阿摩線上測驗
登入
首頁
>
高考◆大氣動力學
> 96年 - 096年升官等、96年關務人員升官等氣象(薦任)#40387
96年 - 096年升官等、96年關務人員升官等氣象(薦任)#40387
科目:
高考◆大氣動力學 |
年份:
96年 |
選擇題數:
0 |
申論題數:
9
試卷資訊
所屬科目:
高考◆大氣動力學
選擇題 (0)
申論題 (9)
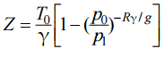
【已刪除】一、試推導在一個降溫率 γ (γ = - dT/dz) 固定的大氣中,在壓力層為 p
1
時的重力位高度 可以用下列方程式表示:
在此,T
0
與 p
0
分別為海平面的溫度與壓力,R 為乾空氣的氣體常數,g 為重力。 (15 分)
⑴估計這個颱風的地轉風速。(10 分)
⑵在⑴中估計的風速合理嗎?如果不是,那麼還要考慮那種力的效應來改進你的估計? (假設摩擦力可以忽略)(5 分)
⑶以上題的考慮,重新估計距離颱風眼 100 km 處的風速。(10 分)
空氣密度:1.25 kg m
-3
,地球轉動角速度:7.3 × 10
-5
s
-1
1 hPa = 100 kg m
-1
s
-2
三、從衛星資料分析 1996 年 8 月的賀伯颱風在距離颱風中心 20 km 處的中心最大風速 約為 53 m/s,試估計該區域(20 km 內)平均的渦度大小。(10 分)
四、試用方程式與相關的物理涵意說明位溫(potential temperature)與位渦(potential vorticity)的定義。相對於溫度與渦度,運用位溫與位渦來討論空氣塊的特性有些什 麼優點。(20 分)
五、假設在 850 hPa 處的降溫率為 4K/km,如果在一地點的溫度降低速率為 2 K/hour, 吹著 10 m/s 的西風,而溫度向西方向降低的情形為 5 K/100km,試以絕熱法估計 850 hPa 的垂直速度。(10 分)
六、從現有的觀測系統,如果要將觀測資料同化做為數值天氣預報的初始狀態,在熱帶 地區觀測精準的風場比高度場重要,為什麼?(10 分)
七、以淺水重力波為例,說明如何針對波動的特性,簡化原始的方程式,並利用擾動法 將簡化後的方程式做線性化,求得波的特性與頻散關係。(10 分)
相關試卷
114年 - 114 公務升官等考試_薦任_氣象:大氣動力學#133182
114年 · #133182
114年 - 114 高等考試_三級_氣象:大氣動力學#128403
114年 · #128403
113年 - 113 高等考試_三級_氣象:大氣動力學#121506
113年 · #121506
112年 - 112 公務升官等考試_薦任_氣象:大氣動力學#117306
112年 · #117306
112年 - 112 高等考試_三級_氣象:大氣動力學#115412
112年 · #115412
111年 - 111 高等考試_二級_氣象:高等大氣動力學#110948
111年 · #110948
111年 - 111 高等考試_三級_氣象:大氣動力學#109426
111年 · #109426
110年 - 110 公務升官等考試_薦任_氣象:大氣動力學#103685
110年 · #103685
110年 - 110 高等考試_三級_氣象:大氣動力學#102397
110年 · #102397
109年 - 109 高等考試_三級_氣象:大氣動力學#88749
109年 · #88749