析與基礎大氣動力學)#121220
113年 · #121220
113年 - 113 高等考試_三級_氣象:天氣學(包括天氣分析與天氣預報)#121201
113年 · #121201
112年 - 112 公務升官等考試_薦任_氣象:天氣學(包括天氣分析與天氣預報)#117117
112年 · #117117
112年 - 112 高等考試_三級_氣象:天氣學(包括天氣分析與天氣預報)#115403
112年 · #115403
112年 - 112 普通考試_氣象:天氣學概要(包括基礎天氣分析與基礎大氣動力學)#115322
112年 · #115322